Quantum Gases
Ultracold atomic and molecular gases, Bose-Einstein condensation, Feshbach resonances, optical lattices.
Ultracold atomic and molecular gases, Bose-Einstein condensation, Feshbach resonances, optical lattices.
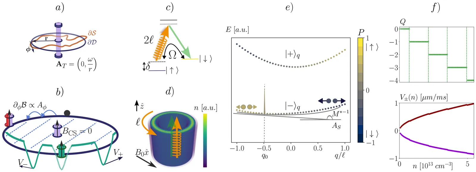
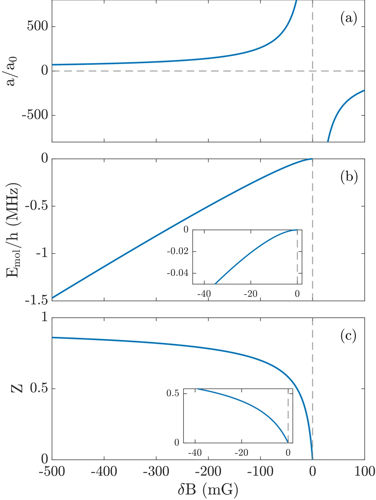
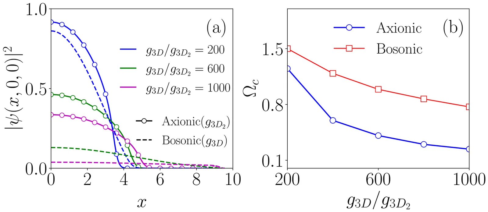
We theoretically investigate a non-Hermitian optical dimer whose parameters are renormalized by dispersive and dissipative backaction from the coupling of the passive cavity with a ring-trapped Bose-Einstein condensate. The passive cavity is driven by a two-tone control laser, where each tone is in a coherent superposition of Laguerre-Gaussian beams carrying orbital angular momenta $\pm \ell \hbar$. This imprints an optical lattice on the ring trap, leading to Bragg-diffracted sidemode excitations. Using an exact Schur-complement reduction of the full light-matter dynamics, we derive a frequency-dependent self-energy and identify a static regime in which the atomic response produces a complex shift of the passive optical mode. This renormalized dimer supports a tunable exceptional point, enabling spectroscopic signatures in the optical transmission due to a probe field, which can in turn be utilized for estimating the winding number of the persistent current. Exploiting the associated half-integer topological charge, we propose a digital exceptional-point-based sensing scheme based on eigenmode permutation, providing a noise-resilient method to sense superfluid rotation without relying on fragile eigenvalue splittings. Importantly, the sensing proposals are intrinsically non-destructive, preserving the coherence of the atomic superfluid.
The stated overarching goal of the highly active field of quantum simulation of high-energy physics (HEP) is to achieve the capability to study \textit{ab-initio} real-time microscopic dynamics of $3+1$D quantum chromodynamics (QCD). However, existing experimental realizations and theoretical proposals for future ones have remained restricted to one or two spatial dimensions. Here, we take a big step towards this goal by proposing a concrete experimentally feasible scalable cold-atom quantum simulator of a U$(1)$ quantum link model of quantum electrodynamics (QED) in three spatial dimensions, employing \textit{linear gauge protection} to stabilize gauge invariance. Using tree tensor network simulations, we benchmark the performance of this quantum simulator through near- and far-from-equilibrium observables, showing excellent agreement with the ideal gauge theory. Additionally, we introduce a method for \textit{analog quantum error mitigation} that accounts for unwanted first-order tunneling processes, vastly improving agreement between quantum-simulator and ideal-gauge-theory results. Our findings pave the way towards realistic quantum simulators of $3+1$D lattice gauge theories that can probe regimes well beyond classical simulability.
