Earth and Planetary Astrophysics
Interplanetary medium, planetary physics, planetary astrobiology, extrasolar planets, solar system formation and evolution.
Looking for a broader view? This category is part of:
Interplanetary medium, planetary physics, planetary astrobiology, extrasolar planets, solar system formation and evolution.
Looking for a broader view? This category is part of:
The origin of carbon monoxide (CO) in Saturn's stratosphere remains uncertain, with proposed sources including internal thermochemical production, cometary impacts, and exogenic material from the rings and icy moons (i.e. Enceladus). We aim to constrain the vertical and meridional distribution of stratospheric CO and assess the relative contributions of these potential sources. Here, we analysed high-spectral-resolution ALMA observations of the CO (J=3-2) line obtained on 25 May 2018, sampling Saturn's limb from 20°S to 69°N. CO vertical profiles were retrieved using a line-by-line radiative transfer model combined with spectral inversion techniques, testing multiple prior scenarios representative of different source hypotheses. CO is confined to a narrow layer between 0.1 and 1 mbar, with a robust negative vertical gradient and mean abundances of (3.7+/- 0.8) x 10$^{-8}$ at 0.1 mbar and (7.2 +/- 0.9) x 10$^{-8}$ at 1 mbar. The meridional distribution is statistically homogeneous, with a marginal enhancement near 60° N plausibly related to Enceladus. No significant equatorial enhancement is detected. The absence of a strong equatorial enhancement rules out a long-lived steady source associated with ring infall. The observations are most consistent with a relatively recent ($\approx$200-year-old or younger) cometary impact whose material has since been horizontally mixed, while any Cassini Grand Finale ring influx was either too recent or inefficient to affect CO abundances at the probed pressure levels.
On 26 September 2022, the NASA Double Asteroid Redirection Test (DART) spacecraft impacted Dimorphos, the secondary component of the binary asteroid (65803)~Didymos. This experiment tested the Kinetic Impactor technology for diverting dangerous asteroids. Due to the impact, the binary system's angular momentum has changed, resulting in a significant change in the orbital period of Dimorphos. Precise values of the pre- and post-impact orbital periods were derived from a large set of photometric light curves measured for the Didymos-Dimorphos system during six apparitions from 2003 to 2023. We used these data to detect a possible change in the rotation period of the primary as a consequence of the impact. We analyzed the binary system's light curves using the binary asteroid light curve decomposition method. We selected parts of the light curves covering orbital phases outside mutual events, which represent the primary rotational light curves. We applied the light curve inversion method to construct a convex shape model of Didymos and determine its rotation period before and after the impact. These two periods were treated as independent free parameters of the modeling. We found a value of 2.2603891 +/- 0.0000002 h for the pre-impact period and 2.260440 +/- 0.000008 h for the post-impact period. Their difference 0.18 +/- 0.03 s is small yet significant, indicating that the rotation of Didymos became slower after the DART impact. The most plausible physical explanation is Didymos's post-impact reshaping, making its shape more oblate.
2601.04593Far-ultraviolet (FUV) radiation is a driving source of photochemistry in planetary atmospheres. Proper interpretation of atmospheric observations requires a full understanding of the radiation environment that a planet is exposed to. Using the Suborbital Imaging Spectrograph for Transition-region Irradiance from Nearby Exoplanet host stars (SISTINE) rocket-borne spectrograph, we observed the Sun-like binary system $α$ Centauri AB and captured the FUV spectrum of both stars simultaneously. Our spectra cover 980--1570 Å, providing the broadest FUV wavelength coverage taken in a single exposure and spanning several key stellar emission features which are important photochemical drivers. Combining the SISTINE spectrum with archival observations, model spectra, and a novel stellar activity model, we have created spectral energy distributions (SEDs) spanning 5 Å--1 mm for both $α$ Centauri A and B. We use the SEDs to estimate the total high-energy flux (X-ray--UV) incident on a hypothetical exoplanet orbiting $α$ Centauri A. Because the incident flux varies over time due to the orbit of the stellar companion and the activity level of each star, we use the VULCAN photochemical kinetics code to estimate atmospheric chemical abundances in the case of minimum and maximum flux exposure. Our results indicate that enhanced atmospheric mass loss due to stellar binarity will likely not be an issue for future exoplanet-hunting missions such as the Habitable Worlds Observatory when searching for Earth-like planets around Sun-like stars.
