Theoretical particle physics, extensions of Standard Model, predictions for experiments.
Looking for a broader view? This category is part of:
Considering $Z_4$ symmetry in Type I seesaw scenario, one could obtain mass-squared differences of light neutrinos, mixings and $CP$ violating phase within $3 σ$ confidence level based on neutrino oscillation data. This is possible with only three independent complex parameters for allowed Yukawa couplings and one real mass parameter for heavy right handed neutrino fields around electroweak scale. After considering only three more real parameters as coming from small soft-symmetry breaking terms, the lightest right handed neutrino could be considered as dark matter candidate via freeze-in mechanism and the other two heavier right handed neutrinos through their decays, could generate the baryonic asymmetry of the universe naturally via resonant leptogenesis.
We extend a recently developed Big Bang Nucleosynthesis (BBN) code, {\tt PRyMordial}, to constrain a broad class of Grand Unified Theories to which BBN is sensitive, since these lead to varying fundamental couplings. A previously developed self-consistent perturbative analysis of the effects of these variations has been implemented in {\tt PRyMordial}, leading to robust constraints of the value of the fine-structure constant, $α$, at the BBN epoch using current observations of Helium-4 and Deuterium abundances. We explored two different viable scenarios, relying on alternative assumptions on the gravitational sector: the variation of the gravitational coupling can be implemented by varying either particle masses, or Newton's gravitational constant. For the variation of masses, we obtained at $68\%$ confidence level a constraint on the relative variation of $α$, between the BBN epoch and the present-day laboratory value, of $Δα/α=2\pm51$ ppm (parts per million), while for the variation of Newton's constant the analogous constraint is $Δα/α=2\pm22$ ppm. We also show that, given these constraints, these models do not provide a solution to the cosmological Lithium problem.
We present a comprehensive Bayesian study of the $B_c$ meson spectrum using non-relativistic Cornell and logarithmically modified Cornell potentials, introducing the logarithmic term as the minimal deformation that preserves short-range Coulombic and long-range linear confinement while adding controlled flexibility at intermediate distances to probe the sensitivity of higher excited states to the confining form. Model parameters are sampled via Markov chain Monte Carlo (MCMC), enabling rigorous propagation of correlated uncertainties to all predictions. Spin-dependent interactions are treated perturbatively, with unequal heavy-quark masses accounted for consistently. Both potentials reproduce the known states within uncertainties, with small errors for low-lying states that grow for higher radial and orbital excitations. Analyzing radial and orbital Regge trajectories using linear and nonlinear parametrizations, we observe pronounced nonlinearity for low $S$-waves trending toward linearity at higher excitations. The modified potential yields modest, systematic shifts in higher excited states, reflecting the logarithmic correction's impact. We provide updated theoretical predictions for excited $B_c$ states with uncertainties, serving as benchmarks for ongoing and future experiments.
In the present work, we systematically investigate the meson-baryon molecular properties of the hidden charm pentaquark states $P_c$ and $P_{cs}$ within a coupled channel framework that combines heavy quark spin symmetry and the local hidden gauge formalism. By solving the Bethe-Salpeter equation with the momentum cutoff method, we obtain the pole trajectories, wave functions, and root-mean-square radii. For the hidden charm system, the full coupled channel interactions respecting the heavy quark spin symmetry are essential to generate the $P_c$ states, as they significantly affect the poles' widths. The dominant bound channels are $\bar{D} Σ_c$ and $\bar{D}^* Σ_c$, which couple strongly to lower decay channels. In contrast, for the hidden charm strange system, the full heavy quark spin symmetry treatment is not necessary, where the splitting PB and VB sectors yield similar results. The main bound channels $\bar{D} Ξ_c$ and $\bar{D}^* Ξ_c$ couple strongly to $\bar{D}_s Λ_c$ and $\bar{D}_s^* Λ_c$, respectively, but only weakly to the lower decay channels, differing from the hidden charm case. The trajectories of the pole widths for the loosely bound channels $\bar{D} Ξ'_c$, $\bar{D}^* Ξ'_c$, and $\bar{D}^* Ξ_c^*$ exhibit distinct behaviors. Notably, all the primary bound channels have similar binding energies in the single channel interactions due to equally attractive potentials. Furthermore, we also calculate the wave functions and root-mean-square radii of the corresponding poles. The wave functions are localized within $0\sim 6$ fm and vanish fast beyond $4$ fm. The root-mean-square radii, evaluated by two consistent methods, typically lie between $0.5$ and $2$ fm, comparable to the characteristic scale of molecular states.
