Phenomenology of early universe, cosmic microwave background, cosmological parameters, primordial element abundances, extragalactic distance scale, large-scale structure of the universe.
Looking for a broader view? This category is part of:
The accelerated expansion of the Universe remains one of the central open problems in modern cosmology. While the $Λ$CDM model successfully describes a wide range of observations, the physical nature of dark energy is still unknown, motivating the study of alternative theories of gravity. Among these, $f(R)$ models provide a well-established extension of General Relativity, capable of reproducing a $Λ$CDM-like background evolution without introducing an explicit dark energy component. However, they can induce deviations in the growth of cosmic structures, making them testable through observables sensitive to cosmological perturbations. In this work, we use weak gravitational lensing to constrain several viable $f(R)$ gravity models. We analyze their impact on the matter power spectrum, as well as on the convergence and cosmic shear power spectra. Our analysis is carried out within a Bayesian framework using the \textit{Cobaya} code and its modified gravity extension, \textit{MGCobaya}, which enables consistent theoretical predictions and their comparison with current weak lensing and CMB lensing data. We find that standard cosmological parameters remain consistent with the $Λ$CDM scenario for all models considered, as expected from their background degeneracy. Nevertheless, we obtain non-trivial and model-dependent constraints on the characteristic parameters of several $f(R)$ theories.
The possibility to constrain cosmological parameters from galaxy surveys using field-level machine learning methods that bypass traditional summary statistics analyses, depends crucially on our ability to generate simulated training sets. The latter need to be both realistic, as to reproduce the key features of the real data, and produced in large numbers, as to allow us to refine the precision of the training process. The analysis presented in this paper is an attempt to respond to these needs by (a) using clusters of galaxies as tracers of large-scale structure, together with (b) adopting a 3LPT code (Pinocchio) to generate a large training set of $32\,768$ mock X-ray cluster catalogues. X-ray luminosities are stochastically assigned to dark matter haloes using an empirical $M-L_X$ scaling relation. Using this training set, we test the ability and performances of a 3D convolutional neural network (CNN) to predict the cosmological parameters, based on an input overdensity field derived from the cluster distribution. We perform a comparison with a neural network trained on traditional summary statistics, that is, the abundance of clusters and their power spectrum. Our results show that the field-level analysis combined with the cluster abundance yields a mean absolute relative error on the predicted values of $Ω_{\rm m}$ and $σ_8$ that is a factor of $\sim 10 \%$ and $\sim 20\%$ better than that obtained from the summary statistics. Furthermore, when information about the individual luminosity of each cluster is passed to the CNN, the gain in precision exceeds $50\%$.
The slitless spectroscopic method employed by missions such as Euclid and the Chinese Space Station Survey Telescope (CSST) faces a fundamental challenge: spectroscopic redshifts derived from their data are susceptible to emission line misidentification due to the limited spectral resolution and signal-to-noise ratio. This effect systematically introduces interloper galaxies into the sample. Conventional strict selection not only struggles to secure high redshift purity but also drastically reduces completeness by discarding valuable data. To overcome this limitation, we develop an XGBoost classifier that leverages photometric properties and spectroscopic diagnostics to construct a high-purity redshift catalog while maximizing completeness. We validate this method on a simulated sample with spectra generated by the CSST emulator for slitless spectroscopy. Of the $\sim$62 million galaxies that obtain valid redshifts (parent sample), approximately 43% achieve accurate measurements, defined as $|Δz| \leq 0.002(1+z)$. From this parent sample, the XGBoost classifier selects galaxies with a selection efficiency of 42.3% on the test set and 42.2% when deployed on the entire parent sample. Crucially, among the retained galaxies, 96.6% (parent sample: 96.5%) achieve accurate measurements, while the outlier fraction ($|Δz|>0.01(1+z)$) is constrained to 0.13% (0.11%). We verified that simplified configurations which exclude either spectroscopic diagnostics (except the measured redshift) or photometric data yield significantly higher outlier fractions, increasing by factors of approximately 3.5 and 6.3 respectively, with the latter case also introducing notable catastrophic interloper contamination. This framework effectively resolves the purity-completeness trade-off, enabling robust large-scale cosmological studies with CSST and similar surveys.