We present a detailed transit photometric analysis of the ultra-hot Jupiter WASP-12 b using data from the Transiting Exoplanet Survey Satellite (TESS). The study is based on publicly available calibrated light curves and target pixel files accessed through the Mikulski Archive for Space Telescopes (MAST) cloud infrastructure. After extracting and normalizing the photometric time series, the light curve was phase-folded using an initial ephemeris and modeled with a physical transit model to determine the system's geometric parameters. From the transit modeling, we measure the planet-to-star radius ratio, orbital inclination, impact parameter, and transit duration. Adopting stellar parameters from the literature, we derive the planetary radius and transit depth, confirming the highly inflated nature of WASP-12 b. Individual mid-transit times were measured and used to refine the orbital ephemeris through a weighted linear fit. The resulting refined orbital period and reference epoch improve the predictive accuracy of future transit times over the TESS observational baseline. An observed-minus-calculated (O-C) analysis reveals no statistically significant transit timing variations, indicating that the timing data are consistent with a linear ephemeris within the measurement uncertainties. This work demonstrates the capability of TESS photometry to provide precise transit characterization and ephemeris refinement for well-studied exoplanet systems, and provides updated parameters that are relevant for future atmospheric and dynamical investigations of WASP-12 b.
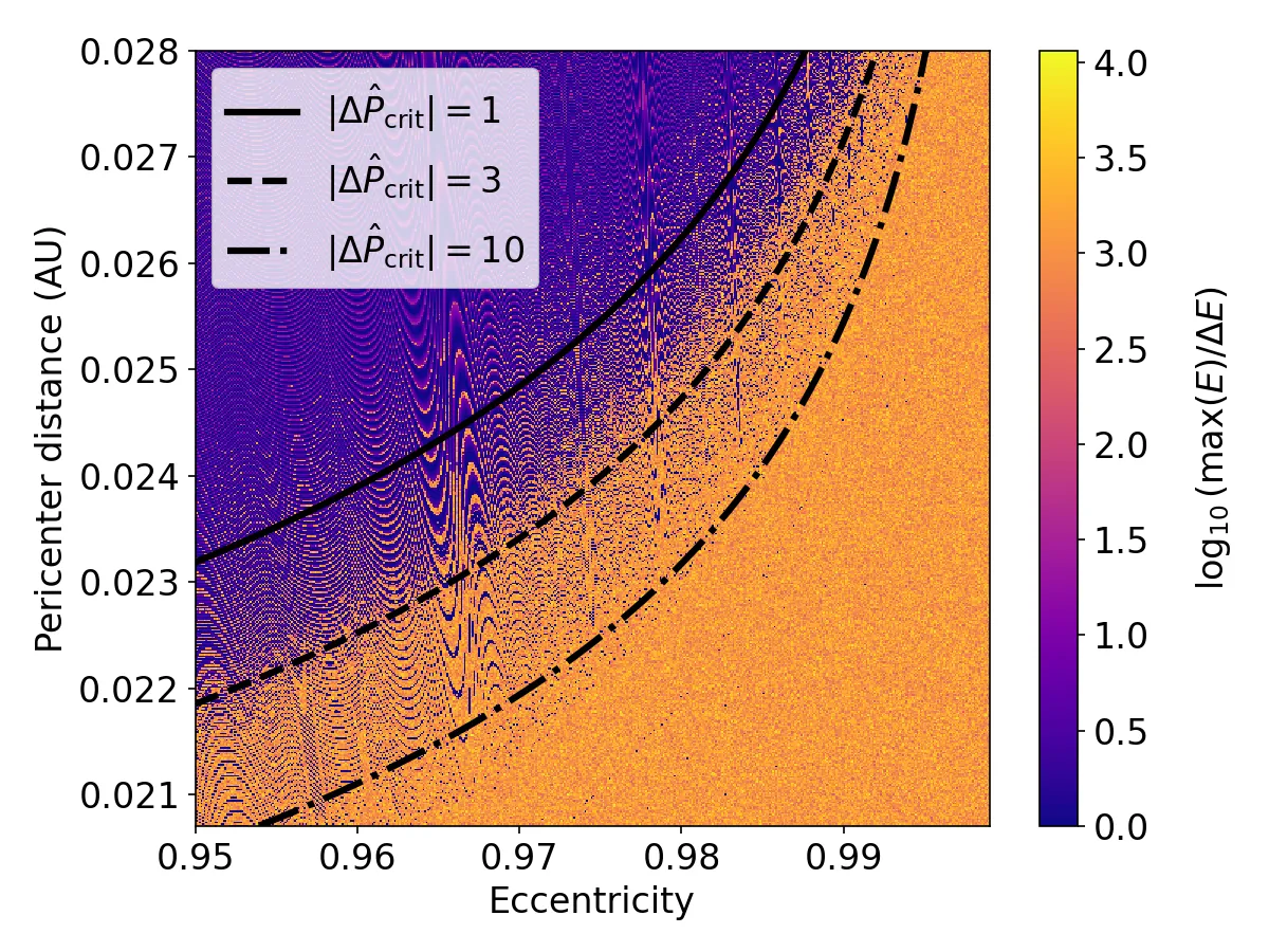
At high eccentricities, tidal forcing excites vibrational modes within orbiting bodies known as dynamical tides. In this paper, we implement the coupled evolution of these modes with the body's orbit in the \texttt{REBOUNDx} framework, an extension to the popular $N$-body integrator \texttt{REBOUND}. We provide a variety of test cases relevant to exoplanet dynamics and demonstrate overall agreement with prior studies of dynamical tides in the secular regime. Our implementation is readily applied to various high-eccentricity scenarios and allows for fast and accurate $N$-body investigations of astrophysical systems for which dynamical tides are relevant.