We present a constituent two-gluon description of the lowest-lying glueball states in pure Yang--Mills theory, calibrated against quenched lattice results. The framework incorporates an instanton-induced dynamical gluon mass, Casimir-scaled adjoint confinement, the short-distance adjoint Coulomb interaction, and instanton-induced central and tensor forces. The scalar $0^{++}$ glueball is found to be exceptionally compact, with a radius of order the instanton size, $ρ\sim \frac 13\,\mathrm{fm}$, consistent with lattice indications. By contrast, the tensor $2^{++}$ state remains spatially extended due to the centrifugal barrier. We also discuss the role of $S$-$D$ mixing. A semiclassical analysis further supports Regge behavior for excited states, in agreement with lattice results.
This document summarizes the discussions at the program "Precision QCD with the Electron Ion Collider", held from May to June 2025 at the Institute for Nuclear Theory (INT) at the University of Washington. The program was co-sponsored by the INT and by the Center for Frontiers in Nuclear Science (CFNS, Stony Brook University). Over its five-week duration it brought together about 70 theorists, experimentalists and computer scientists all interested in the physics program at the future Electron Ion Collider in preparation at Brookhaven National Laboratory. Key topics at the program were: higher-order perturbative-QCD calculations and techniques; nuclear structure and tomography; comparisons of phenomenological and lattice determinations of parton distribution functions; identification of signature observables for saturated gluons; assessment of the importance of AI techniques for EIC studies and detector development.