Gravitational wave spectral sirens can provide cosmological constraints by using the shape of the binary black hole (BBH) mass distribution (MD). However, the precision and accuracy of these constraints depends critically on the capturing all the MD features. In this work, we analyze 137 BBH events from the latest GWTC-4.0 with a novel data-driven semiparametric approach based on \textsc{Bspline} that adaptively places knots around the most informative structures in the MD, while keeping the dimensionality of the parameter space moderate. Our flexible models resolve three distinct peaks at $\sim10$, $18$, and $33\,\mathrm{M}_\odot$ and are statistically preferred over standard parametric models, with Bayes factors up to 226. Because these features are correlated with $H_0$, the semiparametric model yields, under different prior assumptions, 12%-21% improvement in the precision of $H_0$ relative to parametric models, providing $H_0 = 57.8^{+21.9}_{-20.6}\,\mathrm{km/s/Mpc}$ in the best case. Our results demonstrate that capturing the full complexity of the BBH mass distribution is essential for realizing the cosmological potential of spectral sirens as gravitational wave catalogs continue to grow.
With the release of the Gravitational-Wave Transient Catalog GWTC-4.0 by the LIGO-Virgo-KAGRA (LVK) collaboration, 218 candidate detections of gravitational waves (GWs) from compact binary coalescences (CBCs) have been reported. This milestone represents a major advancement for GW cosmology, as many methods, particularly those employing the spectral siren approach, critically depend on the number of available sources. We investigate the impact of a novel parametric model describing the full population mass spectrum of CBCs on the estimation of the Hubble constant. This model is designed to test the impact of heavy black holes in GW cosmology. We perform a joint inference of cosmological and population parameters using 142 CBCs from GWTC-4.0 with a false alarm rate smaller than 0.25 per year, using both spectral and dark siren approaches. With spectral sirens, we estimate the Hubble constant to be $H_0 = 78.8^{+19.0}_{-15.3}\,{\rm km s^{-1} Mpc^{-1}}$ (68% CL), while the dark siren method yields $H_0 = 82.5^{+16.8}_{-14.3}\,{\rm km s^{-1} Mpc^{-1}}$ (68% CL). These results improve the uncertainty by approximately 30.4% and 36.2%, respectively. We show that this improvement is linked to the presence of a new mass scale in the binary black hole mass spectrum at $63.3^{+4.8}_{-4.8}\,M_{\odot}$, which provides additional constraints on the Hubble constant. Besides providing the tightest standard-siren constraints on $H_0$, this highlights the importance of a heavy-mass feature in the black hole spectrum.
Line intensity mapping using atomic hydrogen (HI) has the potential to efficiently map large volumes of the universe if the signal can be successfully separated from overwhelmingly bright radio foreground emission. This motivates cross-correlations, to ascertain the cosmological nature of measured HI fluctuations, and to study their connections with galaxies and the underlying matter density field. However, these same foregrounds render the cross-correlation with projected fields such as the lensing of the cosmic microwave background (CMB) difficult. Indeed, the correlated Fourier modes vary slowly along the line of sight, and are thus most contaminated by the smooth-spectrum radio continuum foregrounds. In this paper, we implement a method that avoids this issue by attempting to measure the non-linear gravitational coupling of the small-scale 21cm power from the Canadian Hydrogen Intensity Mapping Experiment (CHIME) with large-scale Planck CMB lensing. This measurement is a position-dependent power spectrum, i.e. a squeezed integrated bispectrum. Using 94 nights of CHIME data between $1.0 < z < 1.3$ and aggressive foreground filtering, we find that the expected signal is five times smaller than the current noise. We forecast that incorporating the additional nights of CHIME data already collected would enable a signal-to-noise ratio of 3, without any further improvements in filtering for foreground cleaning.