The stellar spin-orbit angles of Neptune-sized planets present a primordial yet puzzling view of the planetary formation epoch. The striking dichotomy of aligned and perpendicular orbital configurations are suggestive of obliquity excitation through secular resonance -- a process where the precession of a hot Neptune becomes locked onto a forcing frequency, and is slowly guided into a perpendicular state. Previous models of resonant capture have involved the presence of companion perturbers to the star-planet-disk system, but in most cases, such companions are not confirmed to be present. In this work, we present a mechanism for exciting Neptunes to polar orbits in systems without giant perturbers, where photo-evaporation is the self-contained mechanism. Photo-evaporation opens a gap in the protoplanetary disk at ~1 au, and the inner disk continues to viscously accrete onto the host star, precessing quickly due to the perturbation of the outer disk. As the inner disk shrinks, it precesses more slowly, and encounters a resonance with the J2 precession of the Neptune, quickly exciting it to a polar configuration. While likely not applicable to more massive planets which trigger back-reactions onto the disk, this mechanism reproduces the obliquities of small planets in multiple respects.
The models that most successfully reproduce the orbital architecture of the Solar System terrestrial planets start from a narrow annulus of material that grows into embryos and then planets. However, it is not clear how this ring model can be made consistent with the chemical structure of the inner Solar System, which shows a reduced-to-oxidized gradient from Mercury to Mars and a parallel gradient in the asteroid belt. We propose that there were two primary reservoirs in the early inner Solar System: a narrow, refractory enriched ring inside of 1 au, and a less massive, extended planetesimal disk outside of 1 au with oxidation states ranging from enstatite chondrites to ordinary chondrites. We show through a suite of N-body simulations that an inwardly sweeping secular resonance, caused by aerodynamic drag and perturbations from a mean-motion resonant Jupiter and Saturn, gathers the outer planetesimal disk into a narrow ring that migrates radially, forms Mars, and contributes oxidized material to proto-Earth. Remaining unaccreted planetesimals can be implanted into the asteroid belt as the parent bodies of aubrites and non-carbonaceous iron meteorites, while the most reduced material is not implanted and thus unsampled in the meteorite collection. This model explains the oxidation and isotopic gradients within the inner Solar System within the context of a low-viscosity, magnetic wind-driven disk.