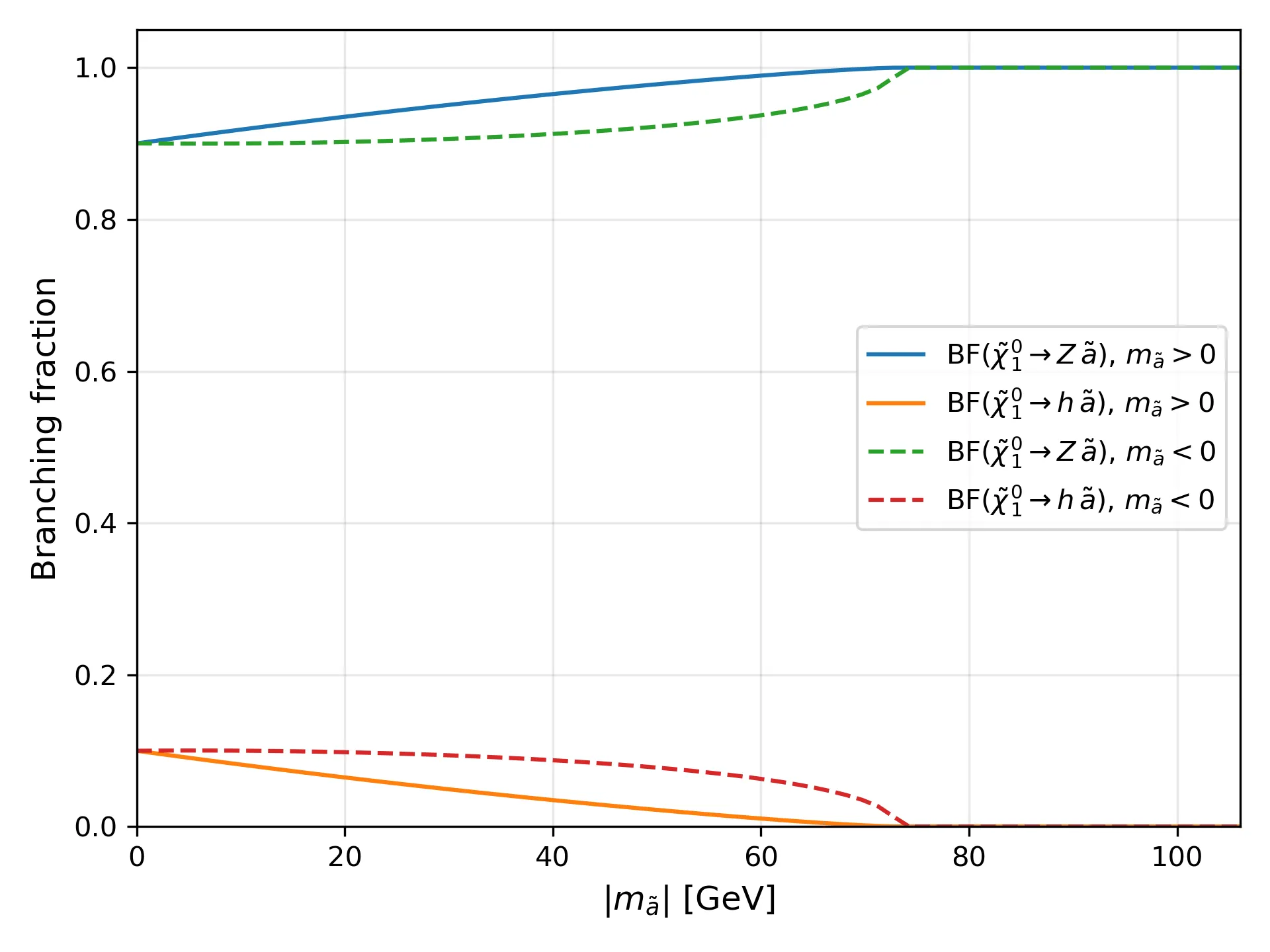
While supersymmetric models provide a solution to the big hierarchy problem, natural SUSY is also allowed by the little hierarchy problem. In supersymmetric models which include the Peccei-Quinn (PQ) solution to the strong CP problem, one expects the presence of an axion-axino-saxion supermultiplet with a micro-eV-scale axion and a saxion with mass of order the soft breaking scale. The axino mass is much more model-dependent, and may occur in the range of keV-TeV: over 9 orders of magnitude. This leads to the possibility of the axino as lightest SUSY particle (LSP) and the presence of mixed axion plus axino dark matter. The case of natural SUSY with higgsino-like WIMPs as LSP seems (nearly) excluded by multi-ton noble liquid WIMP detector limits, even in the case where the LSP has a depleted abundance compared to axions. We examine the case where the axino is LSP leading to mixed axion-axino dark matter in a natural SUSY context. We map out regions of PQ scale f_a vs. axino mass m_{\ta} parameter space where such a scenario remains viable in both the SUSY DFSZ and KSVZ axion models. For axino mass ~100 keV, we find solutions in accord with the measured dark matter abundance with mainly warm axino dark matter for f_a~ 10^{11} GeV and also solutions with mainly axion cold DM and a tiny axino contribution for higher f_a~ 3\times 10^{12} GeV.
It is shown that a duplication of the hypercharge, which is identical for the normal sector but different for the dark sector, may manifestly address neutrino mass and dark matter.
