Materials science, superconductivity, mesoscale physics, and quantum materials
We obtain the phase diagrams of field theories of intertwined orders in the presence of periodic driving by an external field which preserves all symmetries. We consider both a conventional Landau theory of competing orders, and a fractionalized theory in which the order parameters are distinct composites of an underlying multi-component Higgs field. We work in the large $N$ limit and couple to a Markovian bath. The long time limits are characterized by non-zero average values, oscillations with the drive period and/or half the drive period, quasi-periodic oscillations, or chaotic behavior.

We investigate Floquet-driven topological phase transitions in an AB-stacked bilayer Haldane lattice with tunable intralayer hopping anisotropy. By combining interlayer hybridization, Haldane flux, and off-resonant circularly polarized light, we obtain controlled transitions among Dirac, semi-Dirac, and higher-Chern insulating phases. As the hopping anisotropy increases, the two inequivalent Dirac points move toward each other and merge at the Brillouin-zone $\mathbf{M}$ point, where a semi-Dirac dispersion emerges with linear and quadratic momentum dependence along orthogonal directions. In this regime, competition between the intrinsic Haldane mass and the Floquet-induced mass drives a sequence of sharp topological transitions with Chern numbers $C=0,\pm1,\pm2$. We further show that interlayer coupling qualitatively reshapes the Floquet band topology by inducing helicity-dependent and valley-selective band inversions at the K and K$'$ points, thereby stabilizing higher-Chern phases in the valence bands. These changes are accompanied by redistribution of the Berry curvature, bulk gap closings, and the collapse or sign reversal of quantized anomalous Hall plateaus. As the system approaches the semi-Dirac limit, the topological phase space narrows and disappears at the critical merger point, beyond which the system becomes topologically trivial even when it remains gapped. Overall, the bilayer geometry broadens the scope of Floquet topological control by enabling dynamically tunable higher-Chern phases and valley-dependent Hall responses governed by interlayer coupling and light helicity.
We investigate the impact of an induced mass term $Δ$ on the current density in graphene subjected to a space- and time-dependent periodic potential $U(x,t)$. By solving the Dirac equation and deriving both the quasi-energy spectrum and the corresponding eigenspinors, we obtain explicit analytical expressions for the current density, which exhibits a clear dependence on $Δ$. We show that $Δ$ acts as a tunable control parameter that governs the amplitude, sign, and resonance structure of Josephson-like current oscillations. For normal incidence and a purely time-periodic potential, our results reveal that the oscillations within the energy gap gradually diminish as the mass term $Δ$ increases. This suppression leads to a weakening of the Josephson-like effect typically observed in such systems. When the potential $U(x,t)$ is periodic in both space and time, the behavior becomes more complex. The current density can take either positive or negative values depending on the magnitude of the induced gap, and it generally decreases over time. As a result, the resonance phenomena--prominent at lower gap values--become progressively less significant as $Δ$ increases. These findings underscore the tunable nature of light-matter interactions and quantum transport in gapped graphene, suggesting potential applications in terahertz (THz) nanoelectronic devices and optically controlled quantum switches.
The controlled propagation of spin textures at bifurcations is a critical challenge for racetrack-based logic devices. Here, we investigate the effect of longitudinal and transverse magnetic fields on the propagation of magnetic antivortices at bifurcations within the stripe domain pattern of a reconfigurable NdCo/NiFe racetrack in order to control the preferred antivortex trajectory. Magnetic Transmission X-ray Microscopy experiments were employed to correlate the observed propagation path with the local magnetic configuration. We demonstrate that Zeeman coupling to the magnetization components at the bifurcation core enables switching of the preferred propagation branch using low-amplitude transverse magnetic fields, without modifying the global stripe domain configuration that defines the guiding racetrack landscape. In-plane magnetic anisotropy provides an additional mechanism to break the symmetry between the upper and lower bifurcation branches by tuning the relative orientation between the stripe domain pattern and the longitudinal magnetic fields.