We analyse the association between the NEAs 2021 PH27 and 2025 GN1, which share similar heliocentric Keplerian elements and the same taxonomic classification. First, we confirm the spectral similarity by getting independent colours measurements of 2025 GN1 and confirming that they are both X-type. From numerical integration of the orbits up to 100 kyr in the past, taking into account relativistic corrections, we found that the two asteroids experienced five similar flybys with Venus, but none of them were closer than the Roche limit. The perihelion distance also reached values between 0.1 and 0.08 au about 17/21 kyr and 45/48 kyr ago, but still well outside the Roche limit with the Sun. So, the origin of the pair by tidal disruption of a progenitor rubble-pile asteroid appears unlikely. On the other hand, we found periods lasting several thousand years where the perihelion was below 0.1 au, and this can lead to thermal fracturing of the surface. We found that the rotation period of the primary and the mass ratio secondary/primary make the pair indistinguishable from the binary systems known among the NEAs, and the YORP effect can double the rotation period of 2021 PH27 in $150 \pm 50$ kyr. So it is plausible that the pair was formed by the rotational disintegration of a rubble-pile asteroid due to anisotropic gas emission or the YORP effect, which formed a binary system that later dissolved due to the internal dynamics of the pair. We are unable to give a value for the separation age; we can only say that it occurred more than 10.5 kyr ago and may have occurred between 17/21 kyr ago during the last and longer phase of lower perihelion distance. In this scenario, little meteoroids released in space due to the fragmentation event are still near the pair's orbit and can generate a meteor shower in Venus' atmosphere.
In this paper, we investigate how external photo-evaporation influences the formation, dynamical evolution and the resultant planetary architecture of multi-planet systems born in stellar clusters. We use a model of N-body simulations of multiple planet formation via pebble accretion coupled with a 1-D viscous disc subject to external photo-evaporation. We found that external photo-evaporation reduces the planet growth by reducing the pebble mass reservoir in discs containing multiple planetary embryos across a wide range of disc masses, and is particularly effective in suppressing planet growth in less initially massive discs (< 0.1 M$_{\odot}$). However, in more initially massive ($\geq$ 0.1 M$_{\oplus}$) discs planets lost due to planet-planet interactions dominate the outcome for final resultant total planet mass, masking the effects of external photo-evaporation in curbing the planet mass growth. In terms of the final resulting planetary architectures, the signature of external photo-evaporation is visible in less massive (< 0.1 M$_{\odot}$) discs, with fewer numbers and lower masses of planets surviving in discs irradiated with stronger external FUV radiation. External photo-evaporation also leaves a signature for the wide orbit (> 10 au) terrestrial planets (0.1 - 1 M$_{\oplus}$), with fewer planets populating this region for stronger FUV field. Finally, the 1st-order resonant pairs fraction decreases with stronger FUV radiation, although the resonant pairs occur rarely regardless of the FUV radiation environment, due to the small number of planets that survive gravitational encounters.