In recently proposed framework of non-holomorphic modular symmetry introduces the concept of negative and zero modular weight of Yukawa couplings. These Yukawa couplings are function of complex modulus $τ$, which is responsible for the CP asymmetry produced during leptogenesis. In this work, we restrict the $τ$ on the fixed points of modular symmetry rather than its fundamental domain in such manner Yukawa couplings are also get fixed. We have adopt this framework and propose a type III seesaw mechanism. The model is tested against neutrino oscillation data through a $χ^2$ analysis using NuFIT~6.1. To test the stability of these predictions, we also analyze regions near each fixed point by introducing a deviation $τ\rightarrow τ_{\rm fixed}(1 + εe^{iφ})$ with $ε\in (0,0.1)$ and $φ\in (-π,π)$. Our results show that certain fixed points, along with their nearby regions, are capable of producing viable neutrino phenomenology while also generating the observed baryon asymmetry of the Universe.
Compact astrophysical objects, such as neutron stars, can provide a unique environment where the interplay between strongly interacting nuclear matter and dark matter (DM) can yield possible observable signatures. We investigate here the impact of fermionic DM interacting with nucleons via a vector mediator ($Z^\prime$) portal inside neutron stars using the relativistic mean field (RMF) framework. Unlike scalar portal DM models, which primarily modify the effective nucleon mass through scalar interactions, vector mediators introduce additional repulsive interactions that directly affect the baryonic chemical potential and the pressure of dense matter. We show that the precise measurements of neutron star properties, including the mass radius relation and tidal deformability from gravitational wave observations, X-ray and radio observations of pulsars, can shed light on properties of DM. We study the gross structural properties of a neutron star using the Tolman Oppenheimer Volkoff (TOV) equations, employing an equation of state (EOS) for neutron star matter in the presence of vector portal-assisted DM. The resulting stellar configurations consistent with observational bounds from gravitational wave observations in LIGO/Virgo, and X-ray observations of pulsars in NICER, are shown to constrain the vector portal DM parameters. It is observed that, while large portal mass can soften the EOS of the DM admixed neutron star matter, the light portal mass can make the EOS stiffer at large densities resulting in distinct mass-radius relation and the tidal deformability between the two scenarios. The vector portal DM scenario, with DM interaction with quarks via $Z^\prime$ vector boson, can establish a direct connection to terrestrial searches, including direct and indirect detection and collider searches for the $Z^\prime$ boson.
We study oscillon/I-ball solutions in a real scalar version of the Friedberg-Lee-Sirlin (FLS) model. Using the two-timing analysis, we derive the conditions for oscillon solutions and explore multi-field oscillon configurations. In these configurations, the two fields form co-located oscillons that oscillate with frequencies set by their respective masses. These multi-field oscillons can be viewed as a bound state of two oscillons due to attractive interactions between the fields. We confirm these analytical predictions through numerical lattice calculations. This work extends the standard picture of single-field oscillons and may be relevant for cosmological scenarios involving multiple interacting real scalar fields.
We propose a novel mechanism in which leptonic CP-violating phases are generated dynamically through the radiative breaking of non-invertible selection rules. In this framework, tree-level mass matrices, initially constrained by a CP-like symmetry within a non-invertible structure, acquire flavor-dependent phases once loop corrections are incorporated. Furthermore, these corrections can also generate mass terms, thereby addressing the mass hierarchy problem. As an illustrative example, we employ the Inverse Seesaw (ISS) model to demonstrate how the Majorana mass of the light sterile neutrino $N_L$ arises via this mechanism while simultaneously realizing CP violation. Although our analysis is carried out within the ISS framework, the mechanism has broader implications, potentially offering new perspectives on CP-related problems such as the strong CP problem, leptogenesis, and baryogenesis. This work thus establishes a foundation for exploring the dynamical breaking of non-invertible selection rules as a novel origin of CP violation in particle physics.