The rational design of new materials emerges as an important direction to explore new topological materials, which is based on the understanding of the correlation between crystal and electronic structures. In this paper, we perform a comprehensive study on the crystal and electronic structures in LaAgAs2 through a combination of single-crystal x-ray diffraction (XRD), quantum oscillation, and angle-resolved photoemission spectroscopy (ARPES) experimental measurements, and density functional theory (DFT) calculations. Single-crystal XRD measurements reveal that LaAgAs2 crystallizes into a HfCuSi2-derived structure with the square net distorted into cis-trans chains. Quantum oscillation measurements reveal two frequencies with small effective masses and quasi-two-dimensional (2D) characters. ARPES measurements reveal an electronic structure strikingly different from the square-net-based semimetals, such as LaAgAs2. The Fermi surface is quasi-two-dimensional (2D), with Dirac-like hole pockets at the zone center and a quasi-1D elliptical electron pocket at the zone boundary. Based on the DFT calculations, the measured electronic structure can be well understood regarding the cis-trans distortion, which transforms the two-dimensional square net-derived Dirac bands into quasi-1D trivial bands. Intriguingly, multiple topological states can be identified around the zone center, including a nontrivial Z2 topological surface state and a bulk Dirac state. Our study clarifies the impact of cis-trans distortion and identifies LaAgAs2 as a topological material with multiple topological states near the Fermi level, providing a guideline for intentionally designing new topological materials.
We present a comprehensive first-principles investigation of defects in 4$H_b$-TaS$_2$. In this layered transition metal dichalcogenide, charge transfer between alternating Mott-insulating 1T and metallic 1H layers gives rise to exotic quantum phases such as the Kondo effect and topological superconductivity. Motivated by recent defect manipulation in 4$H_b$-TaS$_2$ via STM, we address their microscopic nature and impact on interlayer charge transfer. To this end, we systematically analyze over 90 defects using large-scale density functional theory (DFT) calculations. Our extensive dataset, compiled from STM simulations, defect formation energies, work functions, and charge transfer, establishes a foundational resource for future theoretical and experimental studies on defect engineering in 4$H_b$-TaS$_2$.
We develop a theory of polarized photoluminescence of interface excitons localized at lateral heterojunctions between transition metal dichalcogenide monolayers. We show that the circular selection rules governing interband optical transitions exactly at the band extrema are modified at finite wave vectors. The corresponding wave-vector-dependent corrections to the optical matrix elements result in a net linear polarization of excitonic photoluminescence. We identify two microscopic mechanisms responsible for linear polarization$-$trigonal warping of the electron and hole dispersions and the energy dependence of the effective masses. Their interplay controls both the magnitude and the angle of the emitted light polarization, with distinct dependences on the crystallographic orientation of the interface. Using a microscopic variational approach, we demonstrate that the degree of linear polarization can reach values exceeding 10% in realistic heterostructures. Furthermore, due to the large built-in dipole moment of interface excitons, their optical response can be tuned by an external in-plane electric field, enabling control over the strength and direction of the polarization.
Following the Bethe ansatz we determine the dynamical spectra of the one-dimensional supersymmetric t-J model. A series of fractionalized excitations are identified through two sets of Bethe numbers. Typical patterns in each set are found to yield wavefunctions containing elementary spin and charge carriers, manifested as distinct boundaries of the collective excitations in the spectra of single electron Green functions. In spin channels, gapless excitations fractionalized into two spin and a pair of postive and negative charge carriers, extending to finite energy as multiple continua. These patterns connect to the half-filling limit where only fractionalized spinons survive. In particle density channel, apart from spin-charge fractionalization, excitations involving only charge fluctuations are observed. Furthermore, nontrivial Bethe strings encoding bound state structure appear in channels of reducing or conserving magnetization, where spin and charge constituents can also be identified. These string states contribute significantly even to the low-energy sector in the limit of vanishing magnetization.
Inspired by the recent discovery of metallic spin supersolidity and its giant magnetocaloric effect in the rare-earth alloy EuCo$_2$Al$_9$ [Nature 651, 61 (2026)], we perform a combined study through electronic structure analysis, effective spin model, and Monte Carlo simulations on a stacked triangular lattice, and reveal a novel mechanism for the emergence of 3D spin supersolid in a metallic antiferromagnet. From first-principles inputs, we derive a minimal spin model on a stacked triangular lattice (STL), which arises from the interplay between Ruderman-Kittel-Kasuya-Yosida (RKKY) and dipolar interactions and accurately reproduces the experimental thermodynamics. Based on the STL model, we identify a ground state that simultaneously breaks discrete lattice translational symmetry and continuous spin-rotational symmetry -- the hallmark of a spin supersolid. Furthermore, we present the field-temperature phase diagram of the 3D STL model and discuss the various magnetic phases and associated phase transitions. Under zero field, the spin supersolid Y order establishes in two steps: an upper transition at $T_{N1}$, where an emergent U(1) symmetry appears and the system enters a fluctuating collinear regime, followed by a lower transition at $T_{N2}$ into the spin supersolid Y phase. In contrast, the supersolid V phase undergoes a single phase transition at $T_N^V$. Our results not only provide a comprehensive theoretical understanding of the metallic spin supersolid reported for EuCo$_2$Al$_9$ but also pave the way for further experimental investigations into its supersolid transitions and universality class.