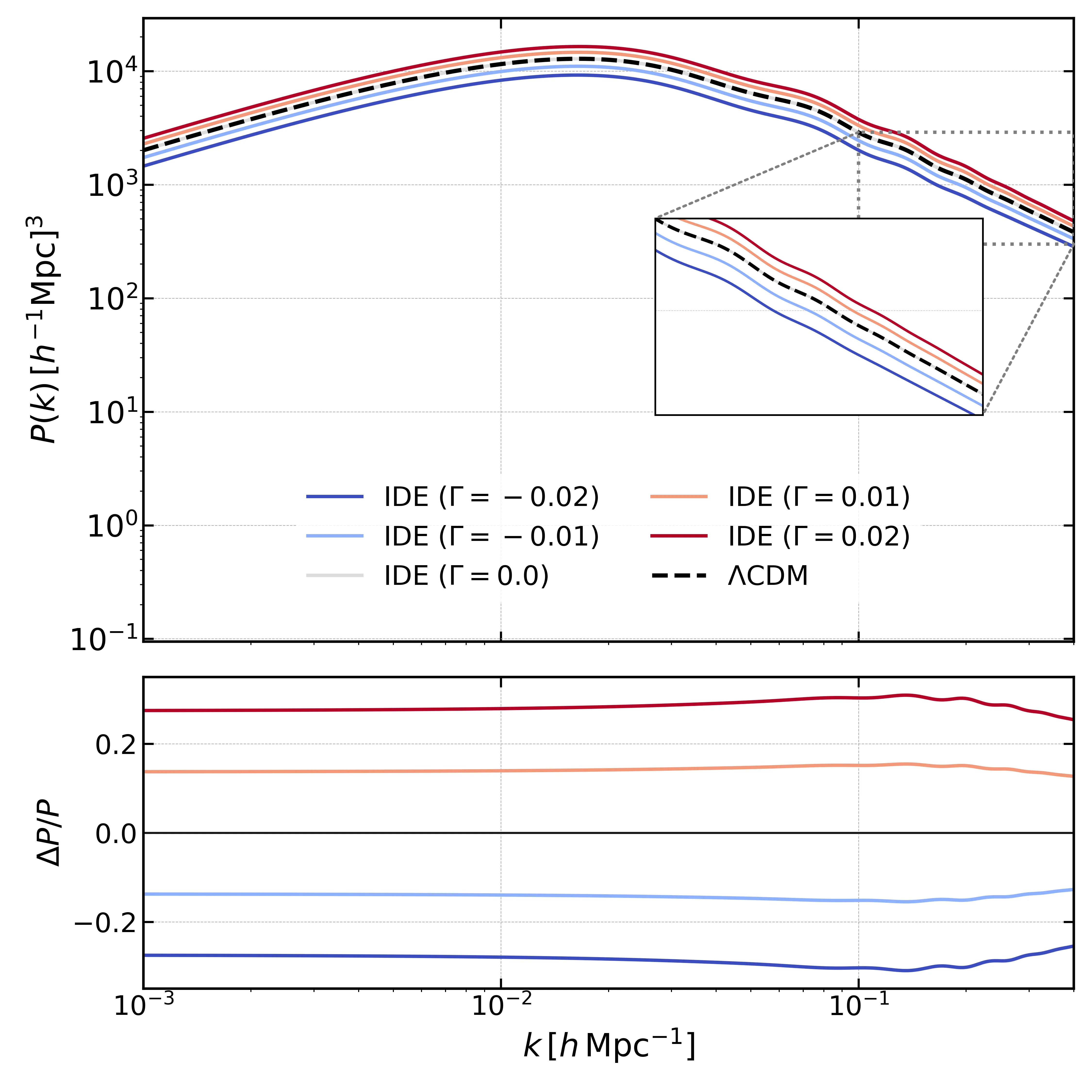
In this study, we present observational constraints on a class of phenomenological interacting dark energy (IDE) models that admit analytical solutions for the Hubble parameter $H(z)$. We consider a set of five linear and three non-linear IDE scenarios, encompassing both interactions proportional to the dark matter and/or dark energy densities, as well as non-linear combinations of the two. For all eight IDE models, we find a better fit than $Λ$CDM from a $Δχ^2$ analysis for both combinations of datasets considered. When using the Akaike Information Criterion ($Δ$AIC), we find a similarly improved fit in all cases, except for one dataset combination in $Q=3Hδρ_{\rm de}$. Our analysis also shows a preference for sign-switching interactions, with energy transfer from dark energy to dark matter at low redshift, reversing direction at higher redshift. These results should be interpreted with caution, as the latter direction of energy transfer is accompanied by negative dark energy densities in the past, which may be unphysical. Models that do not allow sign-changing behaviour instead show a preference for energy flow from dark matter to dark energy, and hence negative dark energy densities. The only exceptions are $Q=3Hδρ_{\rm de}$ and $Q=3Hδ\left(\tfrac{ρ_{\rm de}^2}{ρ_{\rm dm}+ρ_{\rm de}}\right)$, which exhibit energy flow in the opposite direction. Furthermore, for all interactions considered, we find a phantom-divide crossing in the effective dark energy equation of state $w^{\rm eff}_{\rm de}$, with the dark energy density decreasing ($w^{\rm eff}_{\rm de}>-1$) at present and at