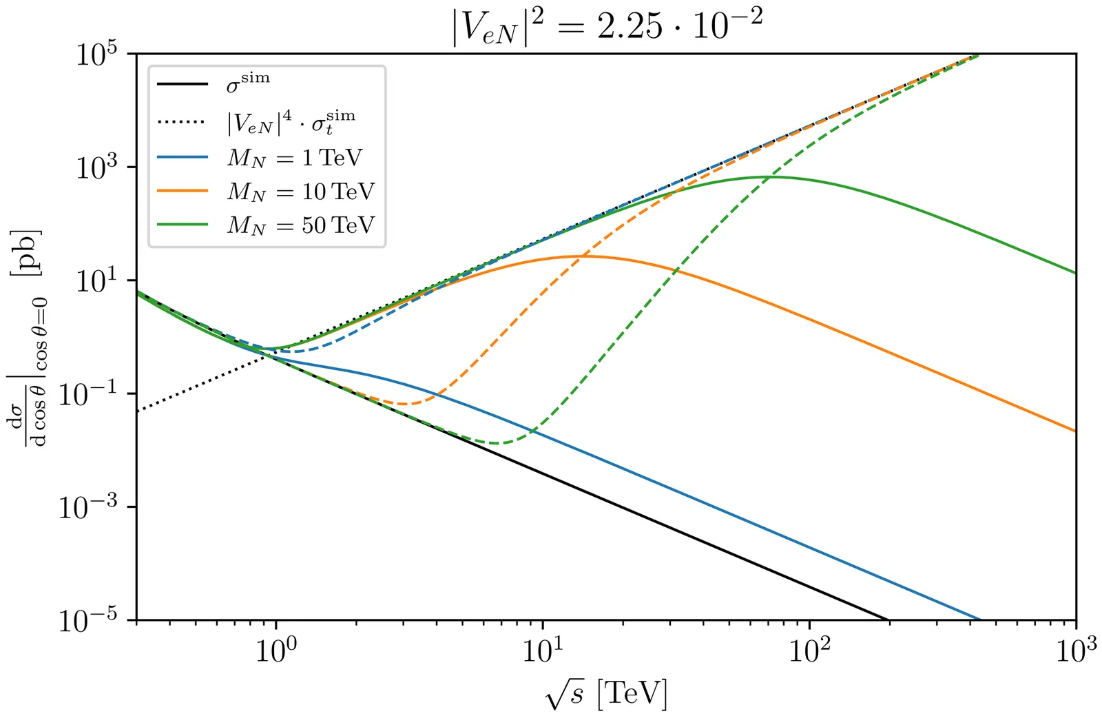
We study the process $e^+e^- \to W^+W^-$ with the aim of estimating the prospects for observing heavy neutrinos contributions at future $e^+e^-$-colliders. In this work, we consider two implementations of heavy-light neutrino mixing: a linearized mixing approximation applied in popular models and an exact unitary mixing scheme. We conclude that the approximate realization leads to physically incorrect results for this process, while exact unitary mixing provides some signatures that can be experimentally checked.
We investigate the thermal properties of the $Y(4500)$ state within the framework of thermal QCD sum rules, assuming a $D_s \bar{D}_{s1}$ molecular configuration with $J^{PC}=1^{--}$. The analysis is performed at both zero and finite temperatures, employing the operator product expansion up to dimension-5 condensates. The Borel window and continuum threshold are carefully selected to ensure OPE convergence and pole dominance. As the temperature approaches the deconfinement temperature $T_c$, the $Y(4500)$ undergoes significant medium modifications: its mass decreases by $29\%$ and its decay constant is suppressed by $94\%$ relative to their vacuum values, while the decay width increases by $35\%$, signaling the dissociation of the state in the medium. These results indicate that the $Y(4500)$ becomes unstable near $T_c \approx 155~\mathrm{MeV}$, consistent with its melting into the quark-gluon plasma. The obtained thermal spectral parameters may serve as signatures for identifying the $Y(4500)$ in heavy-ion experiments at RHIC and LHC, and provide predictions for sequential suppression patterns in the exotic hadron sector.