The discovery of spin supersolid and its giant magnetocaloric effect has opened a new arena in frustrated quantum magnets and cutting-edge cryogenics. The intermetallic EuCo2Al9 (ECA), for the first time, extends this intriguing phase from Mott insulators to a highly conductive metal [1]. In this work, we systematically study the electrical transport properties of ECA, where itinerant electrons serve as a sensitive probe for the spin supersolid states. We observe anomalies both in the temperature-dependent resistivity and field-dependent magnetoresistance and Hall signals, which are attributed to response of electrons to the Eu2+ spins and their fluctuations. Moreover, Shubnikov-de Haas quantum oscillations at high magnetic field reveal pronounced band splitting in the spin polarized state. Our results reveal an intimate correspondence between electrical transport and magnetic transitions in ECA, deepening the understanding of this metallic spin supersolid.
Ion irradiation is a versatile tool for nanostructuring surfaces, yet the roles of energy deposition and dissipation at the surface and in ultrathin materials remain poorly understood. In this study, we investigate nanopore formation in monolayer MoS$_2$ on different substrates under irradiation of highly charged ions (HCIs) and swift heavy ions (SHIs): two types of ions that, despite having vastly different kinetic energies, interact primarily with the electronic system of the target. Using scanning transmission electron microscopy, we quantify pore radii and pore formation efficiencies for suspended MoS$_2$, MoS$_2$ on SiO$_2$, bilayer MoS$_2$ and MoS$_2$ on gold. Both pore size and pore formation efficiency exhibit a pronounced dependence on the type of substrate. Pores are largest and most frequent in MoS$_2$ on SiO$_2$, while the gold substrate massively quenches pore formation. The results indicate that the observed pore dimensions under both HCI and SHI irradiation are consistent with a central role of substrate and interface-dependent electronic dissipation pathways.
We investigate topological phase transitions for the Haldane and Kane-Mele model in a lattice with $p6$ symmetry, which consists of triangles and hexagons arranged in a two-dimensional geometry. For the Haldane model, which breaks time-reversal symmetry, we calculate the Chern number using a multi-band non-Abelian Wilson loop formalism. By varying the hopping parameters in the triangles and hexagons independently, a large variety of topological phases emerge. In the presence of a next-next-nearest neighbor hopping, the phase diagram becomes even richer, with regions exhibiting high Chern numbers. Then, we consider the Kane-Mele model, for which time-reversal symmetry is preserved, and calculate the number of $π$-crossings in the Concentric Wilson Loop Spectrum (CWLS). This method is appropriate to determine the topological invariant for systems hosting time-reversal and rotational symmetry, but lacking all other symmetries. According to a classification based on $K$-theory, the CWLS invariant reveals topological properties even when more conventional invariants fail to detect them. The formalism was previously successfully applied to systems with 3- and 4-fold symmetry. Here, we surprisingly find that for the 6-fold-symmetry model investigated, the topology identified by this invariant is fragile, therefore questioning the claim that this should be the strong invariant missing in a complete classification of topological insulators.
