Other Condensed Matter
Work in condensed matter that does not fit into the other categories.
Work in condensed matter that does not fit into the other categories.
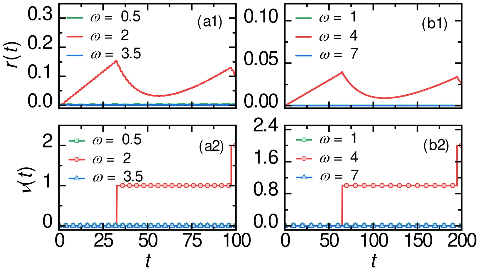
This work investigates dynamical quantum phase transitions (DQPTs) in a one-dimensional Ising model subjected to a periodically modulated transverse field. In contrast to sudden quenches, we demonstrate that DQPTs can be induced in two distinct ways. First, when the system remains within a given phase--ferromagnetic (FM) or paramagnetic (PM), a resonant periodic drive can trigger a DQPT when its frequency matches the energy-level transition of the system. The timescale for the transition is governed by the perturbation strength $λ'$, the critical mode $k_c$, and its energy gap $Δ_{k_c}$, following the scaling relation $τ\propto \sin^{-1}k_c Δ_{k_c}λ'^{-1}$. Second, for drives across the critical point between the FM and PM phases, low frequencies can always induce DQPTs, regardless of resonance. This behavior stems from the degeneracy of the energy-level at the critical point, which ensures that any drive with a frequency lower than the system's intrinsic transition frequency will inevitably excite the system. However, in the high-frequency regime, such excitation will be strongly suppressed, thereby inhibiting the occurrence of DQPTs. This study provides deeper insight into the nonequilibrium dynamics of quantum spin chains.
This dissertation presents a systematic theoretical investigation into realizing a condensed matter analogue of the Chiral Magnetic Effect (CME) in a quasi-planar, 2+1D system. The research establishes a conceptual bridge between the anomalous transport phenomena of high-energy physics and the emergent electronic properties of engineered honeycomb lattices. The central objective is the formulation of a low-energy effective Hamiltonian that incorporates the necessary ingredients for a CME-like effect. This is achieved by moving beyond pristine graphene, whose inherent sublattice symmetry precludes the formation of a mass gap necessary for defining robust pseudo-chiral states. The core of this work is a model based on a honeycomb lattice with explicitly broken sublattice symmetry, which introduces a band gap and endows the quasi-particles system with a well-defined pseudo-chirality based on sublattice polarization. A time-reversal symmetry-breaking parameter is introduced to asymmetrically modify the valley gaps, creating a controllable non-equilibrium imbalance analogous to the chiral chemical potential in relativistic systems. A key finding is the validation of the physical model consistency; through commutator calculations, the total angular momentum - comprising both orbital and an emergent lattice spin component - is shown to be a conserved quantity. This research successfully transforms the abstract possibility of a 2D CME into a concrete, self-consistent theoretical framework, detailing the precise symmetry conditions required for its manifestation.
The exponential growth of edge artificial intelligence demands material-focused solutions to overcome energy consumption and latency limitations when processing real-time temporal data. Physical reservoir computing (PRC) offers an energy-efficient paradigm but faces challenges due to limited device scalability and reconfigurability. Additionally, reservoir and readout layers require memory of different timescales, short-term and long-term respectively - a material challenge hindering CMOS-compatible implementations. This work demonstrates a CMOS-compatible ferroelectric transistor using hafnium-zirconium-oxide (HZO) and silicon, enabling dual-memory operation. This system exhibits non-volatile long-term memory (LTM) from ferroelectric HZO polarization and volatile short-term memory (STM) from engineered non-quasi-static (NQS) channel-charge relaxation driven by gate-source/drain overlap capacitance. Ferroelectric polarization acts as non-volatile programming of volatile dynamics: by modulating threshold voltage, the ferroelectric state deterministically switches the NQS time constant and computational behavior between paired-pulse facilitation (PPF) and depression (PPD). This establishes a generalizable material-design principle applicable to diverse ferroelectric-semiconductor heterostructures, extending beyond silicon to oxide semiconductors and heterogeneously-integrated systems. The device solves second-order nonlinear tasks with 3.69 x 10^-3 normalized error using only 16 reservoir states - ~5x reduction - achieving 20 us response time (~1000x faster) and 1.5 x 10^-7 J energy consumption, providing an immediately manufacturable pathway for neuromorphic hardware and energy-efficient edge intelligence.