low redshift, while increasing ($w^{\rm eff}_{\rm de}<-1$) in the past at high redshift. These results highlight the promising, but problematic, nature of dark sector interactions, as well as the need to extend the analysis using early-time physics and datasets.
Recently, the Dark Energy Spectroscopic Instrument Data Release 2 (DESI DR2) suggests that the dark energy in our universe might be evolving, favoring the Chevallier-Polarski-Linder (CPL) parameterization and a lower Hubble constant. In our previous work, it has been reported that cosmological model with the non-singular bounce inflation (BI) scenario and $Λ$CDM might alleviate the Hubble tension into 3$σ$ confidence. In this paper, we study the cosmological model of BI with a dynamical dark energy. We find that individual consideration of the CPL parameterization and the data \texttt{DESI DR2} tend to larger Hubble constants for both BI and power law (PL) case with cosmic microwave background (CMB) data. Employing BI with combined CPL parameterization and \texttt{DESI DR2}, we obtain the Hubble constant $H_ 0 = 65.2^{ + 1.8}_{ - 2.2} \ \mathrm{km} \cdot \mathrm{s}^{ -1 } \cdot \mathrm{Mpc}^{ -1 }$, which is larger than $H_ 0 = 64.0 \pm 2.1 \ \mathrm{km} \cdot \mathrm{s}^{ -1 } \cdot \mathrm{Mpc}^{ -1 }$ for the PL case. After considering nontrivial weak lensing effect and spatial curvature as well as adding \texttt{Pantheon+}, BI fits 3.1$σ$ confidence of $Λ$CDM with $w_ 0 = -0.919 \pm 0.038$ and $w_{ \mathrm{a}} = -0.37 \pm 0.12$, and it prefers evolving dark energy than the PL case with $w_ 0 = -0.960 \pm 0.074$ and $w_{ \mathrm{a}} = -0.15^{ +0.28}_{ -0.25}$.
