Superconductivity: theory, models, experiment. Cross-linked with physics.supr-con.
Looking for a broader view? This category is part of:
2604.03702New superconducting materials, particularly iron-based superconductors (IBS), have recently attracted attention for their potential applications in particle detectors and accelerators. This paper discusses the application of these materials in multilayer structures for radio-frequency resonators used to accelerate charged particles, with the aim of improving performance compared to bulk niobium. These materials are compared with previously studied multilayers composed of conventional superconductors in terms of the maximum magnetic field they can withstand, their surface resistance, and their power loss per unit surface area. Finally, perspectives and future applications aimed at increasing operating temperatures are discussed.
Superconductivity in noncentrosymmetric RPt2Si2 (R = rare earth) compounds exhibit a rich playground to explore the competition between different ground states, such as unconventional superconductivity, antiferromagnetism and charge density wave. Here, we report the successful single crystal synthesis of noncentrosymmetric YPt2Si2 superconductor, with a transition temperature Tc = 1.67 K, via Sn flux method. The high quality of the prepared single crystals was confirmed using powder and Laue XRD measurements. The superconducting and normal state properties are investigated using electrical transport and heat capacity measurements down to 0.5 K. In the normal state, unlike LaPt2Si2, no charge density wave transition is observed in YPt2Si2, as evidenced by electrical transport and specific heat measurements. A relatively large Kadowaki-Woods ratio and a linear temperature variation of the electrical resistivity in an extended temperature range of 50-300 K suggest an unconventional normal-state in YPt2Si2. The estimated superconducting parameters indicate that YPt2Si2 is a type-II superconductor with weak electron-phonon coupling. The temperature dependence of specific heat in the superconducting state can be explained reasonably well using an isotropic two-gap model. A positive curvature near Tc in the temperature variation of upper critical field also supports the two-gap superconductivity. First-principles DFT calculations suggest a BCS-like superconducting state driven primarily by d-electron contributions. The calculated electron-phonon coupling constant identifies the material as a weak-coupling superconductor, with the McMillan-Allen-Dynes formula yielding a Tc of 1.8 K. Additionally, we provide a comparative analysis of the superconducting and normal-state properties of YPt2Si2 and compositionally similar LaPt2Si2.
The importance of simulating pinning arrays in superconducting samples for the increase of critical currents has been increasing in the last few years. Since the Time Dependent Ginzburg Landau (TDGL) can be more accurate than alternative methodologies, the simulation procedures involving it are critical to design devices that can sustain higher critical currents and, therefore, to the field of applied superconductivity. In this article, a simple novel algorithm is presented for the reduction of bias and optimisation of execution time in iterative time dependent simulations, applied to TDGL solutions of superconducting samples. Taking a time series approach to the magnetic response of the sample, stationary solutions are found for each step in the evolution of the applied external field, leading to bias reduction and minimisation of iterations needed to be spent at each step in the applied field. The results are presented for a pure superconductor, in a framework of simulations via link variable technique, with simple Euler algorithm for the solution in time, but the implementation can be adapted easily to deal with adaptive step size solutions or semi-implicit methods, which are not exempt from the bias and iterations tradeoff.
We show that chiral superconductivity can be stabilized by hole doping a Chern ferromagnet. Performing exact diagonalization and density-matrix-renormalization-group calculations on the repulsive Kane-Mele-Hubbard model at hole doping relative to filling $ν=1$ electron per unit cell, we find that a Cooper pair formed by a magnon (spin-flip excitation) bound to two holes is stabilized at sufficiently strong interactions and sufficiently large Ising spin-orbit coupling (SOC). This Cooper pair exhibits both finite spin chirality -- signaling a noncoplanar skyrmionic spin texture -- and chiral $f$-wave symmetry. The pairing and spin chirality are set by the Chern number/polarization of the parent Chern ferromagnet. We further find that interactions between skyrmion Cooper pairs evolve from repulsive to attractive as the Ising SOC increases, revealing an intermediate-SOC region where chiral superconductivity can emerge from the condensation of hole-skyrmion Cooper pairs. Our findings provide a novel microscopic mechanism for chiral superconductivity and may be relevant for the recent observation of superconductivity in the MoTe$_2$ moiré superlattice.