Although the absorption of light in a bulk homogeneous semiconductor produces photocarriers with non-zero momentum, it generally does not produce a current in the absence of an applied electric field because equal amounts of carriers with opposite momentum are injected. The interference of absorption processes, for example, between one-photon and two-photon absorption, can produce a current because constructive interference for carriers with one momentum can correspond to destructive interference for carriers with the opposite momentum. We show that for the interference between two-photon and three-photon absorption, the current has a narrower angular spread, i.e., a ``beam'' of electrons in a specified direction is produced in the semiconductor.
This paper presents a rigorous proof that arbitrarily weak perturbations produce localized vibrational (phonon) modes in one- and two-dimensional discrete lattices, inspired by analogous results for the Schr{ö}dinger and Maxwell equations, and complementing previous explicit solutions for specific perturbations (e.g., decreasing a single mass). In particular, we study monatomic crystals with nearest-neighbor harmonic interactions, corresponding to square lattices of masses and springs, and prove that arbitrary localized perturbations that decrease the net mass lead to localized vibrating modes. The proof employs a straightforward variational method that should be extensible to other discrete lattices, interactions, and perturbations.
2511.03510We derive a repulsive, charge-dipole-like interaction for a Dirac particle in a rotating frame, arising from a geometric $U(1)$ gauge symmetry associated with the Berry phase. The Lagrangian of this system includes a non-inertial correction due to centrifugal field coupling. By imposing gauge symmetry and treating it as a full gauge theory, the Lagrangian is extended to include Berry connection and curvature terms. Upon integrating out the geometric gauge field, the effective action is obtained. This leads to the emergence of a repulsive, long-range effective interaction in the Lagrangian. Explicitly, in the non-inertial frame of the observer, the geometric gauge invariance effectively leads to a repulsive Coulomb-interaction in momentum space. In real space, the inertial repulsion manifests in a $1/\vert r\vert^{2}$ potential, which is symmetric about the origin of rotation and mirrors charge-dipole interaction.
Among the variety of quantum emitters in hexagonal boron nitride (hBN), blue-emitting color centers, or B centers, have gathered a particular interest owing to their excellent quantum optical properties. Moreover, the fact that they can be locally activated by an electron beam makes them suitable for top-down integration in photonic devices. However, in the absence of a real-time monitoring technique sensitive to individual emitters, the activation process is stochastic in the number of emitters, and its mechanism is under debate. Here, we implement an in-situ cathodoluminescence monitoring setup capable of detecting individual quantum emitters in the blue and ultraviolet (UV) range. We demonstrate that the activation of individual B centers is spatially and temporally correlated with the deactivation of individual UV centers emitting at 4.1 eV, which are ubiquitous in hBN. We then make use of the ability to detect individual B center activation events to demonstrate the controlled creation of an array with only one emitter per irradiation site. Additionally, we demonstrate a symmetric technique for heralded selective deactivation of individual emitters. Our results provide insights into the microscopic structure and activation mechanism of B centers, as well as versatile techniques for their deterministic integration.
