Solar and Stellar Astrophysics
White dwarfs, brown dwarfs, sun and stars including their evolution, formation, interiors, atmospheres, binary systems.
Looking for a broader view? This category is part of:
White dwarfs, brown dwarfs, sun and stars including their evolution, formation, interiors, atmospheres, binary systems.
Looking for a broader view? This category is part of:
A demonstrated failure mode for operational solar flare forecasting is the inability to forecast flares that occur near, or just beyond, the solar limb. To address this shortcoming, we develop a "4pi" full-heliosphere event forecasting framework and evaluate its statistical classification ability against this specific challenge. A magnetic surface flux transport model is used to generate full-sun maps of the photospheric radial magnetic field from which active regions (ARs) are identified and tracked using a new labeling scheme that is observer-location agnostic and allows for post-facto modifications. Flare-relevant magnetic parameters couple to a "visibility" index that specifies AR location relative to the visible solar limb and expected flare detection. Flare labels are assigned according to peak Soft X-ray flux, and a statistical classification is performed using nonparametric discriminant analysis. A version where new or emerging ARs on the far ("invisible" side of the Sun are incorporated into the model by way of far-side helioseismology, is also tested. We evaluate the new framework by its performance specifically including the limb areas using Brier Skill Score and ROC Skill Score, finding improvement at the 2-sigma level or less. However, we do find that the number of False Negatives, or "missed" forecasts decreases, and find strong evidence that the additional information provided by the far-side helioseismology can help predict near- and just-beyond-limb flares, particularly for East-limb events. While individual components of this framework could be improved, we demonstrate that a known failure mode for solar flare forecasting can be mitigated with available resources.
Ionisation controls the chemistry, thermal balance, and magnetic coupling in protoplanetary discs. However, standard ionisation vectors such as stellar UV, X-rays, Galactic Cosmic Rays (GCRs) might not be efficient enough, as UV/X-rays are attenuated rapidly with depth, while GCRs are modulated. Turbulence-induced magnetic reconnection in disc atmospheric layers offers a physically motivated, in-situ source of energetic particles (EPs) that has never been considered. We quantify the ionisation and heating produced by EPs accelerated by turbulent reconnection, identify where they dominate over X-rays and GCRs, and determine energetic thresholds for their relevance. We provide scalable diagnostics tied to the local energy budget. We adopt a Fermi-like acceleration model with parameters linked to a turbulent reconnection geometry trigger by the magneto-rotational instability, yielding a steady-state energy distribution of the EP forming a power-law of index $p=2.5$. We propagate electrons and protons through the disc and compute primary and secondary ionisation and associated heating on a fiducial T Tauri disc model background. The non-thermal normalisation is set by the fraction of local viscous accretion energy dissipation channelled to EPs, parametrised by $κ$. For $κ\gtrsim 0.4\%$, EPs ionisation overpass standard sources like X-rays and GCRs in the disc atmosphere and intermediate/deep layers out to radii of a few tens of AU. Even at $κ\sim 0.025\%$, EPs contribute at the few-percent level, thus are chemically and dynamically relevant. EP-induced heating complements UV/X-ray heating in the atmosphere and persists deeper. These results identify EPs accelerated by turbulence-induced magnetic reconnection as a rather robust, disc-internal ionisation channel that should be included in thermo-chemical and dynamical models of protoplanetary discs.
2601.05006A sample of 278 triple systems with outer separations under 300 au and resolved inner pairs is studied, focusing on the mutual alignment between inner and outer orbits. The degree of alignment increases with (i) decreasing outer separation, (ii) decreasing ratio of outer and inner separations, (iii) decreasing mass of the inner primary component, and (iv) increasing inner mass ratio. There is no dependence on the outer mass ratio. The average mutual inclination is ~40deg for the full sample and ~10deg for 38 triples with primary components less massive than 1 solar and outer separations below 50 au. Inner eccentricities in aligned triples are smaller compared to misaligned ones. In another sample of 371 hierarchies with known outer orbits and inner eclipsing subsystems, only 22% show mutual alignment within 20deg, while the rest are aligned randomly. These findings match qualitatively current understanding of the formation of hierarchical systems, where the N-body dynamics dominates at large scales, while the accretion and migration shape systems closer than $\sim$100 au. Fragmentation of isolated cores apparently produces approximately aligned low-mass hierarchies.