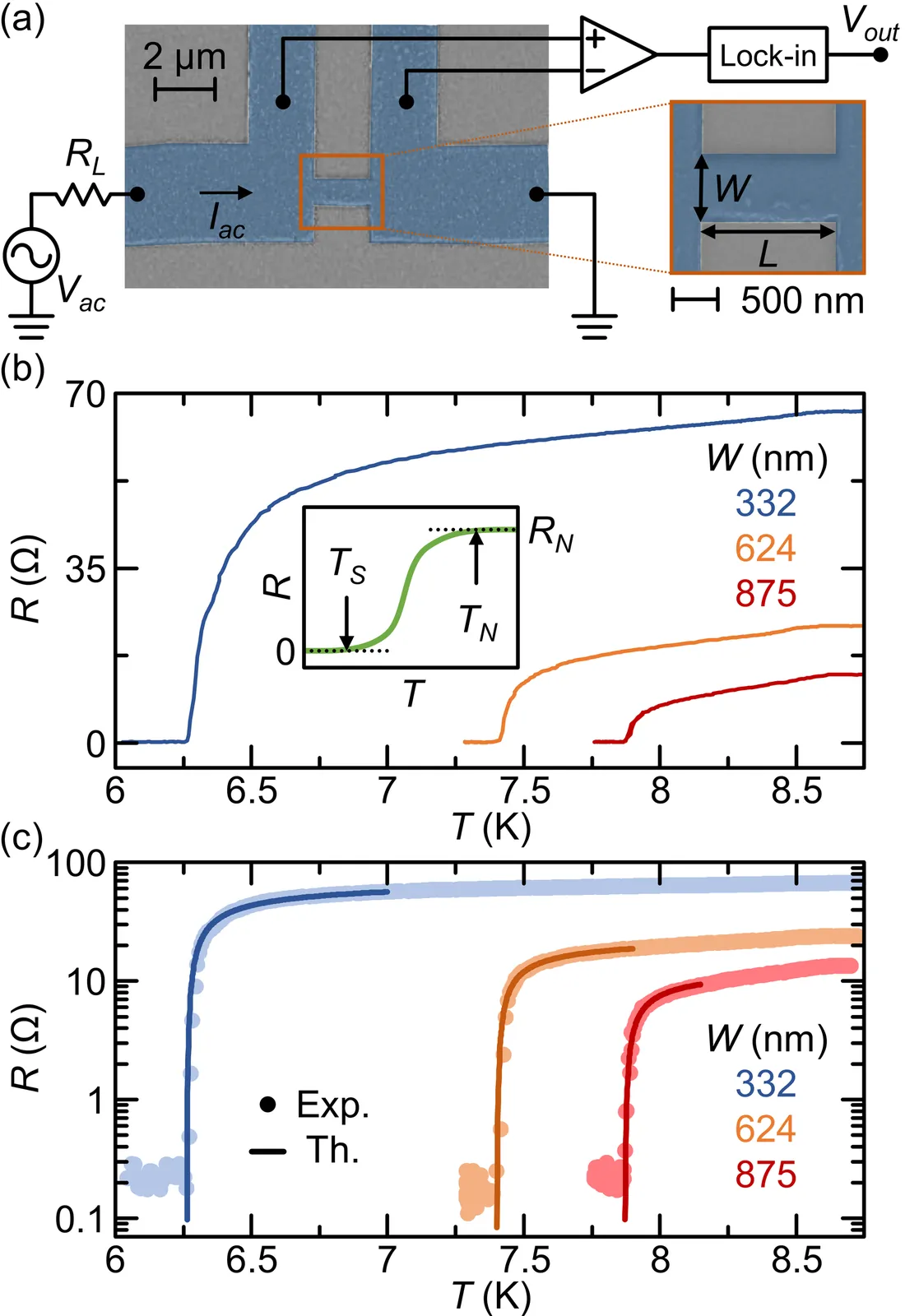
Hybrid superconductor/semiconductor devices play a crucial role in advancing quantum science and technology by merging the properties of superconductors and semiconductors. To operate these devices at high temperature, Niobium could substitute the widespread aluminum as superconducting element. Niobium devices show the best superconducting properties when shaped by etching, but this technique is often incompatible with semiconductors and two-dimensional materials. Our work investigates the influence of oxygen diffusion on the superconducting transition of Nb nanowires fabricated by lift-off technique. To this scope, we fabricate and measure Nb devices of different width (W) and thickness (t). By using the Berezinskii-Kosterlitz-Thouless (BKT) model for charge transport, we demonstrate that our nanowires behave as two-dimensional superconductors regardless of W and t. While the normal-state transition temperature (TN) remains constant with decreasing W, the temperature of the fully superconducting state (TS) decreases. Thus, the superconducting transition width (δTC) increases as W shrinks, due to oxygen diffusion from the lithography resist occurring during deposition. These insights provide essential knowledge for optimizing Nb-based hybrid quantum devices, paving the way for operating temperatures above 2 K and contributing to the development of next-generation quantum technologies.