2601.02961In standard cosmology, Cosmic Microwave Background photons near the last scattering surface exhibit only linear polarization due to Compton scattering, leading to the assumption that primordial circular polarization is negligible. However, the physics of Lorentz violation (LV), associated with specific operators, can influence these polarization characteristics. This study employs the Boltzmann equation within the framework of the Standard Model Extension (SME) to explore how the background LV tensor $ K_{AF} $ can induce circular polarization in CMB radiation. By computing the transformation of linear polarization into circular polarization and utilizing the Faraday conversion angle, we derive a bound for $ K_{AF} $ on the order of $ 10^{-41} \, \text{GeV} $, aligning with recent findings. Additionally, we consider the total pure photon terms within the SME, demonstrating that LV in the presence of scalar perturbations can also generate cosmic birefringence (CB) in the CMB radiation. Through analysis of best-fitting CB angles, we establish a more stringent bound of approximately $ 10^{-32} \, \text{GeV} $ for $ K_{F} $.
Detecting and characterizing individual ionized bubbles during the Epoch of Reionization (EoR) using the redshifted HI 21-cm signal provides a direct probe of the early ionizing sources and the intergalactic medium. We develop and validate a computationally efficient estimator that operates on gridded visibilities to detect ionized bubbles. This serves as an accurate alternative to the more computationally demanding bare estimator that uses all baselines and frequency channels. Further, we employ a non-parametric foreground-subtraction method based on Gaussian process regression, which minimizes loss of the HI 21-cm signal and yields improved signal-to-noise ratios. Our analysis indicates that ionized bubbles at redshifts $z \sim 7 - 8$ can be detected with SNR $\gtrsim 10$ using $\sim 100$ hours of SKA1-Low AA$^*$ and AA4 observations. We further derive a scaling relation that connects the SNR to the bubble radius, redshift, total observing time, and the mean neutral hydrogen fraction of the surrounding IGM. This helps to quickly predict the observational outcome for any planned observations and is, therefore, useful for devising observational strategies. Finally, we apply a Bayesian likelihood framework with Markov Chain Monte Carlo sampling to the residual visibilities to recover ionized bubble properties, including radius, position, and the mean neutral fraction. The resulting posterior distributions demonstrate accurate recovery of the bubble parameters. This confirms the feasibility of robustly characterizing individual ionized regions with the SKA1-Low.
We propose an innovative definition of the scale at which the Universe becomes homogeneous based on measurements of velocities rather than densities. When using the matter density field, one has to choose an arbitrary scale (e.g. within 1\% of the average density) to define the transition to homogeneity. Furthermore, the resulting homogeneity scale is strongly degenerate with the galaxy bias. By contrast, peculiar velocities (PV) allow us to define an unambiguous scale of homogeneity, namely the distance at which the velocities between pairs of galaxies change from being on-average correlated to anti-correlated. Physically, this relates to when the motion of pairs of galaxies is influenced by the matter density between them, rather than beyond. The disadvantage is that peculiar velocities are more difficult to measure than positions, resulting in smaller samples with larger uncertainties. Nevertheless, we illustrate the potential of this approach using the peculiar velocity correlation functions obtained from the Sloan Digital Sky Survey PV catalog, finding an homogeneity scale of $R_H\approx 133\substack{+28 \\ -52}\, \rm{Mpc/h}$. Finally, we show that more precise measurements are within reach of upcoming peculiar velocity surveys, and highlight this homogeneity scale's potential use as a standard ruler within the standard cosmological model.
We present a numerical investigation of nonlinear cluster lens reconstruction using weak lensing mass mapping. Recent advances in imaging and shear estimation have pushed reliable reduced shear measurements closer to cluster cores, making mass reconstruction accessible in the nonlinear regime. However, the Kaiser-Squires based algorithm becomes unstable in cluster cores, where convergence $κ$ significantly deviates from zero and the linear approximation breaks down. To address this limitation, we develop a reconstruction framework with two key modifications: applying smooth masks to these regions and using a model-derived analytical solution as the initial guess, rather than assuming $κ= 0$. We validate our framework using simulated cluster lensing data with known mass distributions, incorporating realistic masks that arise from limitations in reduced shear measurements. We show that in the absence of shape noise, our framework yields high-fidelity mass reconstruction in regions of large reduced shear, with the best-performing method achieving residuals below $0.02 σ$ in the unmasked regions. This pushes mass reconstruction to higher accuracy in the nonlinear regime.