2601.04931Context. Turbulent convection models in nonlinear radial stellar pulsation models rely on an extra equation for turbulent kinetic energy and fail to adequately explain mode-selection problems. Since multidimensional calculations are computationally expensive, it is reasonable to search for generalizations of physically grounded 1D models that approximate multidimensional results with sufficient accuracy, at least in a given parameter range. A natural way of progressing from one-equation models is to use additional nonlocal equations. While these types of models also exist in the literature, they have not been adopted for this type of object. Aims. We aim to adapt the three-equation turbulent convection model from Kuhfuss to radial stellar pulsation modeling. Methods. We use a Reynolds-stress one-point closure approach to derive our extensions alongside the model, while using additional models from the literature to close the anisotropy and dissipation terms. Results. We provide five extensions to the original model. These include an enhanced dissipation correction to the mixing length, a local anisotropy model replacing eddy viscosity, a second-order correction for turbulent ion transport in the atmosphere (alongside opacity effects), and turbulent damping of entropy fluctuations and convective flux.
The absolute calibration of period-luminosity (PL) relations of Cepheids in the Milky Way (MW) and its nearby galaxies has been a cornerstone in determining extragalactic distances and the current local expansion rate of the Universe. However, the universality of PL relations is still debated; particularly, the metallicity effect on the Cepheid PL relation. Due to the HIF-stellar photosphere interactions in Cepheids, different period-color (PC) relations at different phases can influence the corresponding PL relations at those phases.We have considered the PL relations at multiple pulsation phases as they capture the ensemble radiation hydrodynamic properties at those phases. We investigate the effect of metallicity on PL relations based on multiphase analysis of classical Cepheid light curves in the MW, Large Magellanic Cloud (LMC) and Small Magellanic Cloud (SMC). Multiphase metallicity coefficients $(γ)$ are derived in five different photometric bands ($V$, $I$, $G$, $G_{\rm BP}$, $G_{\rm RP}$) and two Wesenheit indices ($W_{VI}$, $W_{G}$). We show that the coefficients of multiphase period-luminosity-metallicity (PLZ) relations vary dynamically as functions of Cepheid pulsation phases over a complete pulsation cycle. We find significant differences in the $γ_λ$ values between the short- $(0.4 \leq \log{P} < 1)$ and long-period $(1 \leq \log{P} < 2)$ Cepheids at multiple phases, in two bands, $G_{\rm RP}$ and $W_{G}$. The weighted averages of the multiphase $γ_λ$ values are found to be in good agreement with the latest results published in the literature. Our methods and results provide new insights into the metallicity effect on the Leavitt law, which can be useful in constraining pulsation models. Additionally, this study shows that the metallicity effect on mean-light PL relations can be recovered from its phase-dependent nature found in this study.
We observed high-resolution optical spectra of 11 RV Tauri stars without IR excess, with the primary goal of searching for chemical depletion patterns. Using equivalent widths of absorption lines, we calculated photospheric parameters and chemical element abundances for five stars in the sample: HD 172810, V399 Cyg, AA Ari, V457 Cyg, and V894 Per. Only the abundance pattern of V457 Cyg suggests depletion. In the spectrum of this star, TiO lines are also observed in emission in addition to metal emissions. V457 Cyg is likely a binary system that was once surrounded by a circumbinary disc. In the spectrum of V894 Per, we find a set of spectral lines that appear to belong to another star, corroborating that it is an eclipsing variable rather than an RV Tauri star. The high overabundance of sodium may result from mass transfer within the binary system.