The design of a mouldboard (MB) plough is critical for achieving efficient soil inversion, which directly impacts soil aeration, weed control, and overall agricultural productivity. In this work, a design modification of the cylindroid-shaped MB plough is proposed, focusing on optimizing its surface profile to enhance performance. The discrete element method is used to simulate the ploughing process and evaluate the performance of the modified plough profile. The modified plough profile is compared against a previously proposed design to assess its impact on soil inversion efficiency, wear reduction, and stress distribution. A novel methodology is introduced to evaluate the plough's performance in soil inversion. The modified design demonstrates superior soil inversion efficiency, with improvements of up to $32.95\%$ in the inversion index for different velocities. The modified design achieves a notable reduction in wear up to $23.7\%$, compared to the original design. Although a slight increase in stress is observed in the modified design due to higher forces, the induced stresses remain well within the permissible limits for the plough material. Overall, the findings highlight the advantages of the modified plough design, including enhanced soil inversion efficiency and reduced wear, underscoring its potential for improved performance in tillage applications. However, the current study is limited to simulation-based analysis without experimental or field validation. Future work will focus on full-scale physical experiments to validate the simulation outcomes and incorporate additional factors such as depth-dependent moisture, soil cohesion, and multi-factor wear models for improved predictive accuracy.
Efficient thermal management is critical for cryogenic CMOS circuits, where local heating can compromise device performance and qubit coherence. Understanding heat flow at the nanoscale in these multilayer architectures requires localized, high-resolution thermal probing techniques capable of accessing buried structures. Here, we introduce a sideband thermal wave detection scheme for Scanning Thermal Microscopy, S-STWM, to probe deeply buried heater structures within CMOS dies. By extracting the phase of propagating thermal waves, this method provides spatially resolved insight into heat dissipation pathways through complex multilayer structures. Our approach enables quantitative evaluation of thermal management strategies, informs the design of cryo-CMOS circuits, and establishes a foundation for in situ thermal characterization under cryogenic operating conditions.
In this work, we investigate the bi-isotropic effects in the formation and tunability of hybrid surface polaritons in bilayer configurations. We consider a heterostructure composed of a medium with bi-isotropic constitutive relations and an AFM layer. Using the transfer matrix formalism, we derive general expressions for the dispersion relations of surface polaritonic modes, including the dependence on the bi-isotropic parameter, and analyze their coupling to bulk magnon-polaritons. As an illustration of application, we consider a heterostructure formed with Bi$_{2}$Se$_{3}$ interfaced with antiferromagnetic (AFM) materials that support terahertz-frequency magnons, specifically Cr$_{2}$O$_{3}$ and FeF$_{2}$. In the strong bi-isotropic coupling regime, the surface Dirac plasmon--phonon--magnon polariton (DPPMP) dispersion undergoes a pronounced redshift, accompanied by suppression of the characteristic anticrossing between the Dirac plasmon and the phonon. This effect, observed in all AFM materials considered, suggests a weakening of the hybrid interaction, possibly due to saturation or detuning mechanisms induced by increased $α$. Furthermore, increasing the Fermi energy of the topological insulator enhances the surface plasmon and phonon contributions, inducing a blueshift of the DPPP branches and bringing them closer to resonance with the magnon mode, thereby increasing the hybridization strength. Intriguingly, this redshift partially compensates the blueshift induced by a higher Fermi level, restoring the system to a weak-coupling regime analogous to that observed at lower Fermi energies. Our findings reveal that both the Fermi level and the bi-isotropic response offer independent and complementary control parameters for tuning the strength of light--magnon coupling in TI/AFM heterostructures, with potential implications for reconfigurable THz spintronic and photonic devices.
We theoretically predict the interaction between polaritonic excitations arising from the coupling of a cavity photon mode with bound to continuum intersubband transitions in a doped quantum well. The resulting exciton bound by photon exchange, recently demonstrated experimentally, exhibits a binding energy that can be continuously tuned by varying the cavity frequency. We show that polariton-polariton interactions, originating from both Coulomb interactions and Pauli blocking, can be dramatically enhanced by reducing the exciton binding energy, thereby increasing the effective Bohr radius along the growth direction. This regime is reminiscent of Rydberg atoms, where weak binding leads to strong quantum interactions. Our predictions indicate that this physics can give rise to giant quantum optical nonlinearities in the mid and far infrared, a spectral region that remains largely unexplored in quantum optics and offers exciting opportunities for both fundamental studies and applications.