The coherent mobility of doublons, arising from second-order virtual dissociation-recombination processes, fundamentally limits their use as information carriers in the strongly interacting Bose-Hubbard model. We propose a disorder-free suppression mechanism by introducing an optimized nearest-neighbor pair-hopping term that destructively interferes with the dominant virtual hopping channel. Using the third-order Schrieffer-Wolff transformation, we derive an analytical optimal condition that accounts for lattice geometry corrections. Exact numerical simulations demonstrate that this optimized scheme achieves near-complete dynamical arrest and entanglement preservation in one-dimensional chains, while in two-dimensional square lattices, it significantly suppresses ballistic spreading yet permits a slow residual expansion. Furthermore, in the many-body regime, finite-size scaling analysis identifies the observed long-lived density-wave order as a prethermal plateau emerging from the dramatic separation of microscopic and thermalization timescales.
We analytically and numerically study the ground state and collective dynamics of Bose-Einstein condensates in two traps: a Newtonian potential and a logarithmic potential inspired by Modified Newtonian Dynamics (MOND). In the ground state, the MOND potential supports bound states only in the deep-MOND regime, where the condensate becomes significantly larger than its Newtonian counterpart. The size increases with repulsive coupling parameter $β$ in both potentials. A clear scaling law of the size with $β^{1/3}$ emerges in the MOND case and is confirmed numerically over a wide parameter range, while for the Newtonian potential no simple scaling law exists as the Thomas-Fermi approximation ceases to be valid. For the dynamics, we derive and solve equations for the monopole collective mode. The larger MOND-bound condensate oscillates at a lower frequency, which scales as $β^{-1/3}$ in the strong-interaction limit. These scaling laws provide insights for quantum-simulation experiments aiming to probe modified-gravity scenarios with cold atoms.
The continuous matrix product state (cMPS) ansatz is a promising numerical tool for studying quantum many-body systems in continuous space. Although it provides a clean framework that allows one to directly simulate continuous systems, the optimization of cMPS is known to be a very challenging task, especially in the case of multi-component systems. In this work, we have developed an improved optimization scheme for multi-component cMPS that enables simulations of bosonic quantum mixtures with substantially larger bond dimensions than previous works. We benchmark our method on the two-component Lieb-Liniger model, obtaining numerical results that agree well with analytical predictions. Our work paves the way for further numerical studies of quantum mixture systems using the cMPS ansatz.
Quantum simulation relies on the preparation and control of low-entropy many-body systems to reveal the behavior of classically intractable models. The development of new approaches for realizing such systems therefore represents a frontier in quantum science. Here we experimentally demonstrate a new protocol for generating ultracold, itinerant many-body states in a tunnel-coupled two-dimensional optical lattice. We do this by adiabatically connecting a near-ground-state-cooled array of up to 50 single strontium-86 atoms with a Bose-Hubbard superfluid. Through comparison with finite-temperature quantum-Monte-Carlo calculations, we estimate that the entropy per particle of the prepared many-body states is approximately $2 k_B$, and that the achieved temperatures are consistent with a significant superfluid fraction. This represents the first time that itinerant many-body systems have been prepared from rearranged atoms, opening the door to bottom-up assembly of a wide range of neutral-atom and molecular systems.
Recent advances in quantum simulations have opened access to the real-time dynamics of lattice gauge theories, providing a new setting to explore how quantum criticality influences thermalization and ergodicity far from equilibrium. Using QuEra's programmable Rydberg atom array, we map out the dynamical phase diagram of the spin-1/2 U(1) quantum link model in one spatial dimension by quenching the fermion mass. We reveal a tunable regime of ergodicity breaking due to quantum many-body scars, manifested as long-lived coherent oscillations that persist across a much broader range of parameters than previously observed, including at the equilibrium phase transition point. We further analyze the electron-positron pairs generated during state preparation via the Kibble-Zurek mechanism, which strongly affect the post-quench dynamics. Our results provide new insights into nonthermal dynamics in lattice gauge theories and establish Rydberg atom arrays as a powerful platform for probing the interplay between ergodicity breaking and quantum criticality.