Our electronic structure theory for crystalline solids is commonly built on the periodic potential assumption $V(\mathbf r)=V(\mathbf r+\mathbf R)$ for every lattice translation $\mathbf R$, enabling Bloch eigenstates, crystal momentum as a good quantum number, and the standard quasiparticle-based description of the behavior of metals. Because the zero-point motion of the ions, however, in correlated electron systems the electronic environment experienced by an itinerant electron is neither static nor self-averaging at the single-particle level, even in perfectly stoichiometric crystals, leading to a distribution of local Kondo scales that spans two orders of magnitude in temperature. We discuss, through a comparison between uniform scenarios and one that breaks with perfect lattice translational symmetry, how incorporating this distribution yields a unified description for all heavy-fermion systems at the quantum critical point.
Quantum magnets in the $M\mathrm{Nb_2O_6}$ and BaCo$_2$V$_2$O$_8$ families realise frustrated transverse-field Ising models whose competing ferromagnetic and antiferromagnetic couplings generate a sign problem provably intractable for quantum Monte Carlo at any system size, leaving their quantum phase boundaries numerically Inaccessible. Using a D-Wave Advantage2 quantum annealer at $L\leq27$ (729 spins), we obtain the large-$L$ critical points for this model family, measuring quantum-driven transitions at ${g_c^{\mathrm{QPU}}}\in\{0.286,\,0.210,\,0.156,\,0.093\}$ for $α\in\{1.0,\,0.7,\,0.5,\,0.3\}$, where the analytically exact classical threshold is ${g_c^{\mathrm{class}}}(α)=2α/3$. The suppression ratio $r(α)$ exhibits a sharp two-regime structure: the three quasi-1D geometries ($α\leq0.7$) are mutually consistent with a universal plateau $\bar{r}=0.450$ ($χ^2/\mathrm{dof}=1.10$, $p=0.33$), demonstrating that quantum fluctuations destroy approximately $55\%$ of the classical FM stability window independently of coupling anisotropy, while $r$ steps down to the 2D limit above the empirical crossover scale $α^*\approx0.7$. Inner Binder cumulant pairs, which converge fastest to the thermodynamic limit, resolve $r(1.0)\approx0.412$ and a step $Δr=0.038\pm0.015$ from the quasi-1D plateau. A four-point linear fit $r(α)=0.494-0.063\,α$ summarises both regimes; its $α\to0$ intercept recovers the exact 1D result of Pfeuty within 1.7 standard deviations, and its slope is a lower bound on the true crossover amplitude concentrated in $α\in[α^*,1]$. Two sequential blind predictions, confirmed at $0.2σ$ and $0.7σ$ before each measurement, validate the crossover law. All four geometries show a direct ferromagnet-to-paramagnet transition, complete quantum ergodicity ($f_{\rm uniq}=1.000$), and null valence-bond solid order.
The practical utilization of MnP in chiral spintronic devices is fundamentally constrained by its low helical ordering temperature ($T_{\rm S}$). Here, we demonstrate that Ru substitution in Mn$_{1-x}$Ru$_x$P single crystals drives a highly anisotropic lattice expansion, where the $b$-axis elongation is one-quarter that of the $a$- and $c$-axes ($\sim$ 0.04 Å). This structural distortion profoundly stabilizes the helical ground state, elevating $T_{\rm S}$ from 51~K to 215~K and the critical field along the [010] direction at 5~K from 2.3 to 30.0~kOe, while suppressing the Curie temperature ($T_{\rm C}$) from 291~K to 215~K. Synthesizing these results with reported data on Mo- and W-doped analogues reveals that $T_{\rm S}$ and $T_{\rm C}$ are governed primarily by the $b$-axis parameter, exhibiting universal linear scaling relationships ($dT_{\rm S}/db = 1.59 \times 10^4\ \text{KÅ}^{-1}$, $dT_{\rm C}/db = 0.69 \times 10^4\ \text{KÅ}^{-1}$) far greater than those associated with the $a$- or $c$-axes. First-principles calculations reveal that the lattice expansion selectively attenuates ferromagnetic coupling while preserving antiferromagnetic interactions between nearest-neighbor Mn atoms, thereby enhancing magnetic frustration and stabilizing helimagnetism. These findings establish chemical pressure via directed $b$-axis engineering as a robust, generalizable paradigm for stabilizing helimagnetism in MnP.