Our prior research found that a $90^{\circ}$ configuration of two planetary groups were temporally associated with significant changes in global electromagnetic standing waves (Schumann resonances) during and after the three $90^{\circ}$ configuration events occurring in late 2017 and early 2018. Specifically noted were reductions in variability moving into an event and level changes immediately after a event. Because global standing-wave data have a short history and no $90^{\circ}$ events have occurred since that period, we examine here whether these geometric configuration events correspond to similar signatures in the long sunspot count record. Using daily sunspot data from January 1935 through December 2024, we conducted empirical studies assessing variance changes, post-event level shifts, and potential intrinsic oscillatory structure. In Study A, a variance-ratio test showed that sunspot variability was systematically lower during the events than in the preceding period, with 21 of 26 events since 1935 exhibiting reduced variance (binomial $p=0.0025$). In Study B, solar activity level declined roughly 21 days after events ended, with 21 of 26 events showing negative changes (binomial $p=0.0025$). In Study C, wavelet and filtering analyses revealed no internal solar oscillations at comparable timescales. These findings provide empirical evidence that the configuration events are associated with shifts in solar activity. The next three configuration events in mid- and late-2026 offer an opportunity to assess these patterns in real time.
Decayless kink oscillations are frequently observed in solar coronal loops and are considered potential contributors to coronal heating. Despite the ubiquity of this wave phenomenon, its driving mechanism remains unclear. Studies to derive the polarization state of these oscillations, which would be a key to identifying the drivers, have been limited due to observational constraints. We analyze a 3D MHD simulation of coronal loops using the MURaM code. Synthetic extreme ultraviolet (EUV) emission maps, combined with velocity diagnostics, are used to identify and characterize transverse wave motions in the simulated loop structures. This is the first demonstration of decayless kink waves emerging self-consistently in a 3D MHD loop-in-a-box model. The simulation produces persistent, low-amplitude, decayless kink oscillations that closely match observed properties. These oscillations arise spontaneously, without any imposed periodic driver, and exhibit clear linear polarization with oscillation planes not aligned to the principal axes. The observed coherency of linear polarization with oscillation cycles favors a self-sustained or quasi-steady type wave driver over a stochastic or broadband source.
We present the longest-term optical analysis of the AM CVn system KL Dra using $\sim11$ years of monitoring from TESS and wide-field ground-based surveys. The continuous TESS coverage allows us to characterise its frequent outbursts with unprecedented detail, providing the first comprehensive study of an AM CVn during outbursts and enabling detailed modelling of these systems. The superoutbursts in KL Dra generally include a precursor, and are followed by a series of rebrightenings after which a sequence of 3-4 large amplitude normal outbursts is observed. We fit parametric profiles to each superoutburst component (precursor, rise to plateau, plateau, decay), to rebrightenings, and to normal outbursts, which let us quantify every high state feature and investigate correlations with the system's long term supercyle evolution. Our continuous coverage reveals an average value for the supercycles, superoutbursts and normal outbursts of $60.4 \pm 0.1$ d, $5.67\pm0.03$ d and $1.17 \pm0.01$ d, respectively. The supercycle duration may be correlated with the rebrightenings duration and superoutburst amplitude, and anticorrelated with the plateau length. Within a supercycle, normal outbursts grow in amplitude and duration, and the first normal outburst is usually highly asymmetric, while subsequent normal outbursts are more symmetric. We detected superhumps in TESS superoutbursts but not in the rebrightenings or normal outbursts. We interpret the results within the disk instability model, considering additional effects, such as changes in the donor mass transfer rate.
