Turbulence, instabilities, control of fluid flows, computational fluid dynamics.
Multiphase flows frequently occur naturally and in manufactured devices. Controlling such phenomena is extremely challenging due to the strongly non-linear dynamics, rapid phase transitions, and the limited spatial and temporal resolution of available sensors, which can lead to significant inaccuracies in predicting and managing these flows. In most cases, numerical models are the only way to access high spatial and temporal resolution data to an extent that allows for fine control. While embedding numerical models in control algorithms could enable fine control of multiphase processes, the significant computational burden currently limits their practical application. This work proposes a surrogate-assisted model predictive control (MPC) framework for regulating multiphase processes using learned operators. A Fourier Neural Operator (FNO) is trained to forecast the spatiotemporal evolution of a phase-indicator field (the volume fraction) over a finite horizon from a short history of recent states and a candidate actuation signal. The neural operator surrogate is then iteratively called during the optimisation process to identify the optimal control variable. To illustrate the approach, we solve an optimal control problem (OCP) on a two-phase Eulerian bubble column. Here, the controller tracks piecewise-constant liquid level setpoints by adjusting the gas flow rate introduced into the system. The results we obtained indicate that field-level forecasting with FNOs are well suited for closed-loop optimization since they have relatively low evaluation cost. The latter provide a practical route toward MPC for fast multiphase unit operations and a foundation for future extensions to partial observability and physics-informed operator learning.
This paper presents a novel and straightforward compact reconstruction procedure for the high-order finite volume method on unstructured grids. In this procedure, we constructed a linear approximation relationship between the mean values and the function values, as well as the derivative values. Compared with the classical compact schemes, which employ a Taylor expansion method to determine the coefficients, our approach adopts an equivalent and more generalized method to achieve this goal. Via this method, the problem of constructing a high-order compact scheme is transformed into solving the null space of undetermined homogeneous linear systems. This null space constitutes the complete set of schemes that meet the specified accuracy under a given stencil, and is termed the 'scheme space'. Schemes within the scheme space possess the same accuracy level yet exhibit distinct dispersion and dissipation characteristics. Through Fourier analysis, we can get the dissipation and dispersion properties of all schemes in the scheme space. This facilitates the control of scheme dispersion and dissipation without altering the stencil compactness. Combined with the WENO (Weighted Essentially Non-Oscillatory) concept, multi-stencil schemes are employed to construct the nonlinear weighted compact finite volume scheme (WCFV). The WCFV is capable of eliminating unphysical oscillations at discontinuities, thereby enabling the capture of strong discontinuities. One-dimensional schemes are discussed in detail, and numerical results demonstrate that the proposed method exhibits high-order accuracy, robustness, and shock-capturing capability.
The present study examines evaporative cooling and the resulting deposition patterns of a sessile $Al_2O_3$-based nanofluid droplet on a hydrophobic glass substrate at different temperatures. Evaporation predominantly occurs in the pinned contact line mode for both heated and non-heated cases, with only slight recession observed without heating. The droplet height and contact angle decrease linearly with time, and scaling relations are proposed to describe the evolution of droplet geometry and volume. A non-dimensional parameter, $Π_{rel}$, is introduced to characterize transitions in deposition patterns. For $Π_{rel} \leq 1$ ($T_s \leq 26^\circ$C), interconnected irregular polygonal network structures form at the periphery, which are rarely reported in evaporating droplets. With increasing substrate temperature, this structure is suppressed, giving rise to a classical coffee-ring pattern for $1 < Π_{rel} \leq 10$. At higher temperatures ($T_s > 40^\circ$C), dual-ring formation along with central particle deposition is observed for $Π_{rel} > 10$. The interfacial temperature is higher near the contact line and decreases toward the apex, and a universal scaling for the temperature profile is proposed. Internal flow velocity increases with substrate temperature, exhibiting asymmetric multi-vortex structures. Evaporative cooling intensifies with heating, enhancing evaporation flux and capillary flow. Appropriate scaling relations for evaporation flux and capillary velocity are established. Overall, the dynamics are governed by thermocapillary (Marangoni) flow induced by evaporative cooling, which enhances internal circulation and governs nanoparticle deposition morphology.