In this work, we develop a potential-based formalism for Maxwell's equations in isotropic media with weak spatial dispersion within the electric quadrupole-magnetic dipole approximation. We introduce an operator form of the constitutive relations along with a modified Lorenz gauge condition, which enables the derivation of decoupled generalized wave equations for electromagnetic potentials. For time-harmonic processes, we derive the representation of general solution for these equations as a combination of solutions to Helmholtz-type equations, whose parameters are determined by both standard and hyper-susceptibilities of the medium. We show that the proposed approach can be extended to more general constitutive relations and it provides a convenient framework for solving various applied problems. Specifically, using a derived closed-form solution for the problem of plane wave incidence on a planar interface, we demonstrate that a correct definition of the Poynting vector within the multipole theory must incorporate quadrupole effects -- an aspect overlooked in some previous works that has led to inconsistent results. We further establish the necessity of accounting for both propagated and evanescent longitudinal components in reflected and transmitted waves. The presence of these components, which follow directly from the general solution for electromagnetic potentials, is essential for satisfying all classical and additional boundary conditions in media with quadrupolar response (e.g., in metamaterials or quadrupolar liquid mixtures). The complete set of these boundary conditions is derived based on the least action principle, ensuring variational consistency with the field equations and generalizing previously known formulations of multipole theory.
In this study, we introduce a design concept that leverages pulse width variation to enable a reconfigurable intelligent surface (RIS) and to autonomously switch reflection properties between two angles without any active control system. Our RIS alters its beam pattern from a singular specular reflection to another unique singular anomalous reflection when the incoming waveform changes from a short pulse to a continuous wave, even at the same frequency. Unlike conventional RISs, our passive control mechanism eliminates the requirements of active components and precise symbol-level synchronization with the transmitting antennas, reducing the system complexity level while offering dynamic material adaptability. We numerically show that the proposed RIS design is capable of varying the received magnitude of an incident wave by a factor of ten, which is also experimentally validated for the first time. Employing binary phase-shift keying (BPSK) modulation, we further report that the communication characteristics can be varied by 7 dB or more, which indicates that the proposed design is not limited to a single frequency component as long as the bandwidth of the given signal is covered by that of the RIS design. These results may present new opportunities for exploring and deploying pulse width-dependent RISs in practical scenarios involving next-generation communication systems.
Waveform-selective metasurfaces offer unprecedented control over electromagnetic waves on the basis of pulse width. However, existing circuit models fail to capture the power-dependent behaviors of these metasurfaces, thereby limiting their use in practical applications. Here, for the first time, we present analytical equivalent circuit models that accurately predict both power- and time-dependent responses by incorporating voltage-dependent diode resistance through the Maclaurin series and Wright omega functions. As a result, the variations in the input power and time domain are effectively predicted theoretically. Moreover, our concept is successfully extended to different types of waveform-selective metasurfaces and increasingly complex scenarios, including repeated pulses and nonresonant frequencies. Thus, our equivalent circuit approach can readily explain and quantify the electromagnetic behaviors of waveform-selective metasurfaces. This strategy provides a high degree of control for addressing complex electromagnetic problems by leveraging pulse width as a tuning parameter, even at a fixed frequency.
We examine excitation suppression in the transverse-field Ising model (TFIM), where finite-time drive across a quantum critical point is assisted by the presence of a time-dependent coupling parameter. While conventional counterdiabatic protocols are designed to eliminate excitations, they often require complex many-body terms that are difficult to realize experimentally. In contrast, our approach employs a local, time-dependent modulation of an existing coupling term in the Hamiltonian. Within the framework of quantum optimal control, we find that under a linear ramp of the transverse field, the optimal evolution of the second parameter follows a non-monotonic trajectory. For the TFIM, this protocol yields higher fidelity and improved robustness against noise compared to several orders of approximate counterdiabatic driving. Furthermore, we provide an analytical demonstration of anti-Kibble-Zurek scaling in the presence of noise acting on either the transverse field or the longitudinal coupling. These results highlight the potential of this approach for developing simple, noise-resilient protocols for finite-time quantum state preparation.