We present a systematic study of the electronic structure of strained La$_3$Ni$_2$O$_7$ thin films. We show that biaxial compressive strain mainly elongates the outer apical Ni-O bond while leaving the inner apical Ni-O bond nearly unchanged. As a result, the Jahn-Teller splitting $Δ_{JT}$ is strongly enhanced, whereas the interlayer $d_{z^2}$ hopping $t_\perp^z$ changes only weakly. Since superconductivity is widely believed to emerge only below a critical in-plane lattice constant, our results identify the strain-enhanced $Δ_{JT}$ as the relevant microscopic tuning parameter. Consistently, the calculated Fermi surfaces and Hall response for LaAlO$_3$ and SrLaAlO$_4$ substrates agree with ARPES and Hall measurements. Our results identify Jahn-Teller distortion as a key tuning parameter in strained La$_3$Ni$_2$O$_7$ and support its central role in optimizing superconductivity in bilayer nickelates.
The discovery of superconductivity in the Ruddlesden-Popper (RP) nickelates has opened a new chapter in the search for high superconducting transition temperatures ($T_\mathrm{c}$) materials. A central and puzzling feature of this family is the wide variation in $T_\mathrm{c}$ despite their common NiO$_2$ building blocks, as highlighted by the recent observation of superconductivity at $\sim$ 30 K in trilayer $\mathrm{La_4Ni_3O_{10}}$, significantly lower than 80 K reported in bilayer $\mathrm{La_3Ni_2O_7}$. Understanding the factors that control $T_\mathrm{c}$ in this family is therefore of paramount importance. Here, we use resonant inelastic x-ray scattering (RIXS) to investigate the electronic and magnetic excitations of $\mathrm{La_4Ni_3O_{10}}$ in direct comparison with its bilayer counterpart. Our results reveal a markedly different landscape. $\mathrm{La_4Ni_3O_{10}}$ exhibits a more itinerant character, evidenced by broader Ni $dd$ orbital excitations and a strong Ni 3$d$ fluorescence continuum, suggesting weaker electronic correlations than in the bilayer. Despite this, well-defined collective spin excitations persist, including dispersive acoustic and optical magnon branches alongside an incommensurate spin density wave. Using linear spin wave theory, we extract the interlayer superexchange interaction ($J_z$) to be $\sim$ 22 meV, much smaller than that in $\mathrm{La_3Ni_2O_7}$. The weaker correlation and reduced interlayer exchange together provide a consistent explanation for the substantially lower $T_\mathrm{c}$ in the trilayer compound. Our findings establish interlayer magnetic coupling and electronic correlation as key parameters governing superconductivity in layered nickelates and offer critical constraints for understanding the pairing mechanism in this emerging family.
The interplay between magnetism and superconductivity provides a fertile ground for engineering exotic topological phases, while dynamical control via periodic driving offers a unique avenue to access quantum states that are inaccessible in static equilibrium. Here, we propose a strategy to achieve the Floquet chiral topological superconductivity in an altermagnet-superconductor heterostructure driven by elliptically polarized light. We show that for $s$-wave pairing, the system undergoes a transition from a trivial to a chiral topological superconducting phase. More strikingly, with the introduction of mixed $s+d$-wave pairing, we find that the system can access Floquet chiral topological superconducting phases with highly tunable Chern numbers up to N=4. These exotic phases are attributed to the intertwining of altermagnetism, superconducting pairing, and the periodic driving field. Our work establishes the light-driven altermagnetic heterostructure as a versatile platform for exploring and manipulating high-Chern-number chiral topological superconductivity.
The evolution of the superconducting transition temperature ($T_c$) in FeSe was investigated under in-plane, out-of-plane, and hydrostatic compression. For pressures up to 0.6 GPa, $T_c$ increases regardless of the compression mode, consistent with the suppression of nematic ordering. However, once nematicity is suppressed, $T_c$ exhibits a striking directional dependence: out-of-plane compression shows behavior similar to the hydrostatic case, with a sharp increase in $T_c$, whereas in-plane compression suppresses superconductivity. First-principles calculations suggest that in-plane compression shifts a hybridized band of Se $p_z$ and Fe $d_{x^2-y^2}$ character so that it crosses the Fermi level along the $Γ$-Z direction, leading to the emergence of an additional metallic band. This leads to an increased three-dimensionality of the electronic structure and may be interpreted as a possible Lifshitz-type change in the Fermi surface.