2604.04049We study the contribution of double parton scattering (DPS) to the associated production of $J/ψ$ mesons and photons with large transverse momenta in proton-proton collisions. Cross sections are computed within high-energy factorization using the Parton Reggeization Approach (PRA). We used two frameworks for hadronization of the $c\bar c$ pair into charmonium: nonrelativistic QCD (NRQCD) and the improved color evaporation model (ICEM). Hadronization model parameters are fixed using single $J/ψ$ production experimental data from the CMS and ATLAS collaborations at the Large Hadron Collider (LHC). We show that the DPS contribution significantly exceeds the single parton scattering (SPS) contribution and that theoretical predictions are strongly sensitive to the choice of hadronization model. We made predictions for various differential cross sections and correlation spectra for the associated $J/ψ$ and photon production at $\sqrt{s}=13$ TeV.
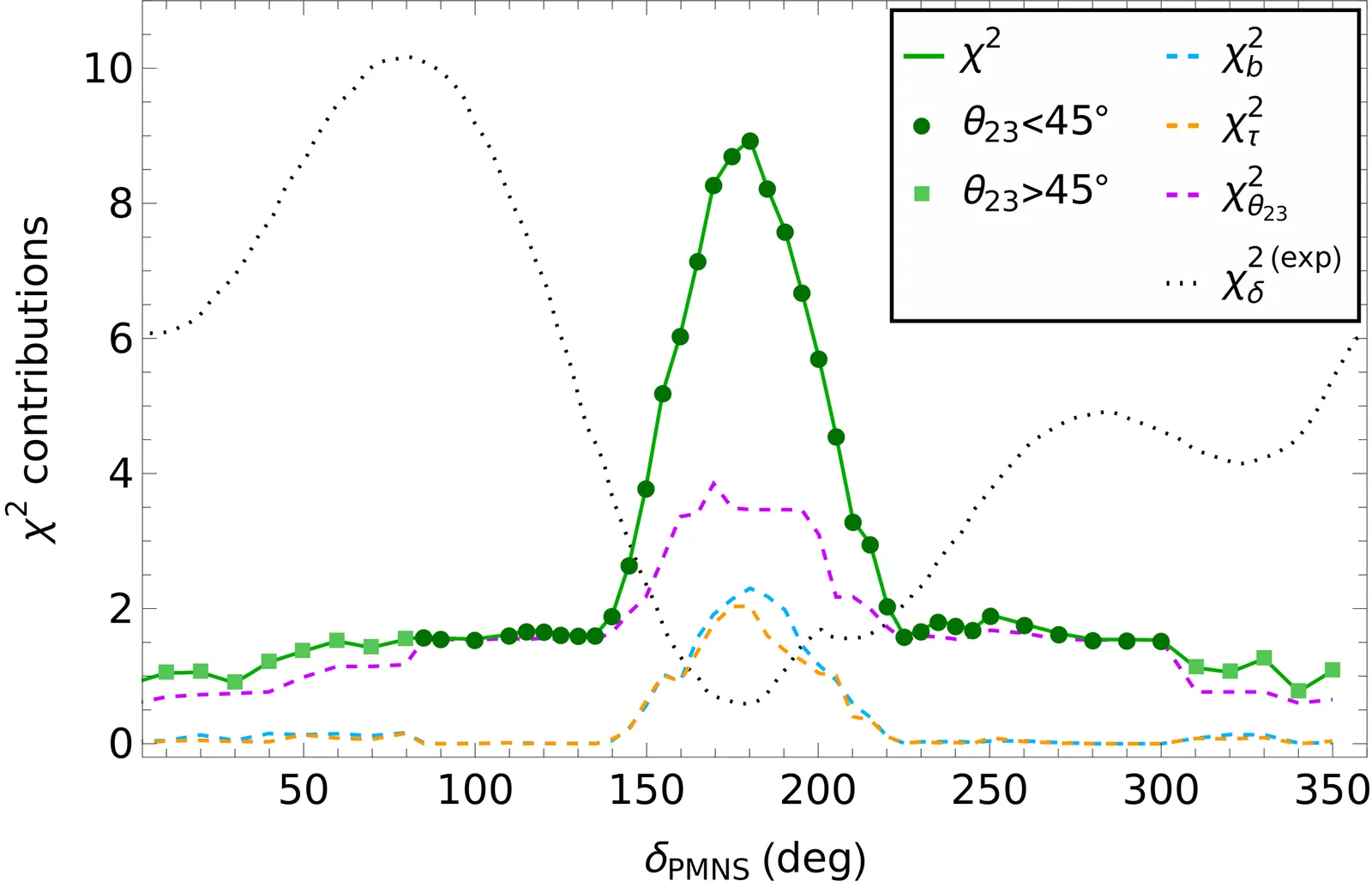
We investigate the minimal Yukawa sector of grand unified theories based on $\mathrm{SO}(10)$ symmetry, consisting of a Higgs structure with representations $\mathbf{10}_{\mathbb{R}}\oplus \mathbf{120}_{\mathbb{R}}\oplus\mathbf{126}$. In this framework, where $\mathbf{10}_\mathbb{R}$ and $\mathbf{120}_{\mathbb{R}}$ are real scalars, we derive the associated $\mathrm{SO}(10)$ reality conditions for their weak-doublet constituents -- both by explicit computation and an analytic reframing into a Pati-Salam-like description -- to revisit previously reported fermion mass relations. Our analysis revises these earlier results, in particular by introducing a relative sign difference between the reality constraints on the two weak doublets in $\mathbf{120}_{\mathbb{R}}$, yielding a new parameter (a magnitude) in the fermion mass relations. Our formalism is fully general and provides a systematic framework for deriving Clebsch-Gordan coefficients and implementing reality constraints for arbitrary parent-daughter representation pairs of $\mathrm{SO}(10)$ and its Pati-Salam subgroup. Incorporating these corrections, we perform an extensive numerical scan of the parameter space