The order parameter of superfluid $^3$He involves nine complex components, and the multicomponent structure allows quantized vortices in superfluid $^3$He to have complicated cores. One of the vortices found in the B phase is the double-core vortex, which has been often described as a pair of two half-quantum vortices (HQVs) connected by a domain wall. Our numerical calculations of the core structure suggest an alternative representation of the vortex as a combination of three vortices, one in each component of the spin-triplet superfluid. Based on the results we present a qualitative analytical model for the triple-core structure of the double-core vortex. Additionally we numerically calculate the structure of a double-core vortex stretched between pinning sites, and show that the HQV picture becomes more applicable when separation between subcores becomes large.
Generation of photocurrent via photon drag effect enables very fast light detection with response time limited by momentum relaxation. At the same time, photon drag in bulk uniform samples is small by the virtue of small photon momentum. We show that the edge of metal gate placed above a two-dimensional electron system (2DES) provides highly non-uniform electromagnetic field that enhances the drag effect. We study the drag photovoltage using an exact solution of diffraction problem for 2DES with semi-infinite metal gate. We show that the only non-trivial dimensionless parameters governing the drag responsivity are the 2DES conductivity scaled by the free-space impedance η and gate-2DES separation scaled by the incident wavelength d/λ0. For radiation with electric field polarized orthogonal to the gate edge, the responsivity is maximized for inductive 2d conductivity with Imη ~ 1 and Reη << 1, and becomes very small for the capacitive 2d conductivity. The electromagnetic ponderomotive force pushes the charge carriers under the gate at arbitrary 2d conductivity, and the force direction is opposite to that at metal-2DES lateral contact. These patterns are explained by the dominant role of gated 2d plasmons in the formation of PDE photovoltage.
We introduce a space-time Floquet operator, a generalization of the conventional Floquet operator, that captures the long-time behavior of space-time crystals - systems where spatial and temporal periodicities are intrinsically intertwined. Unlike the standard Floquet operator, which describes evolution over a full time period, the space-time Floquet operator evolves the system over a fraction of the period, thereby resolving finer details of its dynamics. Its eigenmode spectrum defines a space-time band structure that unfolds conventional Floquet bands to respect the intertwined crystal symmetry in reciprocal wavevector-frequency space. We relate the topology of these space-time bands to quantized transport phenomena, such as Bloch oscillations and adiabatic charge transport, and uncover a fractional version of the latter. We also demonstrate how nonreciprocal parametric resonances are naturally anticipated by our framework. The approach applies broadly to both classical and quantum systems with space-time symmetry, including non-Hermitian crystals.
Controlling the spin degree of freedom of light at the microscale is crucial for advancing photonic information processing. Spin polarized light propagation, combined with strong optical nonlinearities, unlocks new functionalities in compact photonic circuits and active spin optronic devices. Lead halide perovskite exciton polaritons uniquely combine room temperature operation, pronounced nonlinearities, and versatile microstructuring, making them a powerful platform for spin based photonic technologies. Here, we demonstrate polarized edge emission from polariton condensates in perovskite single crystals predesigned into a microwire, forming natural, DBR free cavity. Above threshold, we observe a distinct waveguiding optical spin Hall effect pattern in both real- and reciprocal-space emission, accompanied by pseudospin phase locking arising from coherence between opposite edges. Beyond static polarization textures, we achieve spin-resolved polariton edge lasing with chirality exceeding 80\% and spin-polarized signal propagation over tens of micrometres. These results establish CsPbBr3 waveguides as a promising easy to fabricate platform for on chip spin coded information transport and nonlinear spin optoelectronics.
In crystalline systems with a superstructure, the electron dispersion can form a nontrivial covering of the Brillouin zone. It is proved that the number of sheets in this covering and its monodromy are topological invariants under ambient isotopy. As a concrete manifestation of this nontrivial topology, we analyze three-sublattice models for 120$^\circ$-ordered helimagnets in one, two, and three dimensions. The two-dimensional system exhibits unconventional $f$-wave magnetism and a specific topological metal state characterized by a spin-textured, one-sheeted Fermi surface. The observable transport signatures of the topological metal and its potential experimental realization are briefly discussed.