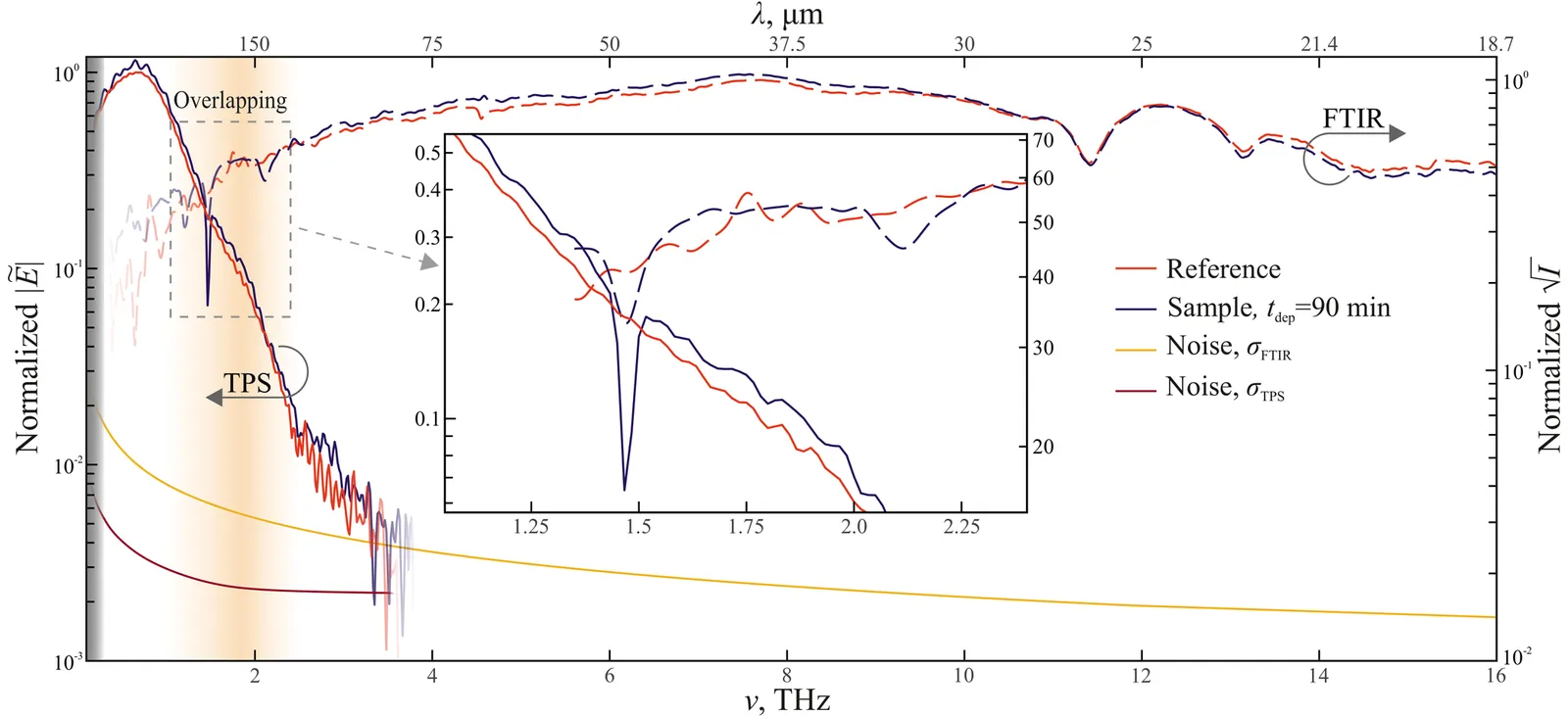
Context. Understanding the optical properties of astrophysical ices is crucial for modeling dust continuum emission and radiative transfer in cold, dense interstellar environments. Molecular nitrogen (N$_2$), a major nitrogen reservoir in protoplanetary disks, plays a key role in nitrogen chemistry, yet the lack of direct terahertz (THz)--infrared (IR) optical constants for N$_2$ ice introduces uncertainties in radiative transfer models, snowline locations, and disk mass estimates. Aims. We present direct measurements of the optical properties of N$_2$ ice over a broad THz--IR spectral range using terahertz pulsed spectroscopy (TPS) and Fourier-transform infrared spectroscopy (FTIR), supported by density functional theory (DFT) calculations and comparison with literature data. Methods. N$_2$ ice was grown at cryogenic temperatures by gas-phase deposition onto a cold silicon window. The THz complex refractive index was directly reconstructed from TPS data, while the IR response was derived from FTIR measurements using Kramers--Kronig relations. The optical response was parameterized with a Lorentz dielectric model and validated by DFT calculations. Results. The complex refractive index of N$_2$ ice is quantified from $ν= 0.3$--$16$~THz ($λ= 1$~mm--$18.75~μ$m). Resonant absorption peaks at $ν_\mathrm{L} = 1.47$ and $2.13$~THz with damping constants $γ_\mathrm{L} = 0.03$ and $0.22$~THz are attributed to optically active phonons of the $α$-N$_2$ crystal. Conclusions. We provide a complete set of the THz--IR optical constants for \ce{N2} ice by combining TPS and FTIR spectroscopy. Our results have implications for future observational and modeling studies of protoplanetary disk evolution and planet formation.
Planets with masses between Earth and Neptune often have radii that imply the presence of volatiles, suggesting that water may be abundant in their interiors. However, directly observing the precise water mass fraction and water distribution remains unfeasible. In our study, we employ an internal structure code MAGRATHEA to model planets with high water content and explore potential interior distributions. Departing from traditional assumptions of a layered structure, we determine water and rock distribution based on water-rock miscibility criteria. We model {wet planets} with an iron core and a homogeneous mixture of rock and water above it. At the outer regions of the planet, the pressure and temperature are below the rock-water miscibility point (the second critical point), causing the segregation of water and rock. Consequently, a shell of water is formed in the outermost layers. By considering the water-rock miscibility and the vapor state of water, our approach highlights the uncertainty in estimating the water mass fraction of detected exoplanets.