Common envelope evolution (CEE) is a crucial phase in binary stellar evolution. Current global three-dimensional simulations lack the resolution to capture the small-scale dynamics around the embedded companion, while local wind-tunnel simulations always approximate the companion's orbital motion as linear rather than as rotation around the center of mass. We investigate how rotation, accretion, and stratification influence small-scale gas dynamics, gravitational drag and lift forces, and the spin-up rate of the companion. We perform three-dimensional local hydrodynamic simulations of a $0.2\, M_\odot$ compact companion plunging into the envelope of a $2\, M_\odot$ red giant in a reference frame rotating at the companion's orbital angular velocity, using the Athena++ code. The presence of stratification generates an inward-directed force, partially opposed by a rotation-induced outward lift force. Both the resulting inward directed force and the drag force, strongly influenced by stratification, would affect the evolution of the binary separation. We propose revised semi-analytical prescriptions for both drag and lift forces. Without accretion and for sufficiently small gravitational softening radii, a quasi-hydrostatic bubble forms around the companion, while accretion prevents its formation and converts kinetic energy into heat that could contribute to the envelope ejection. Drag and lift forces are only marginally affected by accretion. The companion spin-up rate varies non-monotonically in time, first increasing and then decreasing as it plunges deeper into the envelope. These results motivate future magnetohydrodynamic simulations to investigate how accretion, rotation, and stratification affect magnetic amplification, and how magnetic fields, in turn, influence mass and angular momentum accretion rates, as well as the drag and lift force exerted on the companion.
We present the detection of 2MASS J22282889-4310262 (2M2228), a T6/T6.5 brown dwarf, using the Karl G. Jansky Very Large Array (VLA) archival data observed at C band (4-8 GHz) over two observing epochs ($2\times96$ minutes). 2M2228 is detected at time and frequency averaged Stokes I and V peak flux densities of $67.3\pm4.9\ μ \rm{Jy beam}^{-1}$ and $14.4\pm3.0\ μ\text{Jy beam}^{-1}$ in the first epoch and $107.2\pm5.2\ μ\rm{Jy\ beam}^{-1}$ and $-20.7\pm1.2\ μ\text{Jy beam}^{-1}$ in the second epoch. This discovery constitutes the eighth and, notably, the most rapidly rotating T dwarf detected to date at radio wavelengths. Our observations reveal highly polarised bursts at fractional polarisation ratios $f_\text{c}>50$%. Using Stokes I light curves, we measure occurrence intervals of $\sim47$ and $\sim58$ minutes in the two observing epochs respectively with the first burst aligning within a half period timescale of the the previously measured mid infrared photometric period of $85.8\pm0.32$ minutes. We attribute the emission to the electron cyclotron maser emission (ECME) and constrain the magnetic field strength to $B\gtrsim1.4$ kG. We emphasise that the periods inferred are provisional considering the short observing durations. The combination of previously demonstrated atmospheric stability and newly detected radio emission in 2M2228 makes it a promising laboratory for testing magnetospheric currents-driven auroral models and for guiding future coordinated James Webb Space Telescope (JWST) and radio observations to probe the link between auroral activity and atmospheric dynamics in T-type brown dwarfs.
(Abridged) In the low-mass star formation process, theoretical models predict that material from the infalling envelope could be shocked as it encounters the outer regions of the disk. Nevertheless, only a few protostars show evidence of these shocks at the disk-envelope interface, and the main formation path of shocked-related species is still unclear. We present new ALMA observations of IRS 44, a Class I source that has previously been associated with accretion shocks, taken at high angular resolution (0.1"). We target multiple molecular transitions of CO, H2CO, and simple sulfur-bearing species. In continuum emission, the binary nature of IRS 44 is observed for the first time at sub-millimeter wavelengths. Infalling signatures are seen for the CO line and the emission peaks at the edges of the continuum emission around IRS 44 B, the same region where bright SO and SO2 emission is seen. Weak CS and H2CO emission is observed, while OCS, H2S, and H2CS transitions are not detected. IRS 44 B seems to be more embedded than IRS 44 A, indicating a non-coeval formation scenario or the rejuvenation of source B due to late infall. CO emission is tracing the outflow component at large scales, infalling envelope material at intermediate scales, and two infalling streamer candidates are identified at disk scales. Infalling streamers might produce accretion shocks when they encounter the outer regions of the infalling-rotating envelope. These shocks heat the dust and release S-bearing species as well as promoting a lukewarm chemistry in the gas phase. With the majority of carbon locked in CO, there is little free C available to form CS and H2CS in the gas, leaving an oxygen-rich environment. The high column densities of SO and SO2 might be a consequence of two processes: direct thermal desorption from dust grains and gas-phase formation due to the availability of O and S.