and find that the model successfully reproduces SM fermion masses and mixings, including recent precision measurements of solar oscillation parameters by JUNO. It accommodates both octants of $θ_{23}$ while mildly disfavoring $δ_\mathrm{PMNS}\sim (140^\circ,220^\circ)$. The model predicts a strongly hierarchical right-handed neutrino spectrum $(10^{5},10^{12},10^{15})$ GeV and a neutrinoless double beta decay parameter $m_{ββ}\sim 3$-$4$ meV, just below future experimental sensitivity. Proton decay is dominated by $p\toπ^+\overlineν$ and $p\toπ^0 e^+$, making these channels testable in upcoming experiments.
The asymmetry between matter and antimatter demands a cause as simple as it is profound. Here we show that a single geometric principle Chiral-Time Equivalence (CTE)-suffices to generate and correlate the required CP violation with the time orientation of the cosmos. Promoting the Immirzi parameter to a pseudoscalar Nambu-Goldstone field $Φ$, CTE fixes the leading operators: a shift-symmetric derivative portal $((\partial_μΦ)J^μ_{B-L}/M_*)$ that acts as a dynamical chemical potential in FRW, and a topological term $(Φ\,R\tilde R)$ that imprints parity on tensor modes. In thermal equilibrium this structure produces gravity-assisted leptogenesis, whose magnitude is set at the decoupling temperature by susceptibilities rather than by tuned departures from equilibrium. A fully flavored Boltzmann network with curvature sources captures flavor transfer and washout, while slow-roll and resonant regimes are established via thermodynamic and Kubo formulas. Consistency is secured by an EFT analysis (stability, perturbative unitarity, and BBN safety), and by explicit elimination of EC torsion and control of dCS birefringence in the small-coupling domain. The most striking prediction is a sign locking among $η_B$, tensor chirality $χ_T$, and the drift of $Φ$, together with a tri-observable relation that ties $η_B$ to cosmic birefringence $Δα$ and $χ_T$. Thus a single, symmetry-protected geometric origin renders the baryon excess testable by TB/EB correlations and stochastic-wave chirality, and calculable within a minimal, ultraviolet-anchored effective theory.