Observations indicate that disc fragmentation due to Gravitational Instability (GI) is the likely origin of massive companions to stars, such as giant planets orbiting M-dwarf stars, Brown Dwarf (BD) companions to FGK stars, and binary stars with separations smaller than 100 au. Additionally, we have recently showed that disc fragmentation in young rapidly evolving binary systems ejects an abundant population of massive Jupiter-mass Free-Floating Planets (FFPs). In this model, a massive disc around an initially single protostar undergoes GI and hatches a number of fragments; the most massive oligarch grows by runaway accretion into the secondary star. As the system rearranges itself from a single to a binary star configuration, a dramatic "pincer movement" by the binary ejects planets through dynamical interactions with the stars. Here we propose that the same scenario applies to an even more abundant population of smaller FFPs discovered by the microlensing surveys. Although disc fragmentation is usually believed to form only massive objects, several pathways for forming small core-dominated planets at separations of tens of au exist. We present results from three complementary simulation approaches, all of which confirm planet ejection efficiency as high as 0.5 for secondaries more massive than $\sim 10$\% of the primary star mass. On the other hand, Jovian mass planets migrate through the region of tens of au too rapidly to eject planets from that region. We discuss implications of this scenario, concluding that microlensing FFPs may be the most convincing evidence yet that disc fragmentation forms planets much less massive than Jupiter.
With the arrival of JWST observations of the TRAPPIST-1 planets, it is timely to reassess the contribution of tidal heating to their heat budget. JWST thermal phase curves could reveal endogenic heating through an anomalously high nightside temperature, providing an opportunity to estimate tidal heating. In this study, we revisit the tidal heating of these planets and propose a simple method to compute the tidal heating profile across a broad range of parameters. Our approach leverages a known formulation for synchronously rotating planets on low-eccentricity orbits and the fact that the profile shape depends solely on internal structure. We calculate the tidal heating contributions for all T-1 planets, with a particular focus on the impact of internal structure and eccentricity uncertainties on their total heat budget. Although the masses and radii of these planets are well constrained, degeneracies remain in their internal structure and composition. For volatile-poor planets of silicate-rock compositions, we investigate the role of core iron content by exploring a range of core sizes. For each structure, we compute the degree-two gravitational Love number, $k_2$, and the corresponding tidal heating profiles. We assume sub-solidus temperatures profiles that are decoupled from interior heat production, which means our estimates are conservative and likely represent minimum values. We find that the tidal heat flux for T-1b and c can exceed Io's heat flux, with uncertainties primarily driven by eccentricity. These high fluxes may be detectable with JWST. For T-1f to g, the tidal flux remains below Earth's geothermal flux, suggesting that tidal heating is unlikely to be the dominant energy source. For planets d and e, however, tidal heating likely dominates their heat budget, potentially driving intense volcanic and tectonic activity, which could enhance their habitability prospects.
We present new Rosseland and Planck mean opacity tables relevant to the shallow interiors and atmospheres of giant planets. The tables span metallicities from 0.31 to 50 times solar, temperatures from 100 - 6000 K, and pressures from 1e-6 - 1e5 bar, thereby covering a wider parameter space than previous data sets. Our calculations employ the latest molecular and atomic line lists and pressure-broadening treatments, and include contributions from collision-induced absorption, free electrons, and scattering processes. We further provide cloudy mean opacity tables that account for cloud particle extinction across a range of particle sizes and capture the sequential removal of condensates as the gas cools. We benchmark our cloud-free tables against widely used opacity tables and find significant relative differences, exceeding 100% in Rosseland mean opacities at T \gtrsim 3000 K due to the inclusion of additional short-wavelength absorbers. Differences in Planck mean opacities at high temperatures are even larger, in some cases exceeding two orders of magnitude, which is most likely driven by the inclusion of Ca, Mg, and Fe cross-sections and updated Na D and K I resonance line treatments. Cloud opacities substantially increase Rosseland mean opacities for T \lesssim 2800 K, while their effect on Planck mean opacities is weaker. We also discuss limitations of our mean opacities at high pressures, where non-ideal effects become important. This work provides improved cloud-free mean opacity tables for giant planets, as well as the first publicly available cloudy mean opacity tables, which will enable more realistic modeling of their atmospheres and interiors.
