High Energy Physics - Theory
Formal aspects of quantum field theory, string theory, supersymmetry, mathematical physics aspects of particle physics.
Looking for a broader view? This category is part of:
Formal aspects of quantum field theory, string theory, supersymmetry, mathematical physics aspects of particle physics.
Looking for a broader view? This category is part of:
2601.04162The magic triangle due to Cvitanović and Deligne--Gross is an extension of the Freudenthal--Tits magic square of semisimple Lie algebras. In this paper, we identify all 2d rational conformal field theories associated to the magic triangle. These include various Wess--Zumino--Witten (WZW) models, Virasoro minimal models, compact bosons and their non-diagonal modular invariants. At level one, we find a two-parameter family of modular linear differential equation of fourth order whose solutions produce the affine characters of all elements in the magic triangle. We find a universal coset relation for the whole triangle which generalizes the dual pairs with respect to $(E_8)_1$ in the Cvitanović--Deligne exceptional series. This leads to the dimension and degeneracy of each primary field and also to five atomic models which constitute all theories in the triangle. At level two, we find a special row of the triangle -- the subexceptional series has novel $N=1$ supersymmetry, and the Neveu--Schwarz/Ramond characters satisfy a one-parameter family of fermionic modular linear differential equations. Moreover, we find many new coset constructions involving WZW models at higher levels.
Freelance holography program is an extension of gauge/gravity correspondence, where the gravity theory is defined on a portion of AdS with an arbitrary timelike boundary, with any desired boundary conditions. It is also known that gauge/gravity correspondence admits a fluid/gravity correspondence limit, where the gauge theory side is well described by a fluid. In this work, combining the two, we work through ``freelance fluid/gravity''. In particular, we study in detail the 2d fluid (3d Einstein gravity) case, where one has a good analytical control over the bulk equations due to their integrability and absence of viscosity in the 2d fluid. We study consistency and validity requirements for the freelance fluid/gravity and how the fluid changes along the renormalization group (RG) flow. We prove the $v_g$-theorem, stating that the group velocity of fluid waves $v_g$ is a decreasing function as we move toward the infrared region along the RG flow, regardless of the adopted boundary conditions. We also study examples of holographic fluid with various asymptotic boundary conditions.
These notes are based on lecture courses I gave to third year mathematics students at Cambridge. They could form a basis of an elementary one--term lecture course on integrable systems covering the Arnold-Liouville theorem, inverse scattering transform, Hamiltonian methods in soliton theory and Lie point symmetries. No knowledge beyond basic calculus and ordinary differential equation is assumed.
It is a common belief that any relativistic nonlocal quantum field theory encounters either the problem of renormalizability or unitarity or both of them. It is also known that any local relativistic quantum field theory (QFT) possesses the CPT symmetry. In this Letter we show that a previously proposed nonlocal Lorentz invariant QFT, which violates the CPT theorem, is both renormalizable and unitary, thus being a first presented example in the literature of such a nonlocal theory. The theory satisfies the requirement of causality as well. A further generalization of such a nonlocal QFT to include the gauge theories is also envisaged. In particular, dressing such a Standard Model with a CP violating phase, will make the theory satisfying most of the necessary criteria to finally explain the baryon asymmetry of the universe by a viable QFT. As for the necessity of baryon number violation, there are hopefully several possibilities such as by GUT and electroweak baryogenesis, leptogenesis or sphalerons.
We investigate the Chern-Simons-like formulation of 3D MMG-like massive gravity models that are "third-way consistent". Building on previous work on exotic massive gravities, we analyze a class of MMG-like theories characterized by a specific parity structure and an auxiliary field hierarchy. Focusing on the simplest non-trivial case, we solve the full set of field equations, determine the AdS background solutions, compute the central charges of the dual CFT, and perform a linearized analysis to obtain the mass spectrum. Along the chiral line, the linearized mass operator develops a rank-2 Jordan block, signaling logarithmic behavior of massive modes in the dual two-dimensional CFT. At a special degenerate point, this structure is enhanced to a rank-3 Jordan block, giving rise to two logarithmic partners and an ultra-logarithmic sector in the boundary theory.
2601.03879Utilising the symmetry constraints of suitable topological defects, the possible RG flows of N=1 superconformal minimal models are studied. We first employ a coset description that only captures the bosonic subalgebra, and then generalise the discussion to the actual superconformal models.