The recent discovery of high-temperature superconductivity in both bulk and thin-film bilayer nickelates La$_3$Ni$_2$O$_7$ has garnered significant attention. However, the corresponding pairing symmetry remains debated in both experiments and theoretical studies due to conflicting experimental evidence from bulk and thin-film materials. In this work, we examine the electronic Raman response across different channels for various pairing symmetries within a two-orbital bilayer model. By comparing Raman susceptibilities obtained from multiorbital and band-additive approaches, we demonstrate that Raman response can distinguish between different pairing symmetries and identify pocket-dependent gap amplitudes for both fully gapped and nodal superconducting states. Specifically, the nodal $d_{x^2-y^2}/d_{xy}$-wave pairing exhibits robust low-energy power-law behavior, distinct from a fully gapped pairing. Additionally, for the $s_{\pm}$-wave pairing, the detailed gap anisotropy on the $β$ pocket can be determined. Possible experimental implications are also discussed. Our results highlight the crucial role of multiorbital effects in shaping the Raman spectra and establish electronic Raman scattering as a powerful and symmetry-resolved probe for determining the superconducting gap in unconventional superconductors.
The oxygenation process at constant temperature of YBa$_2$Cu$_3$O$_{7-δ}$ (YBCO) was systematically investigated in the temperature range from 300 $^o$C to 800 $^o$C. With this purpose, fully deoxygenated powder samples was exposed to an oxygen saturated atmosphere, and the evolution of their mass was recorded as a function of time using a thermogravimetric balance. Results reveal a strong dependence of both: the oxygenation kinetics and the final oxygen saturation level, on the temperature used for oxygenation. Moreover, results show that higher oxygen temperatures promote faster oxygen absorption but lead to lower saturation levels (higher final $δ$ values), whereas lower oxygen temperatures result in slower kinetics but enable the system to approach better oxygenation conditions in order to improve the final superconducting properties of the material. In addition to our measurements, a comparative analysis between oxygenation levels at the oxygen temperatures under study was performed in the range around oxygen saturation ($δ$ $<$ 0.3). Consequently, an oxygenation protocol based on a combination of several oxygenation temperatures is proposed. As a first approach, results from a protocol with just two different oxygenation temperatures is compared with results coming from using just one oxygenation temperature. Outstandingly, a protocol with a first oxygenation step at high temperatures and a second one at low temperatures demonstrates to improve oxygenation times in near a 30 \% for reaching $δ$ values below 0.1 and in near a 60 \% for reaching $δ$ values around 0.12. Finally, we trust that our results are of direct application on industry since size of grain used herein are in scales of typical thickness of superconductor tapes.
In two dimensions, a phase-coherent superconducting state is established via a Berezinskii-Kosterlitz-Thouless (BKT) transition, whose critical temperature $T_{\rm BKT}$ is determined by the global superfluid stiffness in uniform superconducting systems. We report that at the interface between (111)-oriented KTaO$_3$ and ferromagnetic EuO, the two-dimensional superconducting state exhibits a BKT transition relying on the direction of in-plane bias current. The highest $T_{\rm BKT}$ occurs when current is applied along one of the [11$\bar{2}$] axes of KTaO$_3$, underscoring a spontaneous breaking of the threefold lattice rotational symmetry. Such directional dependence of $T_{\rm BKT}$ is consistently reflected in the nonreciprocal signals stemming from superconducting fluctuations above the transition. We attribute this phenomenon to an interfacial phase segregation; the phase with higher $T_{\rm BKT}$ self-organizes into quasi-one-dimensional textures that stretch along one of the [11$\bar{2}$] directions. Our results point toward the emergence of exotic phases of matter beyond the description of conventional BKT physics at a superconducting interface that is subjected to ferromagnetic proximity.