In the field of computational fluid dynamics, direct numerical simulations generate highly detailed data for the analysis of turbulent flows by resolving all relevant physical scales. Yet their large size, complexity, and heterogeneity make systematic post-processing and data reuse increasingly challenging. Despite the growing availability of high-fidelity simulations through public repositories, extracting meaningful physical insight often requires substantial technical effort, specialized workflows, and access to high-performance computing resources. In this article we introduce \texttt{aPriori}, an open-source Python package developed to address these limitations by providing a dedicated, memory-efficient, and user-oriented framework for the analysis of direct numerical simulation data. The software enables streamlined handling of three-dimensional fields, including filtering, scale separation, gradient evaluation, thermochemical analysis, and visualization, using concise and reproducible scripts. Its pointer-based data management strategy allows very large datasets to be processed on standard workstations without excessive memory usage, significantly lowering the barrier to advanced analysis. Beyond basic post-processing, \texttt{aPriori} supports workflows central to modern turbulence and combustion research, such as a priori model assessment, data-driven closure development, and detailed chemical analyses that include computational singular perturbation. By unifying these capabilities within a coherent and extensible software architecture, \texttt{aPriori} enhances productivity, promotes reproducibility, and facilitates broader and more effective use of high-fidelity simulation data within the computational fluid dynamics community.
In compressible turbulent boundary layers (TBLs), roughness drag is typically characterised by first applying a velocity transformation to account for compressibility, after which the momentum deficit $ΔU^+$ (Hama, 1954) and the equivalent sand-grain roughness $k_s$ are inferred. In practice, $k_s$ is often obtained from measurements at a single Mach number $M$ and Reynolds number $Re$, effectively forcing the roughness into the $ΔU^+$--$\log(k_s)$ relation of Nikuradse (1933). This raises a key question: if a rough surface has a known $k_s$ in incompressible flow, under what conditions can this value be used in compressible flows? This question is explored using data obtained through a series of experiments of TBLs on rough walls (P60- and P24-grit sandpapers) over $0.3 \leq M \leq 2.9$ and $7427 \leq Re_τ \leq 30292$, including independent variation of $Re_τ$ at $M=2$. Results show that $ΔU^+$ is largely insensitive to the velocity transformation, but the fully rough regime exhibits a Mach-number-dependent shift in the logarithmic relation. Three empirical scalings are examined: an equivalent incompressible $k_s$, a viscosity-scaled roughness $k_{*} = k/ν_\infty^+$ with $ν_\infty^+ = ν_\infty/ν_w$, and a correction factor $\sqrt{1/F_c}$ where $F_c$ depends on $T_\infty/T_w$. The last provides the most consistent improvement across datasets, although all corrections remain empirical and rely on smooth-wall compressibility transformations. This paves the way for future work to develop custom transformation for a rough-wall TBL that can account for roughness properties and other parameters including wall conditions.
We consider a round turbulent jet grazing a rectangular plate angled at $45^\circ$. Through sound pressure measurements, the tonal dynamics associated with jet-edge interaction are explored in a parameter space comprising jet Mach number, $M_j$, and plate radial position, $R/D$. A variety of spectral signatures are observed and classified. The classification - based on analysis of power-spectral density and bicoherence, and on the resonance model proposed by Jordan et al. (2018) - comprises: broadband spectra; tonal spectra associated with purely linear frequency-selection mechanisms; tonal spectra associated with both linear and non-linear frequency selection. The classification identifies regions in the parameter space ($M_j$, $R/D$); and clarifies mechanisms underpinning regime changes. The linear frequency selection (LFS) regime comprises multiple tones, with no evidence of triad interaction. A regime involving non-linear frequency selection emerges from this state, with the strong amplification of one LFS tone, which then generates multiple harmonics. Intermediate regimes are identified involving weaker, non-harmonic triadic interactions where two LFS tones interact to generate a third tone. In addition to these mechanisms a mode-switching mechanism is identified at $M_j$ = 0.84 and shown to result from the cut-on of a new upstream-travelling wave at that Mach number. The mode-switch is found to be remarkably robust, occurring in a repeatable manner over a Mach-number increment of 0.01 regardless of whether the Mach number is increased or decreased (no hysteresis is observed).