The earliest stages of disk formation and dust evolution during the protostellar phase remain poorly constrained. Millimeter dust emission and its polarization provide key insights into the physical processes and material distribution at the envelope-disk interface. We present ALMA polarimetric observations at 1.4 mm and 3 mm of two young stellar objects in Taurus, IRAS 04166+2706 (K04166) and IRAS 04169+2702 (K04169), probing scales from 25 au to 3000 au. We model the Stokes I emission to separate disk and envelope contributions and analyze the polarization properties to identify the dominant polarization mechanisms. K04166 shows extended Stokes I and polarized emission tracing a tentative hourglass magnetic field morphology in its envelope. In the inner envelope and disk (< 100 au), the properties of the polarized emission change, suggesting either a toroidal magnetic field or the presence of large grains. In contrast, K04169 exhibits compact Stokes I and polarized emission consistent with self-scattering from the disk. Both disks are extremely compact, but only K04166 retains a substantial envelope. Our multiscale ALMA polarimetric observations reveal a transition from magnetically aligned grains in envelopes to self-scattering in disks within the transition region of 20-50 au. These results provide important clues on dust grain growth and magnetic field morphology at the disk-envelope scales. Despite being embedded in the same filament, the two sources display striking differences, indicating that K04166 is a young embedded object with a substantial envelope threaded by relatively organized magnetic fields. Meanwhile, K04169 is more evolved, likely to be a young T-Tauri star. However, in both disks, the presence of large grains already suggests a scenario of early dust evolution in disks of the Class 0 stage.
Temperature and luminosity are the two key diagnostics of a star, yet these cannot come directly from survey data, but must be imputed by comparing those data to models. SED fitting offers a high-precision method to obtain both parameters for stars where both their distance and extinction are well known. The recent publication of many all-sky or large-area surveys coincides the publication of parallaxes and 3D extinction cubes from the Gaia satellite, making it possible to perform SED fitting of truly large ($>10^8$) numbers of Galactic stars for the first time. The analysis of this data requires a high level of automation. Here, we describe the ongoing Gaia All-Sky Stellar Parameters Service (GASPS): the fitting of 240 million SEDs from Gaia DR3 and the extraction of temperatures and luminosities for the corresponding stars using the PySSED code. We demonstrate the quality of the initial results, and the promise that these data show, from wavelength-specific information such as the ultraviolet and infrared excess of each star, to stellar classification, to expansion of the project beyond our own Galaxy, and mineralogical mapping of the Milky Way's interstellar medium.
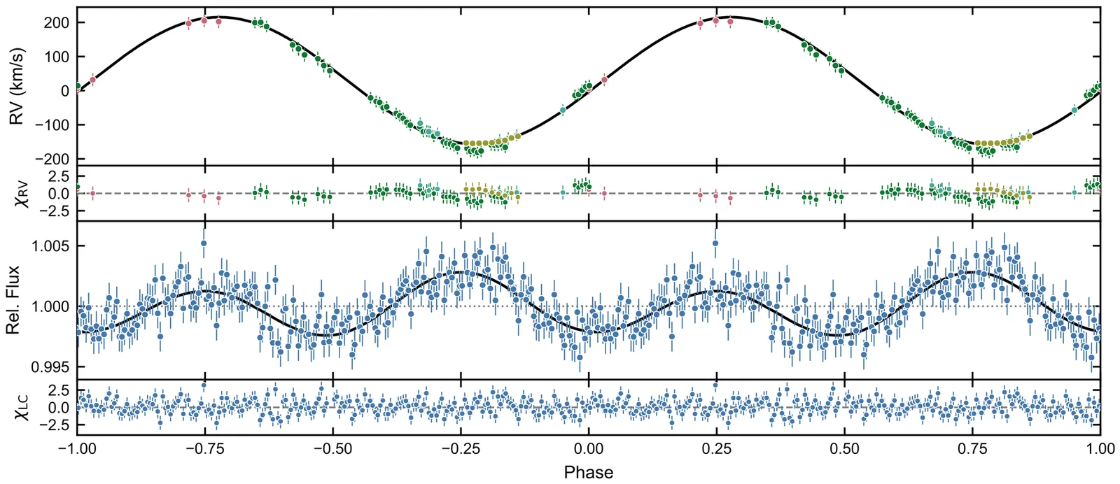