The coupling between electronic excitations and collective bosonic modes is fundamental to the emergence of high-temperature superconductivity in cuprates. Despite extensive effort, conventional equilibrium and pump-probe optical spectroscopies still struggle to disentangle couplings to different bosonic modes when their energy scales overlap. Here we overcome this limitation using ultrafast two-dimensional electronic spectroscopy (2DES), which correlates coherent excitation and detection photon energies with femtosecond time resolution. Applied to optimally doped Bi$_2$Sr$_2$Ca$_{0.92}$Y$_{0.08}$Cu$_2$O$_{8+δ}$, 2DES reveals a pronounced off-diagonal resonance arising from the ultrafast generation of non-thermal bosons with energy $\hbarΩ_\mathbf{q}\simeq200$ meV. By comparing the measured spectra with a theoretical framework that explicitly includes the interaction between charge-transfer and magnetic excitations, we identify these bosons as paramagnons with momenta centered near $(π/2,π/2)$ and extending toward $(0,π)$ and $(π,0)$. The resonance persists across a large range of temperatures and doping concentrations, demonstrating that high-energy paramagnons are ubiquitously and strongly coupled to electronic excitations throughout the cuprate phase diagram. Time-domain analysis constrains the build-up of the paramagnon population to $\lesssim 10$ fs, placing a lower bound $λ\gtrsim 0.7$ on the coupling strength. More broadly, our results establish 2DES as a powerful approach for disentangling mode-selective electron-boson interactions and addressing decoherence dynamics, thereby establishing a new avenue for investigating strongly correlated quantum materials. These findings also provide a direct framework for future time-resolved resonant inelastic X-ray scattering experiments aimed at tracking the ultrafast dynamics of magnetic excitations.
Altermagnets - collinear, zero-net-moment magnets with momentum-odd spin splitting protected by crystalline symmetries - offer a tunable route to suppress long-range antiferromagnetism while preserving strong short-range spin fluctuations. We show that this environment robustly stabilizes unconventional superconductivity and naturally produces mixed-symmetry pairing. Through a strong-coupling analysis of a spin-anisotropic Hubbard model, we derive an anisotropic t-J model where exchange interactions cooperatively enhance singlet d-wave pairing and promote triplet p-wave pairing. Our mean-field analysis reveals a pairing evolution driven by altermagnetic anisotropy: for small spin anisotropy, the d-wave channel is enhanced, closely resembling the dominant pairing symmetry in cuprate superconductors, which suggests that weak spin anisotropy may be an essential ingredient in realistic models of these materials. Constrained-path quantum Monte Carlo simulations confirm this picture, showing a regime where dominant d-wave correlations coexist with an emergent p-wave component near optimal doping. As spin anisotropy increases, strong C2 anisotropy and spin splitting activate the triplet channel, leading to a stable d+p mixed-pairing state. This synergistic state exhibits significantly enhanced overall pairing strength, suggesting the possibility of a higher superconducting transition temperature.
The superconducting dome in the Tc versus doping phase diagram, found in cuprates, nickelates, twisted bilayer graphene, and transition metal dichalcogenides, is often considered a signature of unconventional pairing. Identifying the underlying mechanisms of any of these phase diagrams and developing a reliable theoretical understanding of it remains a critical challenge. Here we demonstrate that, in ionic-liquid-gated quasi-2D materials, the disordered ionic potential from the frozen ionic liquid drives the system close to Anderson transition. In this regime, quenched charge fluctuations and reduced screening markedly enhance repulsive Coulomb interactions, suppressing Tc and naturally leading to the formation of a superconducting dome. By integrating a many-body approach including disorder with first-principles calculations, we obtain the phase diagrams and tunneling spectra of gated few-layers transition metal dichalchogenides in robust quantitative agreement with experiments. Our findings establish that disorder-driven enhancement of Coulomb repulsion is a fundamental feature of ionic-liquid-gated quasi-2D materials at high bias.
Flat bands have attracted considerable interest in condensed matter physics because they provide a fertile platform for realizing strongly correlated and topological quantum phases. To date, however, most studies have focused on flat bands in normal-state electronic structures, such as those found in graphene and transition metal dichalcogenides. In this work, we investigate the emergence of flat bands in the superconducting Bogoliubov quasiparticle spectrum of twisted layered $d$-wave superconductors. We show that when the superconducting order parameter is odd under the in-plane $\mathrm{C}_2$ rotation, Bogoliubov flat bands can be engineered in the vicinity of the rotation axis. By analyzing a low-energy effective Hamiltonian, we demonstrate that the Berry connection of single layer system provides a clear criterion for the formation of the Bogoliubov flat bands. Our results establish a new paradigm of superconducting twistronics, in which the twist angle acts as a powerful tuning parameter for designing gapless flat-band superconductors.