A robust composite mean velocity profile is developed for turbulent boundary layers (TBLs) subjected to adverse pressure gradients (APGs), extending the composite formulation for generic pressure-gradient TBLs proposed by \citeauthor{nickels} (\textit{J.\ Fluid Mech.}, vol.\ 521, 2004). Several modifications are introduced to capture key features of APG flows. A new parameter accounts for pressure-gradient history effects in the wake region, a velocity-overshoot function is incorporated in the inner region, and the wake function is reformulated using an independent, physically motivated definition of boundary-layer thickness. A compilation of APG TBL datasets from the literature, including the new dataset presented in Part~1, is used to assess and refine the formulation. The resulting composite profile contains three physically meaningful parameters that capture pressure-gradient effects on the mean velocity profile, determined through nonlinear curve fitting. These parameters provide a framework for identifying `well-behaved' APG TBLs and quantifying the strength of pressure-gradient history effects. The profile also enables reliable estimation of the friction velocity and boundary-layer thickness in well-behaved APG TBLs, providing a practical tool for scaling analyses when these quantities are not directly measurable. Its analytical form yields improved estimates of mean velocity gradients, facilitating evaluation of the indicator function and identification of inflection points. Finally, the formulation predicts both the coefficients and spatial extent of the logarithmic region of the mean streamwise velocity profile, enabling assessment of its universality in high-Reynolds-number APG TBLs. This shows that the von K'arm'an coefficient approaches an invariant value of $κ\approx 0.39$ at sufficiently high Reynolds numbers, independent of pressure-gradient effects.
This study experimentally investigates the aerodynamic drag reduction capabilities of distributed micro-roughness (DMR) coatings on a streamlined model, utilising the 1-m magnetic suspension and balance system (MSBS) at Tohoku University. Previous direct numerical simulations (DNS) indicated that DMR can mitigate turbulent-energy growth by suppressing Tollmien--Schlichting (TS) waves and influencing the breakdown of streamwise vortices. The present work provides the first experimental validation of these effects using an interference-free MSBS, which is essential for accurate measurement in the laminar and transitional regimes. A streamlined model was tested with two rows of artificial tripping tape to induce transition; the DMR height was approximately 1% of the local boundary layer thickness, significantly smaller than typical roughness elements. Direct aerodynamic drag measurements using the MSBS revealed a substantial reduction of up to 43.6% within the transitional flow regime. Crucially, integrated analysis using wall-resolved large-eddy simulations (LES) and dynamic oil-flow visualisation confirmed that this benefit does not mainly originate from the suppression of flow separation. The LES drag decomposition established that the total pressure-drag budget is subordinate to skin friction, a finding complemented by oil-flow observations, which revealed qualitatively similar flow patterns regardless of the surface condition. Consequently, the observed drag reduction is primarily ascribed to friction drag reduction achieved through the modification of the boundary layer state. These findings provide compelling experimental evidence for the efficacy of DMR and offer valuable insights for optimising surface designs for passive flow control.