The non-relativistic string spectrum is built from integer-spaced energy quanta in such a way that the high-temperature asymptotics, via the Hardy-Ramanujan formula for integer partitions, reduces to standard two-dimensional thermodynamics. Here we explore deformed realizations of this behavior motivated by $p$-adic string theory and Lorentzian versions thereof with a non-trivial spectrum. We study the microstate scaling that results on associating quantum harmonic oscillators to the normal modes of tree-graphs rather than string graphs and observe that Hardy-Ramanujan scaling is not realized. But by computing the eigenvalues of the derivative operator on the $p$-adic circle and by determining the eigenspectrum of the Neumann-to-Dirichlet operator, we uncover a spectrum of exponentially growing energies but with exponentially growing degeneracies balanced in such a way that Hardy-Ramanujan scaling is realized, but modulated with log-periodic fluctuations.
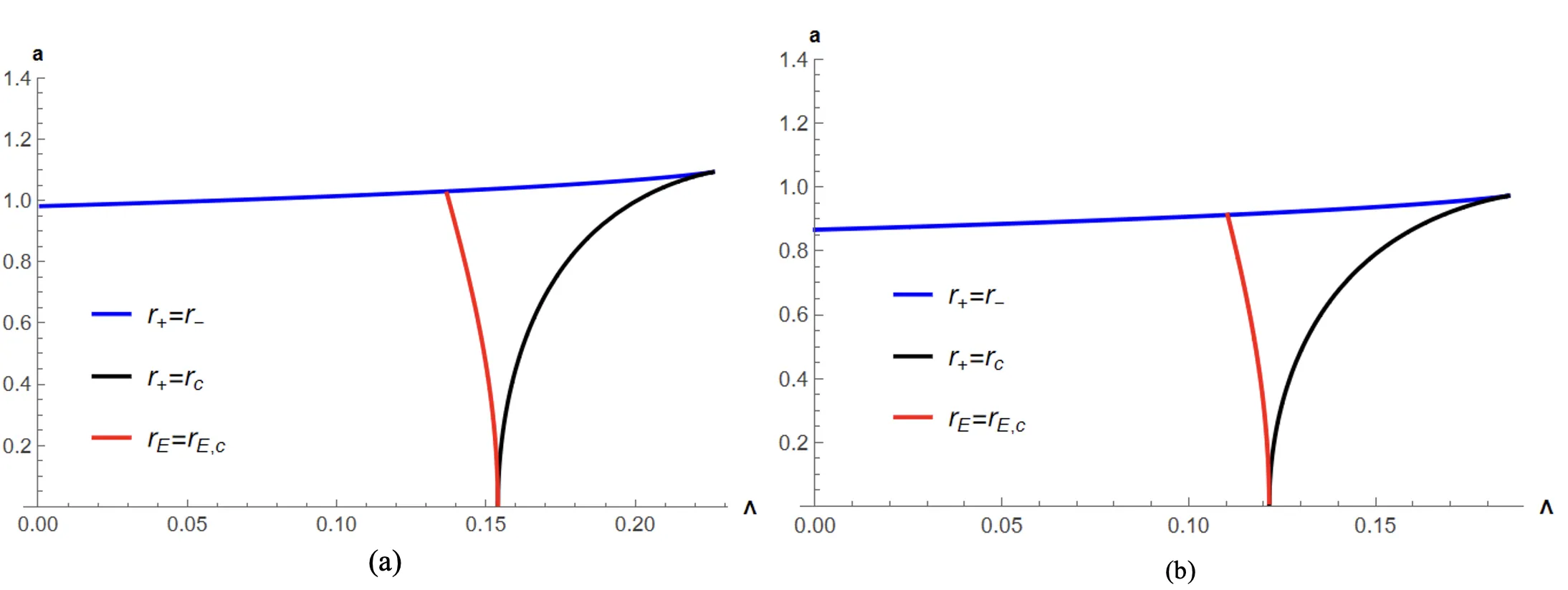
We investigate the combined effects of spatial curvature and topology on the properties of the vacuum state for a charged scalar field localized on the (2+1)-dimensional Beltrami pseudosphere, assuming that the field obeys quasiperiodicity condition with constant phase. As important local characteristics of the vacuum state the vacuum expectation values (VEVs) of the field squared and energy-momentum tensor are evaluated. The contributions in the VEVs coming from geometry with an uncompactified azimuthal coordinate are divergent, whereas the compact counterparts are finite and are analysed both numerically and asymptotically. For small values of proper radius of the compactified dimension, the leading terms of topological contributions are independent of the field mass and curvature coupling parameter, increasing by a power-law. In the opposite limit, the VEVs decay following a power-law in the general case. In the special case of a conformally coupled massless field the behavior is different. Unlike the VEV of field squared and vacuum energy density, the radial and azimuthal stresses are increasing by absolute value. As a consequence, the effects of nontrivial topology are strong for the stresses in this case at small values of radial coordinate.