One efficient mechanism for generating a charge supercurrent is Andreev reflection, in which the electric current injected from a normal metal into a conventional superconductor is converted into a supercurrent, thereby preserving charge conservation. We here propose a general principle for generating spin supercurrents in triplet superconductors by analogy with such charge transport, i.e., assuming spin conservation. We find a spin torque that is proportional to the triplet superconducting order parameter and, in the spin-conservation scenario, converts the particle spin to that of Cooper pairs. Based on this general principle, we propose an implementation to efficiently generate a spin supercurrent in unitary triplet superconductors, even though Cooper pairs carry no spin polarization at equilibrium, by the magnetization dynamics ${\bf M}(t)$ of a proximity magnetic nanostructure. The efficiency of this spin pumping is not solely limited to the $d{\bf M}/dt\times {\bf M}$ due to the emergent particle-hole symmetry, thereby going beyond the conventional spin pumping of electrons. This general principle provides an efficient approach to generating and manipulating dissipationless spin currents in many unconventional superconductors.
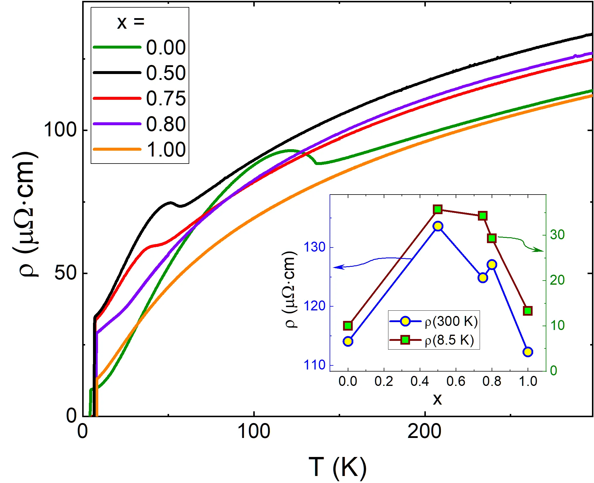
Transition metal ditellurides with the CdI2-type structure are materials with intriguing superconducting and electronic properties as demonstrated by PdTe2. Gold substituted PdTe2, AuxPd1-xTe2, adopts the CdI2-type structure for a Pd content larger than 43 at.% at room temperature, and in this range enhanced superconductivity with a critical temperature (Tc) above 4 K has been reported (Kudo et al., PRB 93, 140505, 2016). Here we present the effect of pressure on the structural and superconducting properties of AuxPd1-xTe2 for x=0.15, 0.25 and 0.35 with Tc =2.7, 4.1, and 4.6 K at 1 atm, respectively. Synchrotron radiation x-ray diffraction shows that the CdI2-type structure remains stable up to 8 GPa for all three compositions and that they have almost the same volume compressibility. Heat capacity measurements show that Au substituted PdTe2 exhibits type-II superconductivity, that evolves from weak-coupling BCS for x = 0.15 to strong-coupling for x = 0.25 and 0.35. Electrical resistivity measurements up to a pressure of 2.5 GPa show that Tc(P) for x = 0.25 and 0.35 passes through a shallow maximum of 4.2 and 4.7 K at P ~ 0.3 and 0.7 GPa, respectively, compared to the monotonic decrease for x = 0.15. Furthermore, the pressure variation of the superconducting H - T phase diagram at each composition indicates that the superconducting properties remain essentially unchanged with pressure. The composition dependence of $T_{\rm c}$ is discussed by comparing the experimental results of AuxPd1-xTe2 to those of undoped PdTe2.