Massive short-period binaries involving hot subdwarf stars (sdO/Bs) are rare but important to constraining pathways for binary star evolution. Moreover, some of the most promising candidate progenitor systems leading to Type Ia supernovae (SNe Ia) involve sdO/Bs. LAMOST J065816.72+094343.1 has been identified as such a candidate. To explore the nature and evolutionary future of LAMOST J065816.72+094343.1, we complemented archival spectroscopic data with additional time series spectra and high-resolution spectroscopy of the object. After combining these with photometric data, we determined the orbital parameters of the system and the mass of the companion. We solved the orbit of the system by analyzing 68 low- and medium-resolution spectra using state-of-the-art mixed local thermodynamic equilibrium (LTE) and non-LTE model atmospheres. Additionally, we gathered nine high-resolution spectra to determine atmospheric parameters and the projected rotational velocity of the sdOB. The inclination angle of the system was constrained assuming tidal synchronization of the sdOB, which was verified via analysis of the ellipsoidal variations in the TESS light curve. We determine LAMOSTJ065816.72+094343.1 to be a binary consisting of a massive $0.82 \pm 0.17 \mathrm{M}_{\odot}$ sdOB component with a $1.30^{+0.31}_{-0.26} \mathrm{M}_{\odot}$ unseen companion. Due to the companion's mass being very close to the Chandrasekhar mass limit and high for a white dwarf, it is unclear whether it is a white dwarf or a neutron star. We find the system to be in a close orbit, with a period of $P=0.31955193 \mathrm{d}$ and an inclination angle of $i = 49.6^{+5.2}_{-4.2} \mathrm{deg}$. While the exact nature of the companion remains unknown, we determine the system to either lead to a SN Ia or an intermediate mass binary pulsar, potentially after a phase as an intermediate-mass X-ray binary.
We present a multiband (UBVRI) time-series photometric study of RR Lyrae (RRL) stars in the globular cluster Messier 53 (NGC 5024) to refine their pulsation properties and determine a precise cluster distance. The archival photometric data includes images taken over 22 years and 3 months using different optical telescopes, providing an excellent time baseline to investigate light curves of variable stars. Using Lomb-Scargle periodogram, we derived accurate periods for 29 fundamental-mode (RRab) and 35 first-overtone (RRc) RRLs. Template-fitting to phase-folded light curves provided robust mean magnitudes and amplitudes. The refined periods confirm M53 as an Oosterhoff II cluster, with a mean period of 0.649 days for RRab and 0.346 days for RRc, and a high RRc fraction (54.7\%). Most RRLs align with the horizontal branch in the color-magnitude diagram, while a few outliers result from blending effects. Period-amplitude diagrams show RRab stars following the Oosterhoff II locus. We derived I-band period-luminosity and multi-band period-Wesenheit relations, comparing them with theoretical predictions. A weighted mean distance modulus of 16.242 $\pm$ 0.05 mag yields a cluster distance of 17.717 $\pm$ 0.408 kpc, in agreement with recent estimates based on parallaxes from Gaia data.