We investigate the competition between horizontal convection (HC) and Rayleigh-Bénard convection (RBC) in a fluid layer subject to a uniform destabilizing buoyancy flux at the bottom and a horizontally varying buoyancy distribution at the top. The RBC forcing imposes negative horizontal mean vertical buoyancy gradients at the top and bottom of the fluid layer. But if the HC forcing is sufficiently strong then the volume averaged vertical buoyancy gradient, $\langle b_z \rangle$, is positive i.e.~opposite in sign to destabilizing RBC buoyancy gradients at the boundaries. If $\langle b_z \rangle>0$ we say that the layer has been ''restratified''. Using scaling analysis based on power integrals together with two-dimensional direct numerical simulations at Rayleigh numbers up to $10^{10}$, we identify two cases: a neutral stratification state, in which HC first offsets RBC so that $\langle b_z \rangle = 0$, and a strong stratification regime, in which HC dominates and $\langle b_z \rangle$ is opposite in sign, and greater in magnitude, than the prescribed destabilizing vertical buoyancy gradient at the layer boundaries. For the range of parameters explored in this study, we derive scaling laws for the onset of these regimes in terms of the horizontal and vertical flux Rayleigh numbers, $\RaH$ and $\RaV$, finding $\RaHN \sim \RaV^{4/5}$ for the neutral state and $\RaHstrg \sim \RaV$ for the onset of strong stratification. The results highlight the controlling role of the top boundary layer in setting the mean stratification and clarify the conditions under which HC suppresses RBC. These findings are relevant to geophysical environments such as subglacial lakes, and the oceans of Snowball Earth and icy moons, where bottom heating and horizontal buoyancy variations jointly shape ocean stratification.
We propose using the electrospray cone-jet mode operated near its minimum-flow-rate stability limit for single-cell deposition. Because the jet is much thinner than the cells themselves, individual cells can be clearly visualized or detected during deposition. At such low flow rates, individual cells can be placed at distinct, user-defined locations, even at relatively high cell concentrations. In this sense, our approach provides a spatial resolution at the scale of a single cell. We demonstrate the method's capabilities by depositing cells onto a millimeter-scale droplet of a standard cell-culture medium. Cell viability assays indicate that many cells maintain membrane integrity after exposure to the electrosprayed liquid, suggesting that most damage is reversible.
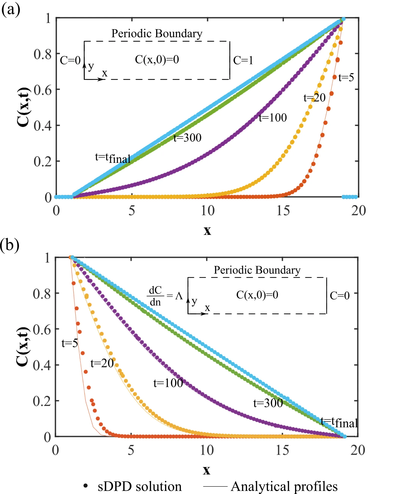
Using smoothed particle hydrodynamics (SPH) simulations, we investigate the coefficient of restitution (COR) in wet collisions and identify a scaling law governing its behavior. The simulations employ an updated-Lagrangian, mesh-free framework that is validated against experimental measurements. We neglect surface tension effects since the impact conditions correspond to a moderate-to-high Weber number regime. The COR is found to depend on the Stokes number and a dimensionless film thickness defined as the ratio of the liquid film thickness to the diameter of the impacting solid bead. Two distinct regimes are observed, each characterized by different power-law exponents.
Moderate or intense low-oxygen dilution (MILD) combustion is achieved by strongly diluting and preheating the reactants through mixing with hot combustion products before ignition. To better understand how fuel/air/product mixing and interaction govern MILD combustion dynamics, a novel direct numerical simulation (DNS) dataset of a temporally evolving three-stream mixing layer consisting of fuel, air, and hot combustion products has been performed. In this configuration, both fuel-air and air-hot products mixing processes are considered with varying time scales, through four carefully designed DNS cases, to assess how their combined interaction controls ignition under MILD conditions. It is observed that the cases with higher dilution levels fall within the MILD combustion regime, whereas those with lower dilution correspond to non-MILD conditions. The results show that, as long as MILD conditions are observed, ignition is mainly driven by mixing with hot products. Flame index (FI) combined with chemical explosive mode analysis (CEMA) further identifies the local combustion mode: in MILD cases, ignition occurs predominantly through a premixed-autoignition mode, while in non-MILD scenarios, the premixed-deflagrative contribution to the heat release rate is more substantial. Conditional analysis of scalar dissipation rates shows that the combustion modes in MILD conditions are sensitive to mixing by both the fuel and hot products, whereas the combustion modes in non-MILD conditions are mainly influenced by the mixing of the fuel with the surrounding gases.