2601.03631We study how the spin content of the thermal plasmas affects the propagation of gravitational waves in a radiation-dominated universe. As a simple but representative setup, we consider conformal scalar, Weyl fermion, and Maxwell fields that provide the background radiation, and we ask whether the resulting damping and phase shift of gravitational waves retain any memory of their spins. We revisit this question in a real-time quantum-field-theoretic framework, where the stress tensor splits into a background part, a dynamical (history-dependent) response, and local contact terms, with an additional on-shell projection fixed by the Friedmann equation. We find that the dynamical spin-dependent response arises on a short time scale characterized by the radiation temperature, which is exactly canceled by the local responses. As a result, the remaining long-time response is universal and consistent with kinetic theory in the hard thermal limit. Although the underlying mechanism exhibits strong spin dependence, it leaves no observable imprint on the large-scale effective dynamics of gravitational waves in this setup.
Soft factorization theorems can be reinterpreted as Ward identities for (asymptotic) symmetries of scattering amplitudes in asymptotically flat space-time. In this paper we study the symmetries implied by the all loop soft photon theorems when all external particles are massless. Loop level soft theorems are qualitatively different from the tree level soft theorems because loop level soft factors contain multi-particle sums. If we want to interpret them as Ward identities then we need to introduce additional fields which live on the celestial sphere but do not appear as asymptotic states in any scattering experiment. For example, if we want to interpret the one-loop exact $O(\lnω)$ soft theorem for a positive helicity soft photon (with energy $ω$) as a Ward identity then we need to introduce a pair of antiholomorphic currents on the celestial sphere which transform as a doublet under the $SL(2,\mathbb{R})_{R}$. We call them dipole currents because the corresponding charges measure the monopole and the dipole moment of an electrically charged particle on the celestial sphere. More generally, the soft photon theorem at $O(ω^{2j-1}(\lnω)^{2j})$ for every $j\in \frac{1}{2}\mathbb{Z}_+$ gives rise to $(2j+1)$ antiholomorphic currents which transform in the spin-$j$ representation of the $SL(2,\mathbb{R})_{R}$. These currents exist in the quantum theory because they follow from loop level soft theorems. We argue that under certain circumstances the (classical) algebra of the higher spin currents is the wedge subalgebra of the $w_{1+\infty}$.
Black hole thermodynamics provides a unique setting in which general relativity, quantum field theory, and statistical mechanics converge. In semiclassical gravity, this interplay culminates in the generalized second law (GSL), whose modern proofs rely on information theoretic techniques applied to algebras of observables defined on null hypersurfaces. These proofs exhibit close structural parallels with the thermodynamics of open quantum systems governed by Markovian dynamics. In this work, we draw parallels between the dynamics of quantum fields in regions bounded by non expanding causal horizons and the thermodynamics of quantum systems weakly coupled to equilibrium reservoirs. We introduce a dictionary relating late time boundary conditions to the choice of reservoir, vacuum states to fixed points of the dynamics, and modular Hamiltonians to thermodynamic potentials. Building on results from a companion paper on dual generalized second laws at future null infinity, we show that additional terms appearing in the associated thermodynamic potentials admit a natural interpretation as work contributions. We demonstrate that certain non thermal vacuum states at null infinity allow for the operation of autonomous thermal engines and enable work extraction from the radiation. Extending the analysis to the Unruh vacuum in Schwarzschild and Kerr backgrounds, we obtain generalized grand potential type laws incorporating grey body effects and angular momentum fluxes. Altogether, our results clarify the thermodynamic description of black hole dynamics and place it within the broader framework of open quantum thermodynamics.