Collisional gates in optical superlattices have recently achieved record fidelities, but their operation times are typically limited by tunneling. Here we propose and analyze an alternative route to a fast $\sqrt{\mathrm{SWAP}}$ gate for two fermionic atoms in an optical superlattice based on optimized, time-dependent control of the short and long lattice depths. The gate is implemented by transiently releasing the atoms into a quasi-harmonic confinement centered between the two sites. With an appropriately chosen contact interaction strength, a controlled collision accumulates the exchange phase required for $\sqrt{\mathrm{SWAP}}$ and generates entanglement. We employ a continuum, time-dependent Schrödinger-equation simulation that goes beyond a two-site Fermi--Hubbard description and benchmark it against experimentally implemented tunneling-based protocols, reproducing the observed single-particle tunneling and spin-exchange dynamics. For experimentally accessible lattice depths, we find that the proposed gate operates in $\sim 21\,μ\mathrm{s}$, more than an order of magnitude faster than tunneling-based implementations, while achieving fidelities $\gtrsim 99\%$. We further analyze sensitivity to lattice-depth variations and show that a composite sequence improves robustness. Our results establish fast, collision-mediated entangling gates in superlattices as a promising building block for scalable neutral-atom quantum computation.
In this work, we investigate the non-equilibrium dynamics in a one-dimensional two-component anyon-Hubbard model, which can be mapped to an extended Bose-Hubbard ladder with density-dependent hopping phase and synthetic gauge flux. Through numerical simulations of two-particle dynamics and the symmetry analysis, we reveal the asymmetric transport with broken inversion symmetry and two dynamical symmetries in the expansion dynamics. The expansion of two-component anyons is dynamically symmetric under spatial inversion and component flip, when the sign of anyonic statistics phase or the signs of gauge flux and interaction are changed. In the non-interacting case, we show the dynamical suppression induced by both the statistics phase and gauge flux. In the interacting case, we demonstrate that both chiral and antichiral dynamics can be exhibited and tuned by the statistics phase and gauge flux. The dynamical phase regimes with respect to the chiral-antichiral dynamics are obtained. These findings highlight the rich dynamical phenomena arising from the interplay of anyonic exchange statistics, synthetic gauge fields, and interactions in multi-component anyons.
The Hawking effect -- the spontaneous emission of correlated quanta from horizons -- can be observed in laboratory systems where an acoustic horizon forms when a fluid transitions from subcritical to supercritical flow. Although most theoretical and experimental studies have relied on real-space observables, the frequency-dependent nature of the Hawking process motivates a momentum-space analysis to access its spectral structure and entanglement features. Here, we numerically compute the momentum-space two-point correlation function in a quantum fluid using the truncated Wigner approximation, a general method applicable to both conservative and driven-dissipative systems. We consider a polaritonic fluid of light in a realistic configuration known to yield strong real-space correlations between Hawking, partner, and witness modes. We find signatures that are directly accessible in state-of-the-art experiments and offer a robust diagnostic of spontaneous emission. Our results form the basis for a new theoretical framework to assess a variety of effects, such as quasi-normal mode emission or modifications of the horizon structure on the Hawking spectrum.
We present an exact solution of the quantum kinetic equation of a weakly interacting Fermi gas in the crossover from the degenerate Fermi-liquid regime to the classical Boltzmann gas. We construct families of orthogonal polynomials tailored to each angular momentum channel, enabling a fast and systematically improvable decomposition of the phase-space distribution. This approach yields accurate, non-variational predictions for the shear viscosity, thermal diffusivity, and spin diffusivity to leading order in the scattering length. We demonstrate that the commonly used relaxation-time approximation fails dramatically at low temperature--by up to 25%. Our method provides a numerically efficient framework for benchmarking transport in strongly correlated regimes and for simulating the kinetics of quantum gases beyond hydrodynamics.