2603.22902In this work, we first propose a diffuse interface model for simulating N phase flows with solid liquid phase change. In this model, a phase field approach is adopted to capture multiphase fluid interfaces, and an enthalpy based formulation is used to describe the phase change. The volume changes resulting from density differences during phase change are incorporated by introducing a source term into the continuity equation. The method also satisfies the reduction consistent property, allowing it to rigorously degenerate to both the conservative phase field method for N phase flows and the classical enthalpy method for solid liquid phase change. Then a coupled lattice Boltzmann (LB) method is developed to solve this diffuse interface model. Some numerical tests, including film freezing, single droplet freezing, and compound droplet freezing are performed, and the results are in good agreement with the analytical solutions and data reported in the previous works. Furthermore, the proposed method is applied to study freezing dynamics of complex systems with insoluble impurities, capturing the interaction between the advancing freezing front and embedded impurities. It is found that the proposed diffuse interface method is accurate and efficient for studying N phase systems with phase change.
Surface roughness plays a substantial role in many flows for which Reynolds averaged prediction is needed. The transformation used in the k-omega0 model is extended to rough surfaces by adding an effective origin. The log-layer offset is computed as a function of this effective origin, thereby creating a correspondence between effective origin and equivalent sandgrain roughness. A formula is derived for the virtual origin of the fully rough log law. It is shown how the present model is consistent with the fully rough limit.
We report on experiments designed to characterize the vortex-induced vibration (VIV) and wake-induced vibration (WIV) experienced by bluff bodies immersed in both steady and unsteady flows. Using a real-time Cyber-Physical System (CPS) we systematically prescribe the virtual mass, spring constant, and damping of elastically mounted models. This allows us to characterize the forces and displacements of the free vibration of a circular cylinder, elliptical cylinder, and a seal whisker inspired vibrissa model with undulating elliptical geometry. In a free flow, the circular cylinder exhibits high VIV, while the reduced aspect ratio objects have minimal vibration across all structural frequencies. When a flow disturbance of a pitching and heaving hydrofoil is introduced, the reduced aspect ratio objects are excited by WIV with highest amplitude oscillations occurring when structural frequency of the test object matches wake frequency of the upstream foil. To further understand the benefits of an undulated geometry over a classic elliptical cylinder, we assess the nonlinear fluid damping experienced by each test object by comparing experimental data to quadratic drag and Van der Pol damping models. Our results show that the amplitude dependent Van der Pol damping model better describes the physical system for both test objects by capturing the suppression of large amplitude WIV, but recovering small amplitude VIV. However, the strength of the fitted Van der Pol damping coefficient is greater for the elliptical cylinder than the vibrissa. We find the vibrissa experiences lower damping than the elliptical cylinder across all tested structural frequencies, indicating how the vibrissa geometry may serve as a higher sensitivity sensor.
In this study, we report direct experimental observations of self-sustaining CH4-air rotating flames formed spontaneously in an unheated, open, circular Hele-Shaw cell. These flames are observed under fuel-rich conditions and exhibit stable traveling-wave patterns, with edge velocities that can significantly exceed the nominal flame speed of the unburned mixture. PLIF measurements across the central plane reveal that the flame front consists of a bibrachial structure, with a diffusion branch gliding along the side edges of the cell and a premixed branch extending into the interior. Complementary numerical simulations suggest that the formation of rotating flames is driven by a dynamic balance between local flame speed and unburned-gas velocity near the cell edges, where both wall heat loss and flow expansion play critical roles in stabilizing the rotation pattern. A parametric study is conducted for various equivalence ratios, flow rates, and gap distances, from which the regime diagrams of flame modes and rotation frequencies are obtained. At low flow rates, the rotating flames are single-headed, with a positive dependence of rotation frequency on the flow rate. For this type of flames, a semi-empirical model is established to predict their rotation frequencies and shapes as functions of mass flow rate and surface temperature. At elevated flow rates, the flames split into multiple heads at approximately equal spacing, and the product of number of heads and rotation frequency increases with the flow rate. Mode transition from rotating flames to steady ring-shaped flames anchored at the burner edges occurs at sufficiently high flow rates, while at sufficiently low flow rates, flame extinction occurs due to thermal quenching. These findings can provide useful guidance for the advancement of micro-combustion technologies.