The generalized second law (GSL) of black hole thermodynamics asserts the monotonic increase of the generalized entropy combining the black hole area and the entropy of quantum fields outside the horizon. Modern proofs of the GSL rely on information theoretic methods and are typically formulated using algebras of observables defined on the event horizon together with a vacuum state invariant under horizon symmetries, inducing a geometric modular flow. In this work, we formulate a dual version of the generalized second law from the perspective of asymptotic observers at future null infinity, who do not have access to the black hole area. Our approach exploits the dependence of the second law on the choice of algebra of observables and of a reference state invariant under suitable symmetries, in close analogy with open quantum thermodynamics. Using algebraic quantum field theory and modular theory, we analyze several physically motivated vacuum states, including the Hartle Hawking state and two classes of regularized vacua. We show that, at null infinity, the monotonic quantity governing an irreversible evolution is no longer the generalized entropy, but rather a thermodynamic potential constructed from asymptotic observables. Depending on the chosen vacuum, this potential takes the form of the free energy or of a generalized grand potential built from the Bondi mass and additional (angular) mode dependent chemical potentials. The resulting inequalities define a dual generalized second law at future null infinity, which can be consistently combined with the standard GSL involving variations of the black hole area.
Recently, a new method was introduced for computing $V_{g,1}(b)$, the Weil-Petersson volumes of the moduli space of Riemann surfaces of genus $g$ with one geodesic boundary of length $b$, various supersymmetric generalizations of them, as well as analogous quantities in intersection theory. The physical setting is the computation of a certain one-point function in a variety of models of 2D gravity for which there is a double-scaled random matrix model (RMM) description. The method combines perturbative solutions of two ordinary differential equations (ODEs), the Gel'fand-Dikii resolvent equation, and the RMM's string equation. In this paper, we extend the method to extract non-perturbative information about the $V_{g,1}(b)$ (and their analogues) that is naturally contained in the full ODEs, providing an efficient prescription for computing the transseries coefficients of the one-point correlation function, fully incorporating ZZ-brane and FZZT-brane effects, and for the first time, mixed ZZ-FZZT-effects. We use as a case study the (2,3) minimal string, computing perturbative and non-perturbative quantities, comparing them to perturbative results from topological recursion, and to results from the recent non-perturbative topological recursion framework of Eynard et.al. As a particularly powerful further application we provide general predictions for the large order in $g$ growth of $V_{g,1}(b)$, and apply them to JT gravity, finding agreement with known results, and for analogous quantities in ${N} {=} 1$ JT supergravity, proving a conjecture of Stanford and Witten. Our predictions yield new growth formulae for the cases of ${N} {=} 2$ and ${N}{=}4$ JT supergravity.
2601.03342We construct a diffeomorphism-covariant formulation of the non-relativistic (NR) limit of bosonic supergravity. This formulation is particularly useful for decomposing relativistic tensors, such as powers of the Riemann tensor, in a manifest covariant form with respect to the NR degrees of freedom. The construction is purely geometrical and is based on a torsionless connection. The non-metricities are associated with the gravitational fields of the theory, $τ_{μν}, h_{μν}, τ^{μν}$ and $h^{μν}$, and are fixed by requiring compatibility with the relativistic metric. We provide a fully covariant decomposition of the relativistic Riemann tensor, Ricci tensor, and scalar curvature. Our results establish an equivalence between the proposed construction and the intrinsic torsion framework of string Newton-Cartan geometry. We also discuss potential applications, including a manifestly diffeomorphism-covariant rewriting of the two-derivative finite bosonic supergravity Lagrangian under the NR limit, a powerful simplification in deriving bosonic $α'$-corrections under the same limit, and extensions to more general $f(R,Q)$ Newton-Cartan geometries.
2601.03336We analyze the gapped flux vacua of 2D (8,8) SU(N) super-Yang-Mills theory. Based on the matrix string theory duality, we conjecture the spectrum of massive resonances in the gauge theory at large N and beyond the 't Hooft scaling regime.