2601.02665We report the discovery of a sub-Neptune and a Neptune-like planet ($R_b = 2.48^{+0.14}_{-0.10}\,R_\oplus$, $R_c = 4.03^{+0.23}_{-0.15}\,R_\oplus$) orbiting the F-type star TOI-4495. The planets have orbital periods of 2.567 days and 5.185 days, lying close to a 2:1 mean-motion resonance (MMR). Our photodynamical analysis of the TESS light curves constrains the planetary masses to $M_b = 7.7 \pm 1.4\,M_\oplus$ and $M_c = 23.2 \pm 4.7\,M_\oplus$. The measured masses and radii indicate the presence of volatile-rich gaseous envelopes on both planets. The Rossiter-McLaughlin effect and the Doppler shadow of TOI-4495 c reveal a well-aligned orbit with a projected stellar obliquity of $λ= -2.3^{+8.3}_{-7.8}\,\mathrm{deg}$. Combined with the low mutual inclination constrained by the photodynamical analysis ($ΔI < 8.7\,\mathrm{deg}$), the planetary orbits are likely coplanar and aligned with the host star's spin axis. We show that the planets are near, but not in, the 2:1 MMR, with a circulating resonant angle. We also find substantial free eccentricity for the inner planet, TOI-4495 b ($e_b = 0.078^{+0.020}_{-0.013}$). Given the observed proximity to the 2:1 resonance and the more massive outer planet, TOI-4495 b and c are particularly susceptible to resonant overstability, which can convert resonantly excited eccentricity into free eccentricity. However, additional mechanisms (e.g., planetesimal scattering) may be required to further excite the eccentricity by $\sim 4\%$. To prevent tidal damping from reducing the eccentricity below the observed level over the star's lifetime (1.9 Gyr), the reduced tidal quality factor of TOI-4495 b must be $Q' \gtrsim 10^5$, consistent with the presence of a thick envelope on the planet.
Though missions devoted to time series photometry focus primarily on targets far beyond the solar system, their observations can be contaminated by foreground minor planets, especially near the ecliptic plane where solar system objects are most prevalent. Crucially, depending on one's choice of data reduction/background estimation algorithm, these objects can induce both apparent brightening and/or dimming events in processed light curves. To quantify the impact of these objects on archived TESS light curves, we used N-body integrations of all currently known minor planets to postdict all 600,000+ of their interactions with stars selected for high-cadence observations during TESS ecliptic plane sectors. We then created mock images of these moving sources and performed simple aperture photometry using the same target and background apertures used in SPOC processing. Our resulting 10,000+ target-specific light curves, which faithfully model the time-dependent positions and magnitudes of the actual solar system objects that approached each target, reveal that $>95\%$ of high-cadence ecliptic plane targets experience a minor planet crossing within 1 TESS pixel of the source. Additionally, 50% of all $T>13$ mag targets experience at least one instantaneous moment where the contaminating flux from minor planets exceeds 1% of the target flux. We discuss these population-level results and others, and highlight several case studies of bright flybys.
Stellar photospheric heterogeneities (e.g., starspots, faculae) distort the stellar spectrum in transit and imprint wavelength-dependent biases on the planet-to-star radius ratio (Transit Light Source Effect, TLSE). The Rackham-TLSE (R-TLSE) prescription applies a disc-averaged correction based solely on filling factor and spectral contrast, but transmission spectroscopy also depends on limb darkening, active-region distribution, and transit geometry. We include these in a pixel-resolved framework, ECLIPSE-Xlambda, and run idealised noise-free model-model comparisons to R-TLSE. For LHS 1140 b, K2-18 b, and WASP-69 b, disc-averaged corrections differ from the pixel model by up to about 400 ppm in the optical for active hosts and non-equatorial transits, but stay below about 10 ppm in the near-infrared where limb darkening is weak. We then apply both approaches to the JWST/NIRISS SOSS spectrum of LHS 1140 b. With limb darkening set to zero, ECLIPSE-Xlambda recovers stellar-contamination parameters matching the reference R-TLSE solution, confirming consistency in the disc-averaged limit. With wavelength-dependent limb darkening, reproducing the short-wavelength slope via stellar contamination alone requires hot faculae (delta Tfac about 600 K; ffac about 0.35), equivalent to a circular facular region of radius about 0.6 Rstar (about 60% of the stellar radius) on the disc; such an extended unocculted region is physically unlikely even for an active M dwarf. Purely stellar contamination would therefore require extreme faculae, whereas a genuine atmospheric contribution complementing a more modest facular signal is more plausible. These results delineate the validity regime of R-TLSE and underscore the need for geometry-aware stellar-heterogeneity models including limb darkening in high-precision transmission spectroscopy.