We explore the transition from the $Λ$CDM to an interacting dark sector by introducing a model with a redshift threshold that controls the onset of the energy transfer between the dark energy and the dark matter. Below the transition redshift, the interaction between dark matter and dark energy becomes active, while at earlier times the cosmological evolution coincides with that of $Λ$CDM. This approach allows us to determine the epoch in the comic history where the interacting effects have an impact in the description of the dark sector. We constrain the free parameters of the model using late-time cosmological observations, namely Cosmic Chronometers, DESI DR2 Baryonic Acoustic Oscillations, and Supernova data from the Pantheon Plus, Union3.0, and DES-Dovekie catalogues. The analysis provides an indication of a strong interacting term that describes energy transfer from dark energy to dark matter, which is activated at low redshifts. The PantheonPlus sample provides a threshold of $z_{T}<0.624$, the Union3.0 sample yields $z_{T}=0.400_{-0.23}^{+0.021}$, and the DES-Dovekie sample gives $z_{T}=0.371_{-0.26}^{+0.028}$. The model fits the data in a similar way to the CPL parametrization, without the dark energy to cross the phantom divide line.
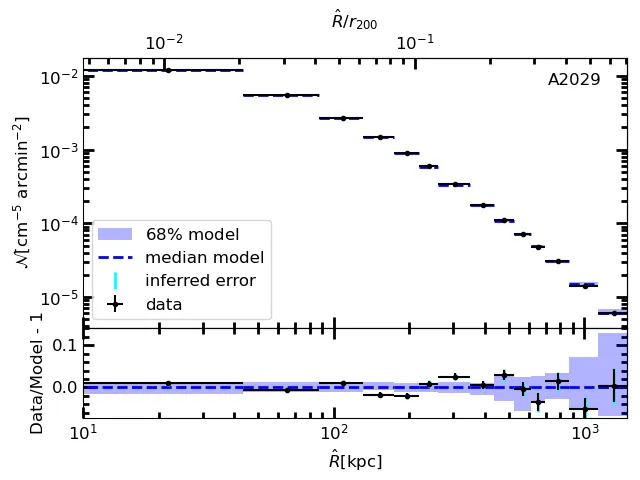
We constrain the rotation and turbulent support of the intracluster medium (ICM) in Abell 2029 (A2029), using dynamical equilibrium models and a combination of state-of-the-art X-ray datasets. We reduce and conduct the spectral analysis of the XRISM/Resolve data. The rotating, turbulent ICM in the model has a composite polytropic distribution in equilibrium in a spherically-symmetric, cosmologically motivated dark halo. The profile of rotation velocity and the distribution of turbulent velocity dispersion are described with flexible functional forms, consistent with the properties of synthetic clusters formed in cosmological simulations. Adopting realistic profiles for the metallicity distribution of the ICM and for the point spread function of XRISM and XMM-Newton, we tune via a Markov chain Monte Carlo algorithm the observables of the intrinsic quantities of the plasma in our model to reproduce the radial profiles of the thermodynamic quantities as derived from the spectral analysis of the XMM-Newton and Planck maps and the measurements of the line-of-sight (LOS) non-thermal velocity dispersion and redshift (probing the LOS velocity) in the XRISM pointings. Our model accurately reproduces the measurements of redshift and LOS non-thermal velocity dispersion, as further demonstrated by simulating and analyzing synthetic counterparts of the XRISM spectra, in accordance with the posterior distribution of our model. We find turbulence-to-total pressure ratio $\approx$ 2% across the (0 - 650) kpc radial range, and a rotation-to-dispersion velocity ratio peaking at 0.15 between 200 - 600 kpc. The hydrostatic-to-total mass ratio is $\approx$ 0.97 at r2500, the radius enclosing an overdensity of 2500 times the average value.