We explore the correlated dynamics underlying the formation of the quantum Peregrine soliton, a prototypical rogue-wave excitation, utilizing interaction quenches from repulsive to attractive couplings in an ultracold bosonic gas confined in a one-dimensional box trap. The latter emulates the so-called semi-classical initial conditions and the associated gradient catastrophe scenario facilitating the emergence of a high-density, doubly localized waveform. The ensuing multi-orbital variant of the Peregrine soliton features notable deviations from its mean-field sibling, including a reduced peak amplitude, wider core, absence of the side density dips, and earlier formation times. Moreover, Peregrine soliton generation yields coherence losses, while experiencing two-body bunching within each of its sides which show anti-bunching between each other. Controllable seeding of the Peregrine soliton is also demonstrated by tuning the atom number or the box length, while reducing the latter favors the generation of the time-periodic Kuznetsov-Ma breather. Our results highlight that correlations reshape the morphology of rogue-waves in the genuinely quantum, non-integrable realm, while setting the stage for the emergent field of quantum dispersive hydrodynamics.
Kapitza-Dirac scattering, the diffraction of matter waves from a standing light field, is widely utilized in ultracold gases, but its behavior in the strongly interacting regime is an open question. Here we develop a numerically-exact two-body description of Kapitza-Dirac scattering for two contact-interacting atoms in a one-dimensional harmonic trap subjected to a pulsed optical lattice, enabling us to obtain the numerically exact dynamics. We map how interaction strength, lattice depth, lattice wavenumber, and pulse duration reshape the diffraction pattern, leading to an interaction-dependent population redistribution in real and momentum-space. By comparing the exact dynamics to an impulsive sudden-approximation description, we delineate the parameter regimes where it remains accurate and those, notably at strong attraction and small lattice wavenumber, where it fails. Our results provide a controlled few-body benchmark for interacting Kapitza-Dirac scattering and quantitative guidance for Kapitza-Dirac-based probes of ultracold atomic systems.
We study a one-dimensional lattice model with site-dependent nearest-neighbor hopping amplitudes that follow a power-law profile. The hopping variation is controlled by a grading exponent, $α$, which serves as the tuning parameter of the system. In the thermodynamic limit, the ground state becomes localized as $|α| \to 0$, signaling the presence of a critical point characterized by a diverging localization length. Using exact diagonalization, we perform finite-size scaling analysis and extract the associated critical exponent governing this divergence, revealing a universality class distinct from well-known Anderson, Aubry-Andre, and Stark localization. To further characterize the critical behavior, we analyze the inverse participation ratio, the energy gap between the ground and first excited states, and the fidelity susceptibility. We also investigate nonequilibrium dynamics by linearly ramping the hopping profile at various rates and tracking the evolution of the localization length and the inverse participation ratio. The Kibble-Zurek mechanism successfully captures the resulting dynamics using the critical exponents obtained from the static scaling analysis. Our results demonstrate a clean, disorder-free route to localization and provide a tunable platform relevant to photonic lattices and ultracold atom arrays with engineered hopping profiles.
Recent advances in molecular cooling have enabled the realization of strongly dipolar Bose-Einstein condensates (BECs) of molecules, and BECs of many different molecular species may become experimentally accessible in the near future. Here, we explore the unique properties of such BECs and the new insights they may offer into dipolar quantum fluids and many-body physics. We explore which parameter regimes can realistically be achieved using currently available experimental techniques, discuss how to implement these techniques, and outline which molecular species are particularly well suited to explore exotic new states of matter. We further determine how state-of-the-art beyond mean-field theories, originally developed for weakly dipolar magnetic gases, can be pushed to their limits and beyond, and what other long-standing questions in the field of dipolar physics may realistically come within reach using molecular systems.
Dipolar quantum gases, encompassing atoms and molecules with significant dipole moments, exhibit unique long-range and anisotropic dipole-dipole interactions (DDI), distinguishing them from systems dominated by short-range contact interactions. This review explores their behavior across dimensions, focusing on magnetic atoms in quasi-2D in comparison to 3D. In 3D, strong DDI leads to phenomena like anisotropic superfluidity, quantum droplets stabilized by Lee-Huang-Yang corrections, and supersolid states with density modulations. In 2D, we discuss a new scenario where DDI induces angle-dependent Berezinskii-Kosterlitz-Thouless transitions and potential supersolidity, as suggested by recent experimental realizations of strongly dipolar systems in quasi-2D geometries. We identify key challenges for future experimental and theoretical work on strongly dipolar 2D systems. The review concludes by highlighting how these unique 2D dipolar systems could advance fundamental research as well as simulate novel physical phenomena.