We investigate the kinetic energy cascade in zero-temperature quantum turbulence. Using simple theoretical arguments and unprecedented numerical simulations, we unveil an universal mechanism transferring energy directly from large to very small scales, thus bypassing the Kolmogorov-like local energy cascade and resulting in nonclassical energy spectra. This mechanism rests both on the vast separation of scales typical of superfluid helium-4 flows and on the alignment between quantum vortices and large-scale velocity gradients, in direct analogy with vortex stretching in classical flows.
Shock wave-droplet interactions have been receiving increasing attention due to their relevance in aviation fuel combustion and minimally invasive medical treatments, yet quantifying them experimentally remains a challenge. In this study, we propose a background-oriented schlieren (BOS) technique for quantitative spatiotemporal measurements of shock wave-droplet interaction, employing a novel ray-tracing correction, a synchronization system, and a projected background. Underwater shock waves propagating both inside and outside a millimetric perfluorohexane droplet immersed in water are experimentally measured. The quantified density-gradient and pressure fields are compared with numerical simulations, and the BOS measurements-including sound speeds, the shock-focusing location, and the maximum pressure-are found to be in close agreement with the numerical results. Notably, the technique successfully captures the phase shift before and after shock focusing that had previously only been hypothesized.
In this work, we develop a neural-physics solver based on finite volume method (FVM), namely NeuralFVM, for turbulent flows by implementing the standard $k$-$ω$ model designed for efficient Graphics Processing Unit (GPU) execution. The governing equations for fluid flow and heat transfer are reformulated as local tensor operations using convolution-based stencil operators, which enables compatibility with deep learning libraries while preserving the conservative properties of the FVM. A key challenge in implementing the turbulent model within such a framework is the treatment of the stiff destruction terms in the $k$ and $ω$ transport equations. To address this issue, an operator-splitting strategy is introduced in which the stiff destruction terms are handled semi-implicitly while the remaining terms are advanced explicitly. This formulation avoids global matrix assembly and allows the entire solver to be implemented using local tensor operations. In addition, the pressure-velocity coupling is solved using a convolution-based geometric multigrid algorithm embedded within a neural network architecture. The resulting NeuralFVM solver is validated through comparison with simulations conducted using the commercial CFD software ANSYS Fluent for several channel-flow configurations and an indoor airflow scenario. The results demonstrate close agreement in velocity, temperature, and turbulence quantities, confirming the accuracy of the proposed approach. The developed GPU framework achieves a speedup of around 19-46 times compared with its Central Processing Unit (CPU) counterpart under different meshes. Moreover, the proposed solver naturally integrates with machine learning workflows, providing a promising foundation for future data-driven turbulence modeling and optimization.
We present a new way to construct analytical solutions for flow in complex microfluidic channel networks, as well as planar disordered media. Using a combination of Schwarz-Christoffel maps and segmentation techniques inspired by integrated circuit analysis, we build a library of base building blocks which can be reassembled to model complex geometries, in the style of ``Lego Blocks''. Our approach requires minimal numerical computation, and can then generate analytical solutions for any combination of inlet and outlet flow rates. Moreover, our method can tackle multiply connected domains which are usually difficult to model using typical conformal transform approaches. The solutions are developed for microfluidic Hele-Shaw cell devices, but also apply to ideal flow and Darcy flow in complex geometries, or any other flow problem adequately modeled by Laplace's equation. We end by showing how the procedure can be used to model complex disordered media, fractal-like flow geometries, as well as problems of steady advection-diffusion in microfluidic mixers.