Measuring the density profile and mass concentration of dark-matter haloes is a key test of the standard cold dark matter paradigm. Such objects are dark and thus challenging to characterise, but they can be studied via gravitational lensing. Recently, a million-solar-mass object was discovered superposed on an extended and extremely thin gravitational arc. Here we report on extensive tests of various assumptions for the mass density profile and redshift of this object. We find models that best describe the data have two components: an unresolved point-mass of radius $\leq10$ pc centred on an extended mass distribution with an almost constant surface density out to a truncation radius of 139 pc. These properties do not resemble any known astronomical object. However, if the object is dark matter-dominated, its structure is incompatible with cold dark matter models, but may be compatible with a self-interacting dark matter halo where the central region has collapsed to form a black hole. This detection could thus carry substantial implications for our current understanding of dark matter.
We study a minimal type-I seesaw framework in which a first-order phase transition (FOPT), driven by a singlet scalar, produces right-handed neutrinos (RHNs) through bubble collisions, realizing a cosmic-scale collider that probes ultra-high energy scales. The resulting RHN distribution sources novel low-frequency gravitational-waves (GWs) in addition to the standard bubble-collision contribution. A stable lightest RHN can account for the observed dark matter (DM) relic abundance for masses as low as $M_{1} \equiv m_{\rm DM} \gtrsim 10^{6}\,\mathrm{GeV}$, with the associated novel GW signal accessible in LISA, ET and upcoming LVK detectors. If the RHNs are unstable, their CP-violating decays generate the observed baryon asymmetry via leptogenesis for $M_{1} \gtrsim 10^{11}\,\mathrm{GeV}$ and phase transition temperatures $T_* \gtrsim 10^{6}\,\mathrm{GeV}$, for which the novel GW spectrum is detectable in ET, BBO and upcoming LVK. If RHN decays also populate a dark-sector fermion with mass $m_χ \in [10^{-4},10^{4}],\mathrm{GeV}$, successful co-genesis of baryons and asymmetric dark matter occurs for $T_* \gtrsim 10^{7}\,\mathrm{GeV}$ and $M_{1} \gtrsim 10^{9}\,\mathrm{GeV}$, naturally explaining $Ω_{\rm DM} \simeq 5Ω_{\rm B}$. The corresponding GW signals are testable with LISA, ET, and BBO. Finally, we analyze a UV-complete multi-Majoron model, based on a global $U(1)_N \times U(1)_{\rm B-L}$ extension, motivated from the hierarchy of lepton masses, which we dub as Mojaron collider. The corresponding FOPT in this model leaves a distinctive GW signature arising from RHN production during $U(1)_N$ symmetry breaking detectable by BBO, ET and upcoming LVK. Successful leptogenesis is realized for heaviest RHN mass $M_3 \sim 10^{10}\,\mathrm{GeV}$ and a $U(1)_N$ breaking vev $v_2 \sim \mathcal{O}(\mathrm{TeV})$, which sets the seesaw scale.
The statistical tension between early and late universe measurements of the Hubble constant ($H_0$) suggests that the dark sector is dynamical rather than static. We propose that this dynamics arises from a fundamental symmetry principle: the Spontaneous Breaking of Scale Invariance. We introduce the Dilaton ($χ$), a Pseudo-Nambu-Goldstone Boson (PNGB) associated with dilatation symmetry breaking. We demonstrate that a simple quadratic mass term in the fundamental theory transforms, via conformal coupling to gravity, into a ''thawing'' exponential potential $V(φ) \propto e^{-λφ}$ in the Einstein frame. Using recent Bayesian reconstructions of dark energy dynamics from Planck, Pantheon+, and SH0ES data, we constrain the potential slope to be $λ\approx 0.056$. We show that this observational value is not arbitrary but corresponds to a fundamental non-minimal coupling strength of $ξ\approx 7.8 \times 10^{-4}$. The Dilaton mechanism naturally generates the late-time equation of state evolution ($w_0 \approx -0.85$) required to alleviate the Hubble tension while protecting the field mass $m \sim H_0$ through approximate shift symmetry.