We consider a prime example of simulating interacting relativistic QFT with cold atoms: the realisation of the sine-Gordon model by tunnel-coupled quasi-1D Bose gases. While experiments have shown that it can realise the sine-Gordon model in equilibrium, studies of non-equilibrium dynamics have revealed a phase-locking behaviour that stands in contrast to predictions from sine-Gordon field theory. Here, we examine a one-dimensional field-theoretic model of the system and find that the phase-locking behaviour can be understood in terms of the presence of the longitudinal harmonic trap, and that the additional degrees of freedom known to be present in the experiment do not appear to play a significant role. Therefore, the experimental setup provides a good simulator of the sine-Gordon quantum field theory, even out of equilibrium, if the inhomogeneous background induced by the trap is taken into account. Furthermore, our results support the idea that modifying the longitudinal trap to a box shape should result in agreement with standard sine-Gordon dynamics. The main remaining open issues are to account for 3D corrections and model the effect of the boundaries.
We present a general formalism for performing a time-dependent Bogoliubov analysis of a dynamically unstable Bose-Einstein condensate, which extends the quasiparticle projection method of Morgan et al. [Phys. Rev. A 57, 3818 (1998)] to cases with a complex spectrum. By introducing the proper left eigenvectors associated with each regime, we construct a biorthogonal basis. While the usual Bogoliubov normalization $\langle u | u \rangle - \langle v | v \rangle = 1$ may not hold in this basis, it still allows for a complete mode decomposition and an accurate reconstruction of arbitrary perturbations over time. This approach extends the applicability of the Bogoliubov framework beyond the stable regime, providing a consistent analysis of the time evolution of unstable condensates. As a proof of concept, we apply the method to a one-dimensional condensate with attractive interactions, which is dynamically unstable and evolves into nonstationary localized structures seeded by small perturbations.
The nodal surfaces of the many-body wavefunction are fundamental geometric features that encode critical information regarding particle statistics and their interaction. Directly probing these structures, particularly in correlated quantum systems, remains a significant experimental challenge. Here, we provide rigorous results on the structure of the many-body wavefunction and propose to use an interferometric technique to probe its zeros in ultra-cold atomic systems. Specifically, we refer to the so-called heterodyne interferometric reconstruction of the phase of the many-body wavefunction. We prove that the sought nodal surfaces show up as specific discontinuities in the interference fringes. Following Leggett, both `symmetry-dictated' nodal surfaces, due to particle statistics, and `non-symmetry dictated' nodal surfaces emerging from interaction effects, can be probed. We demonstrate how the spin degrees of freedom, effectively modifying the structure of the nodal surfaces of the many-body wavefunction, leave distinct fingerprints in the resulting interference pattern. Our work addresses important features of the structure of the many-body wavefunction that are broadly relevant for quantum science ranging from conceptual aspects to computational questions of extended systems and quantum simulation.
Quantum droplets (QDs) in weakly interacting ultracold quantum gases are typically characterized by mean-field theories incorporating Lee-Huang-Yang (LHY) quantum fluctuations under simplified zero-range interaction assumptions. However, bridging these models to broader physical regimes like superfluid helium requires precise understanding of short-range interatomic interactions. Here, we investigate how finite-range interactions--next-order corrections to zero-range potentials--significantly alter QDs mechanics. Using a consistent effective theory, we derive an analytical equation of state (EOS) for three-dimensional bosonic mixtures under finite-range interactions at zero temperature. Leveraging the Hubbard-Stratonovich transformation, we demonstrate that interspecies attraction facilitates bosonic pairing across components characterized by the non-perturbative parameter of $Δ$, leading to nonuniversal LHY terms that encode short-range interaction details while recovering previous universal QDs EOS in the zero-range limit. Extending superfluid hydrodynamic equations for two-component systems, we predict fractional frequency shifts in breathing modes induced by these nonuniversal terms. Experimental observation of these shifts would reveal critical insights into QDs dynamics and interatomic potential characteristics.