Full-disk observations from missions such as the SDO and SOHO have enabled comprehensive studies of solar oscillations and dynamics. Interpreting helioseismic and photospheric data is complicated by systematic center-to-limb variations. To explore the physical origin of these variations, we perform local 3D radiative hydrodynamic simulations that include effects of solar rotation to generate 24-hour synthetic time series of continuum intensity and Doppler velocity for nine viewing angles spanning from -75 to 75 degrees. The simulations reveal a systematic decrease in oscillation power toward the limbs and a pronounced East-West asymmetry that increases with frequency, primarily due to rotation-induced flows. With increasing angular distance from the disk center, the amplitudes and widths of the surface gravity (f) and resonant pressure (p) modes decrease. In contrast, the amplitudes of the corresponding pseudo-modes with frequencies above the acoustic cut-off frequency increase in the intensity power spectra but are suppressed in the velocity spectra. The local helioseismology ring-diagram analysis of the simulation data further demonstrates anisotropic broadening of the modes and distinct differences in background noise and pseudo-mode structure between the intensity and velocity data. These results indicate that the center-to-limb effects arise from both geometric projection and physical factors such as line-formation height and potential effects of the radial differential rotation. The findings provide a framework for correcting helioseismic observations and demonstrate that realistic 3D radiative hydrodynamic simulations are a powerful tool for disentangling geometric and physical biases in solar data.
We investigate a possible origin for bursty radio emission observed on the active M dwarf V374 Peg, combining data-driven magnetic field modelling with archival radio light curves. We examine whether stellar prominence ejection can plausibly account for the observed radio bursts that have been attributed to electron cyclotron maser (ECM) emission. Our analysis shows that ejected prominences can produce the required energy range to drive the emission, and that modelled ECM visibility exhibits a rotational phase dependence consistent with the limited observational data (four observed bursts). The results support prominence ejection as a viable mechanism for ECM generation on V374 Peg and motivate further observational campaigns to constrain this process.
The brown dwarf desert describes a range of orbital periods (<5 years) in which fewer brown dwarf-mass companions have been observed around Sun-like stars, when compared to planets and low mass stellar companions. It is therefore theorised that brown dwarf companions are unlikely to form or remain in this period range. The Gaia space telescope is uniquely sensitive to companions in this period range, making it an ideal tool to conduct a survey of the brown dwarf desert. In this study, we use Bayesian inference to analyse data from nearby (<200pc) Sun-like stars in Gaia's DR3 catalogue, assuming single companions. From this, we identify 2673 systems (2.41% of the sample) with possible brown dwarf companions in this period range. Accounting for observational biases, we find that 10.4+0.8-0.6% of nearby Sun-like stars have astrometric errors consistent with a brown dwarf-mass companion with a period less than 5 years, significantly higher than previous studies which reported occurrence rates of <1%. However, we acknowledge the limitations of DR3 and are unable to make a definitive statement without epoch data. By simulating epoch data with multiple companions, we find that, while some of the data can be explained by multiple low-mass brown dwarf companions and high-mass planets (>10MJ), high-mass brown dwarfs (>50MJ) in this period range are comparatively rare. Finally, we used our studies of the brown dwarf distribution to predict the number of companions in the brown dwarf desert we can expect to discover in DR4.
Detection and characterization of small-scale energetic events such as nanoflares and nanojets remain challenging owing to their short lifetimes, small spatial extent, and relatively low energy release, despite their potential role in coronal heating. Recent observations have identified nanojets as small-scale (length $\lesssim 6.6$~Mm, width $\lesssim 1$~Mm), fast ($\sim$~few 100 km s$^{-1}$), and short-lived ($\lesssim 30$~s) ejections associated with nanoflare-scale energies, providing evidence of magnetic reconnection at small spatial scales. However, the lack of synthetic diagnostics has limited the connection between magnetohydrodynamic (MHD) models and observations. In this Letter, we present synthetic observations of the coalescence of two flux ropes, leading to nanojet-like signatures from a numerical model obtained with the \texttt{MPI-AMRVAC} code. We report synthetic observables in Extreme-ultraviolet lines compatible with existing instruments such as SDO/AIA, and upcoming MUSE mission, and compare the synthetic observables with an existing observation of nanojets. The synthetic diagnostics of the emissivity maps, Doppler velocity, thermal, and non-thermal line broadening produce key observational properties, suggesting a plausible 3D scenario for nanojet generation where tiny flux ropes reconnect within loops. Our results provide predictions for the detectability of nanojets with current and future spectroscopic facilities, and establish a bridge between MHD modeling and observations.