Recent observations of small bodies of the Solar System showed evidence of the presence of refractory (asteroidal) material in the Oort cloud. Different models of the origin of the Solar System predict different numbers of rocky objects in the Oort cloud, meaning that measurement of this population can be used as an observational constraint for cosmogonic models. The aim of our work is to study how the data obtained from meteor observations can be used as a tool for distinguishing among the existing cosmogonic models. We investigated two meteor databases collected by the cameras of the All-Sky Meteor Orbit System (AMOS) located in the Canary Islands and in Chile. We describe methodology and results of the search for unusually strong rocky meteoroids on cometary orbits with the origin in the Oort cloud. These data will be used to calculate the fluxes of meteors of different compositions in order to constrain the ratio of icy and rocky components of the Oort cloud. For the flux determination, we estimate the observational time and effective area of the AMOS system.
Isotopic abundance ratios in protoplanetary disks are critical for understanding volatile inheritance and chemical evolution in planet-forming environments. We present Atacama Large Millimeter/submillimeter Array observations of the rare isotopologue 13C18O(2-1) at approximately 0.3 arcsec resolution from the disk around the Herbig Ae star HD 163296, combined with archival observations of C17O(2-1), C18O(1-0), and C17O(1-0), to empirically constrain carbon and oxygen isotopic ratios without detailed disk modeling. Both the C17O/13C18O(2-1) and C18O/C17O(1-0) flux ratios rise sharply across the CO snowline and flatten beyond 1.5 arcsec (r >= 150 au), where the emission becomes optically thin. This transition, reflecting a steep drop in CO column density set by the disk's thermal structure, makes HD 163296 an optimal case for isotopic analysis. Using beam-averaged intensities of the four transitions measured in this optically thin region, we derive isotopic ratios of 12C/13C = 75.3 (+14.7/-11.4) and 18O/17O = 3.28 (+0.31/-0.26), both consistent with local interstellar medium values. The 16O/18O ratio remains weakly constrained due to moderate optical depth in the C18O(1-0) line and degeneracy with CO column density. These results demonstrate that rare CO isotopologues can provide robust, empirical constraints on isotopic ratios in disks when sharp structural transitions allow for the identification of optically thin regions, and establish HD 163296 as a benchmark for extending such studies to other systems with resolved snowline structures.
The rise of oxygen in the Earth's atmosphere during the Great Oxidation Event (GOE) occurred about 2.3 billion years ago. There is considerably greater uncertainty for the origin of oxygenic photosynthesis, but it likely occurred significantly earlier, perhaps by 700 million years. Assuming this time lag is proportional to the rate of oxygen generation, we can estimate how long it would take for a GOE-like event to occur on a hypothetical Earth-analog planet orbiting the star TRAPPIST-1 (a late M star with Teff 2560 K). Although in the habitable zone, an Earth-analog planet located in TRAPPIST-1e's orbit would receive only 0.9% of the Photosynthetically Active Radiation (PAR) that the Earth gets from the Sun. This is because most of the star's light is emitted at wavelengths longer than the 400-700 nm PAR range. Thus it would take 63 Gyrs for a GOE to occur. But the linear assumption is problematic; as light levels increase, photosynthesis saturates then declines, an effect known as photoinhibition. Photoinhibition varies from species to species and depends on a host of environmental factors. There is also sensitivity to the upper wavelength limit of the PAR: extending just 50 nm increases the number of photons by a factor of 2.5. Including these and other factors greatly reduces the timescale to roughly 1-5 Gyrs for a GOE. However, non-oxygenic photosynthetic bacteria can thrive in low-light environments and can use near-IR light out to 1100 nm, providing 22 times as many photons. With this huge light advantage, and because they evolved earlier, anoxygenic photosynthesizers would likely dominate the ecosystem. On a late M-star Earth-analog planet, oxygen may never reach significant levels in the atmosphere and a GOE may never occur, let alone a Cambrian Explosion. Thus complex animal life is unlikely.