Temporal offsets between Gamma-Ray Bursts (GRBs) and high-energy neutrinos provide a useful probe of propagation effects in extreme astrophysical environments. We investigate whether such offsets can be generated by photon propagation through dense axion clouds gravitationally bound to magnetars. Working within the Euler-Heisenberg effective theory extended by the axion sector, we derive the modified photon dispersion relations in the presence of a strong magnetic background and an oscillating axion field. We show that axion-photon mixing turns the magnetized vacuum into an anisotropic birefringent medium, leading to geometry-dependent deviations from luminal propagation and kinematic time delays that reach $Δt_{\perp}\simeq1.33\times10^{-12}\,\mathrm{s}$ for orthogonal propagation. Although this effect is many orders of magnitude larger than the delays expected in diffuse astrophysical backgrounds, it remains far too small to account for the macroscopic offsets discussed in current multimessenger candidates. We further show that the same birefringent medium constrains the survival of the intrinsic linear polarization of prompt GRB emission, yielding the environmental bound $g_{aγγ}\lesssim6.02\times10^{-14}\,\mathrm{GeV}^{-1}$ for benchmark magnetar-scale parameters and axion masses near $m_a\sim10^{-4}\,\mathrm{eV}$. Magnetar-hosted axion clouds thus emerge as complementary environments in which dispersive transport and polarimetric observables jointly probe axion electrodynamics.
The inflaton equation of motion including one loop radiative corrections from spectator fields is obtained. We consider a massless scalar conformally coupled to gravity and a massless fermion Yukawa coupled to the inflaton as models for spectators that \emph{do not feature} gravitational particle production, their production during slow roll is solely a consequence of their coupling to the inflaton. The one-loop self energy and the fully renormalized equation of motion of the inflaton are obtained and solved explicitly for an inflaton potential $m^2\varphi^2/2$. The solution features Sudakov-type logarithmic secular terms, which are resumed via the dynamical renormalization group and compared to the solutions with a phenomenological friction term. During $N_e$ e-folds of slow roll inflation the inflaton evolves as $\varphi^{(0)}_{Isr}(t)\,e^{\frac{m^2Γ}{9H^3}\,N_e(t)}$ for the phenomenological friction term $Γ$ and $\varphi^{(0)}_{Isr}(t)\,e^{ΥN^2_e}$ with $Υ= -\frac{λ^2}{24π^2 H^2} ; \frac{y^2_R}{12π^2}$ for the radiative corrections from bosonic and fermionic spectators respectively where $\varphi^{(0)}_{Isr}(t)$ is the slow roll solution in absence of interactions, showing that a phenomenological friction term is not reliable. A generalization of the optical theorem to a finite time domain and cosmological expansion is introduced to obtain the distribution function $f(k,t)$ and total number of spectators produced \emph{during slow roll}. $f(k,t)$ is peaked at superhorizon scales and the total number of particles grows $\propto e^{3N_e}$. A non-perturbative mean field theory is introduced to describe the self-consistent evolution of the inflaton coupled to spectators, its linearized version reproduces the self-energy, the inflaton equation of motion and the results on particle production.
The phase diagram of QCD at finite temperature and density is discussed. Large numbers of quark colors, $N_{\rm c} >> 1$, is used to explain generic features of the phase diagram. For temperatures below $ T \le 160$~MeV at zero baryon number density, the three dimensional string model is shown to describe the thermodynamics of QCD, and as well, the integrated spectrum of non-Goldstone mesons and glueballs. The lowest mass state in the spectrum of the open and closed string is treated separately due to the tachyon problem of string theory. This is with no undetermined free parameters. It is argued that there are at least three phases at zero baryon number density characterized by the $N_{\rm c}$ dependence of extensive thermodynamic quantities. It is also argued that the intermediate phase has restored chiral symmetry. At high baryon number density and low temperature, again there are three phases. A Quarkyonic phase, with energy density of order $N_{\rm c}$, is distinguished from its counterpart at low baryon density and temperature by its chiral properties.