We investigate the structure of quantum magic in interacting disordered fermionic systems, quantifying non-stabilizerness via the fermionic stabilizer Rényi entropy (SRE). To resolve the distribution of magic across different scales, we introduce a multipartite non-local magic functional, constructed from an inclusion-exclusion combination of subsystem contributions. This measure serves as a fine-grained diagnostic, isolating genuinely global contributions and revealing nontrivial interactions between local and collective supports of magic. We illustrate the measure on paradigmatic multipartite states and apply these diagnostics to the Sachdev-Ye-Kitaev model and its variants. Crucially, for thermal/typical ensembles, we observe a marked disparity between Thermal Pure Quantum (TPQ) states and the thermal density matrix. This reveals a concealed complexity: the immense computational hardness characterizing the unitary evolution is encoded in the specific microstructure of the black hole microstates, while being washed out in the coarse-grained thermodynamic description. Furthermore, in $\mathcal N=2$ supersymmetric SYK, we show that while fortuitous BPS states exhibit intermediate stabilizer complexity, the multipartite measure unveils a rich, sector-dependent pattern of global correlations, distinguishing them from generic chaotic states.
We investigate the large $N$ limit of a complex action unitary matrix model with Fisher-Hartwig singularities, motivated by QCD-inspired models with complexified potentials. We show that the model exhibits multiple ungapped phases and a single gapped phase. The phases are characterized by Fisher-Hartwig singularities in the complex plane. We show that the phase transitions are third order, with transitions between ungapped phases forbidden. We also briefly discuss the implications for the QCD phase diagram at the end.
In this paper, we follow a Bootstrap-like approach to determine the most restricted form the finiteness constraint $\mathcal{F}(q,g,h,κ)$, which relates the four parameters of $\mathcal{N}=1$ Leigh-Strassler (LS) deformed models, by imposing mathematical and physical conditions. Focusing first on real parameters, we apply these conditions, together with a new symmetry of the superpotential we named ``q-symmetry'', to strongly constrains $\mathcal{F}$. Imposing only these mathematical conditions is enough, for example, to reproduces the \textit{structure} of the one-loop correction and the \textit{exact result} in the planar limit, which are known from the literature. Extending the analysis to complex parameters, we develop a similar method to obtain the more restricted form of $\mathcal{F}$, though the complex case obscures expansions in ``q-invariant'' variables. We also show how an additional pair $(q,h)$ of integrable deformations arises via q-invariance, and verify that the transformed R-matrix satisfies the Yang-Baxter equation. Moreover, we make two ansatz for the coefficients left in free in the finiteness $\mathcal{F}$ for the real parameters, and while it has some defects, it reveals interesting results when compared with literature: the first predicts the pair of integrable deformations derived in \cite{Mansson2010}, while the second ansatz gives the first correction only at fourth loop order $κ^8$ \cite{Mansson2010}, which is known to be true in the planar limit. Furthermore, we study the impact of this symmetry on the algebra of the deformed XXZ spin chain and the moduli-vacuum of LS, and find a gauge/gravity interpretation when $h=0$ for the q-symmetry, obtaining the simplest relation between $k$ (from TsT) and $β$ ($q = \exp(πi β)$) to be linear, in agreement with known results for the Lunin-Maldacena-Frolov deformation \cite{Frolov_2005,Lunin_2005}.
In brane-world scenarios, the effective action of a massless bulk \(U(1)\) gauge field preserves gauge invariance via couplings between massive vector Kaluza-Klein (KK) modes and scalar KK modes. In this work, we extend this framework by introducing a term \((\nabla^M X_M)^2\) into the massless bulk \(U(1)\) gauge action. This modification explicitly breaks the full gauge redundancy while preserving a residual gauge symmetry both in the bulk and on the brane. In this setup, the scalar KK modes can acquire masses from the background geometry. Notably, we find that on the 5D brane, these scalar KK modes are lighter than the vector KK modes. In contrast, on the 6D brane, two types of scalar modes emerge; the mixed interactions between them give rise to oscillations among these scalar modes.
2601.02625We suggest a new duality between a pair of 3d N = 5 SCFTs, one of ABJ type and one based on the exceptional superalgebra F (4). Our main evidence for the proposed duality is the matching of the superconformal index. In addition to the intrinsic interest in dualities between strongly coupled field theories, the result can also be useful in the classification of 3d N = 5 SCFTs.