The nature of dark energy (DE) remains elusive, even though it constitutes the dominant energy-density component of the Universe and drives the late-time acceleration of cosmic expansion. By combining measurements of the expansion history from baryon acoustic oscillations, supernova surveys, and cosmic microwave background data, the Dark Energy Spectroscopic Instrument (DESI) Collaboration has inferred that the DE equation of state may evolve over time. The profound implications of a time-variable, ``dynamical" DE (DDE) that departs from a cosmological constant motivate the need for independent observational tests. In this work, we use cosmological hydrodynamical simulations of structure formation to investigate how DDE affects the properties of the Lyman-Alpha ``forest'' of absorption features produced by neutral hydrogen in the cosmic web. We find that DDE models consistent with the DESI constraints induce a spectral tilt in the forest transmitted flux power spectrum, imprinting a scale- and redshift-dependent signature relative to standard Lambda-CDM cosmologies. These models also yield higher intergalactic medium temperatures and reduced Lyman-Alpha opacity compared to Lambda-CDM. We discuss the observational implications of these trends as potential avenues for independent confirmation of DDE.
The Hubble tension is commonly framed as a discrepancy between local, late-time measurements favoring $H_0 \approx 73$ km s$^{-1}$ Mpc$^{-1}$ and early-time, Sound-Horizon-based measurements favoring $H_0 \approx 67$ km s$^{-1}$ Mpc$^{-1}$. We challenge this viewpoint by analyzing 83 Sound-Horizon-independent $H_0$ measurements, categorized into four classes: Distance Ladder measurements using local calibrators; Local One-Step $Λ$CDM measurements assuming the standard expansion history; Pure Local One-Step measurements independent of $H(z)$ shape; and CMB Sound Horizon free measurements using CMB data without the Sound Horizon scale. We find that the 29 Distance Ladder measurements yield $H_0 = 72.74 \pm 0.40$ km s$^{-1}$ Mpc$^{-1}$ ($χ^2_ν\equiv χ^2/d.o.f= 0.74$), while the 54 One-Step measurements collectively yield $H_0 = 68.67 \pm 0.46$ km s$^{-1}$ Mpc$^{-1}$ ($χ^2_ν= 0.85$), a $6.7σ$ tension exceeding the Planck--SH0ES discrepancy. This tension remains significant at $4.5σ$ after accounting for correlations. Among One-Step categories, Local One-Step $Λ$CDM measurements favor the lowest value ($H_0 = 67.18 \pm 0.90$ km s$^{-1}$ Mpc$^{-1}$), Pure Local One-Step yield an intermediate value ($H_0 = 70.38 \pm 1.00$ km s$^{-1}$ Mpc$^{-1}$), and CMB Sound Horizon Free measurements give $H_0 = 68.71 \pm 0.63$ km s$^{-1}$ Mpc$^{-1}$. Thus, that the Hubble tension is better characterized as a discrepancy between the Distance Ladder and all other methodologies, rather than an early-vs-late-time split. We also identify a $2.4σ$ internal tension among One-Step measurements: analyses assuming $Λ$CDM systematically recover lower $H_0$ values by about 3.2 km s$^{-1}$ Mpc$^{-1}$ compared to model-independent methods. This suggests either unrecognized systematics/physics in the Distance Ladder or deviations from $Λ$CDM in the late-time Universe.
2601.00443Assuming that Dark Matter is an ultralight scalar field which is coupled to electromagnetism via a gauge-kinetic function and which at the time of recombination is oscillating coherently over a Hubble patch, we show that there is a tachyonic instability for the gauge field modes which leads to the generation of magnetic fields on cosmological scales of sufficient amplitude to explain observations.