Understanding the phase diagram of kagome superconductors from a microscopic perspective is crucial for clarifying the interplay between charge order and superconductivity. Ti-doped CsV$_{3}$Sb$_{5}$ exhibits a nonmonotonic temperature-doping phase diagram in which both $T_{\rm c}$ and the charge-order temperature initially decrease with doping, followed by a crossover from long-range to short-range charge order and a subsequent increase in $T_{\rm c}$. Here, we report a muon spin rotation ($μ$SR) study of Ti-doped CsV$_{3}$Sb$_{5}$ at two representative compositions: underdoped (Ti$_{0.05}$-CVS) and optimally doped (Ti$_{0.22}$-CVS). Using zero-field, high-field, and high-pressure $μ$SR, we find spontaneous time-reversal-symmetry (TRS) breaking in the normal state of both compositions, strongly enhanced by an applied magnetic field and associated with long-range and short-range charge-order correlations, respectively. In the superconducting state, both samples exhibit anisotropic nodeless pairing with low superfluid density. Hydrostatic pressure substantially enhances both $T_{\rm c}$ and the superfluid density (by $\sim$2.5), revealing a linear correlation between them and pointing to unconventional pairing. Above $\sim$1 GPa, a crossover from anisotropic to isotropic nodeless pairing is observed. Despite the different nature of charge order in the two doping regimes, the superconducting responses are remarkably similar, suggesting that the competition between superconductivity and charge order occurs on a local scale, largely independent of the long-range coherence of the charge-ordered state.
Kagome materials provide a powerful platform for exploring how flat electronic bands promote symmetry-breaking quantum states, yet studies have so far focused mainly on kagome-derived $d$-electron flat bands. In this paper, we introduce CeRu$_{3}$Si$_{2}$, a kagome superconductor in which our first-principles calculations show the coexistence of Ru $d$-orbital kagome flat bands and heavy-fermion flat bands derived from Ce$^{4+}$ $4f$-states. X-ray diffraction reveals a dominant 1/2 charge order with a much weaker 1/3 component persisting up to room temperature. Theoretical calculations further highlight the correlated nature of these charge-order states. Deep within the charge-ordered state, magnetoresistance emerges below 80 K and strengthens further below 30 K. Zero-field muon spin-rotation measurements show no time-reversal symmetry (TRS) breaking in the normal state, in contrast to LaRu$_{3}$Si$_{2}$ and YRu$_{3}$Si$_{2}$. However, an applied magnetic field induces weak magnetism. Across the $A$Ru$_{3}$Si$_{2}$ family ($A$ = La, Y, and Ce), the superconducting transition temperature $T_{\rm c}$ scales linearly with the onset temperature of normal-state TRS breaking $T_{\rm {TRSB}}$ and the magnitude of the field-induced magnetic response, revealing a direct positive correlation between normal-state symmetry breaking and superconductivity. Furthermore, we identify that CeRu$_{3}$Si$_{2}$ is the first 132-type kagome compound to host nodal superconductivity together with spontaneous internal magnetic fields, providing clear evidence for intrinsic TRS breaking in the superconducting state. These results establish CeRu$_{3}$Si$_{2}$ as a unique platform where intertwined kagome $d$- and heavy fermion $f$-electron flat bands generate a rich hierarchy of electronic orders.
2603.27053This paper, based on the interdisciplinary frontiers of quantum electrodynamics, causal set theory, and the AdS/CFT holographic duality, integrates Keppler's zero point field resonance theory, the discrete causal structure and horizon thermodynamics within causal set theory, and the latest advancements in holographic superconductivity models. For the first time, we establish a unified dynamical framework for macroscopic coherent states in quantum materials. We demonstrate that: (1) The quantum vacuum can form macroscopic coherent states with specific molecular electronic states in materials through resonant coupling, corresponding to a new mechanism for superconducting pairing; (2) The partial order relations and strongly connected components in causal set theory characterize the nonlocal correlation topology among quantum systems, with black hole event horizons exhibiting a blocking effect on such correlations; (3) Holographic duality treats the electronic structure of materials as a projection of a higher dimensional gravitational system onto the boundary, where the coherence length of the projection kernel satisfies a universal scaling law. Based on this, we deduce three groundbreaking discoveries: High Temperature Superconducting Pairing Mechanism Induced by Zero Point Field Resonance, Superconducting Synergy and Horizon Blocking in Causal Structure Networks, and Quantum Material Phase Transition Control Driven by Holographic Projection. Each discovery is translated into explicit experimental protocols and falsifiable conditions, and is compared and analyzed against mainstream experimental observations in the field of high temperature superconductivity, opening a computable and testable new direction for understanding emergent phenomena in quantum materials.