The visit probability, quantifying whether a particle has reached a given point for the first time by a specified time, provides access to various extreme value statistics and serves as a fundamental tool for characterising active matter models. However, previous studies have largely neglected how the visit probability depends on the internal degree of freedom driving the active particle. To address this, we calculate the "state-dependent'' visit probability for a Run-and-Tumble particle, that is the probability that the particle first passes through $x$ before time $t$, keeping track of its internal state during first passage. This process may be thought of as the particle "painting'' the positions it passes through for the time in the colour of its self-propulsion state. We perform this calculation in one dimension using Doi-Peliti field theory, by extending the tracer mechanism from previous works to incorporate such "polar deposition'' and demonstrate that state-dependent visit probabilities can be elegantly captured within this field-theoretic framework. We further derive the total volume covered by a right- (or left-) moving Run-and-Tumble particle and compare our results with known expressions for Brownian motion.
Spin-phonon interactions have a dual role in emerging spin-based quantum technologies. While they can be a limitation to device performance through decoherence, they also serve as a critical resource for coherent spin control, detection, and the realization of spin-based quantum networks. However, their direct characterization remains a challenge and is usually material-dependent. Here, we introduce a technique to probe spin-phonon coupling at millikelvin temperatures and gigahertz frequencies, using high-overtone bulk acoustic wave resonators (HBARs) integrated with arbitrary crystals via visco-elastic transfer of thin-film lithium niobate transducers. By tuning the Larmor frequency of dilute spin ensembles into resonance with HBAR modes, we extract the anisotropy and strength of spin-phonon interactions from acoustic dispersion and dissipation measurements. We demonstrate this approach in calcium tungstate (CaWO4) and yttrium orthosilicate (Y2SiO5), achieving cooperativities up to 0.5 for erbium dopant ensembles. Our method enables the study of spin-phonon interactions in complex crystalline materials, with minimal fabrication constraints. These results will facilitate the design of hybrid quantum systems and the quest for ion-matrix combination with enhanced spin-phonon coupling.
Vacancy-mediated diffusion in multi-principal element alloys (MPEAs) remains poorly understood. Existing computational methods face challenges in connecting electronic structure to macroscopic transport coefficients due to the large number of chemical elements. To address this, we introduce the embedded local cluster expansion (eLCE), which bridges first-principles calculations with kinetic Monte Carlo simulations to compute the matrix of multicomponent diffusion coefficients. Applying this approach to refractory MPEAs in the V-Cr-Nb-Mo-Ta-W system, we evaluate the complete mobility and diffusion tensors of a six-component alloy at finite temperatures. We find that local kinetic barriers, rather than thermodynamics or vacancy correlation factors, primarily control diffusion in these materials. Whether diffusion is sluggish or anti-sluggish depends on the mean vacancy migration barrier relative to the rule-of-mixtures estimate and on the availability of percolating pathways of fast-diffusing species. We use this insight to screen the senary composition space and identify compositions with anti-sluggish diffusion. This study presents a predictive, first-principles approach for computing non-dilute transport coefficients and designing MPEAs with targeted transport properties.
We investigate how Restricted Boltzmann Machines (RBMs) encode antiferromagnetic order when trained as variational ansätze for one-dimensional Heisenberg spin rings with periodic boundary conditions. Through systematic hidden unit analysis and ablation studies on $N=4$ and $N=8$ spin systems, we show that individual hidden units spontaneously specialize to capture staggered magnetization patterns characteristic of antiferromagnetic ground states. Hidden units naturally segregate into two classes: those essential for ground-state energy and correlation structure, and supplementary units providing smaller corrections. Removing important units induces clear energy penalties and disrupts the staggered correlation pattern in $C_{zz}(r)$, whereas removing supplementary units has modest effects. Single-unit analysis confirms that no individual hidden unit reproduces the full antiferromagnetic correlations, indicating that quantum order emerges through collective encoding across the hidden layer. Extending this analysis to $N=8$ through $20$ with hidden unit densities $α= 2$ to $5$ and ten independent seeds per configuration, we find that the fraction of important hidden units decreases with system size, consistent with sublinear growth $m' \sim N^k$ ($k \approx 0.4$). The energy-correlation impact relationship persists for small to moderate system sizes, though it weakens for the largest systems studied. These results provide a quantitative framework for RBM interpretability in quantum many-body systems.