Nuclear physics experiments including heavy-ion collisions.
Looking for a broader view? This category is part of:
We present a method to measure electric-charge transport in high-energy nuclear collisions using a beam-energy scan of isobaric systems. Comparing collisions of nuclei with identical mass number but different atomic number allows the charge difference ($ΔQ$) to be extracted with a double-ratio technique that suppresses most experimental systematic uncertainties. By varying the beam energy, the rapidity gap ($Δy$) over which electric charge is transported can be systematically scanned. Simulations of Ru+Ru and Zr+Zr collisions at $\sqrt{s_{\rm NN}}$=19.6-200GeV with UrQMD and PYTHIA Angantyr show that midrapidity $ΔQ$ decreases exponentially with increasing $Δy$, with the slope parameter exhibiting strong model dependence. Comparisons with the baryon number transport reveal distinct patterns. In both UrQMD and PYTHIA Angantyr (with and without final-state baryon junctions), where baryon number is carried solely by valence quarks, the rapidity slope for baryon transport is larger than that for electric-charge transport. In contrast, scenarios that include baryon junctions in the initial state are expected to produce the opposite trend. This demonstrates that an isobar beam-energy scan provides a sensitive probe of electric-charge transport and offers new constraints on the microscopic mechanisms governing conserved-charge redistribution in QCD matter.
Studying the final state interactions and finding possible bound states is helpful for understanding the strong interactions and comprehending the equation-of-state (EoS) of the nuclear matter. In these proceedings, we present recent femtoscopy results of \pXi{}, \LaLa{}, \pOm{} femtoscopic correlations with high statistics Isobar (Ru+Ru, Zr+Zr) and Au+Au collisions measured by the STAR experiment. For the \pXi{} and \pOm{} pairs, the centrality dependence of source size and the scattering parameters are extracted with the Lednický-Lyuboshitz approach. The results show that there is an attractive interaction in \pXi{} pairs and a bound state in \pOm{} pairs.
Kaonic atoms provide a unique laboratory to investigate the interplay between atomic, nuclear, and strong-interaction physics. In heavy nuclei, atomic transitions can couple to low-lying collective nuclear excitations via the electric quadrupole interaction. When the energy difference between two kaonic atomic levels approaches that of a nuclear $2^+$ excitation, a resonant configuration mixing may occur, known as the E2 nuclear resonance effect. In this work, we investigate the conditions for E2 resonance in kaonic molybdenum isotopes. We describe the mixing using state-of-the-art Dirac-Fock calculations combined with updated nuclear structure inputs, including recent electric quadrupole transition strength values and excitation energies. We evaluate the sensitivity of the effect to key parameters, assess its observability in future experiments such as the EXKALIBUR program, and discuss its impact on cascade dynamics. Our results demonstrate the potential of kaonic atoms as a probe of nuclear structure, complementary to conventional nuclear spectroscopy.
We present a general, discovery-grade framework for searching for weakly coupled new particles emitted in nuclear de-excitation following neutron capture. Rather than relying on isolated spectral features, the method exploits correlated ``satellite-line combs'': multiple weak $γ$-ray lines appearing at a common energy offset $Δ$ below known capture transitions. By combining likelihood information across many parent lines and multiple target nuclei, the approach strongly suppresses nuclear-structure ambiguities and instrumental artifacts. We also discuss optimal target selection and practical experimental implementation with high-resolution HPGe detectors.
The weak binding and spatially extended neutron densities characteristic of drip-line nuclei give rise to a distinctive low-energy dipole response. The drip-line nucleus $^8$He is the most neutron-rich bound nucleus with a mass-to-charge ratio of $A/Z=4$. We measure the dipole response of $^8$He, including for the first time the four-neutron decay channel. A total dipole strength of $\sum B(E1)(E^*<15$~MeV$)=0.95(16)~e^2$fm$^2$ and a dipole polarizability of $α_D = 0.61(1)$~fm$^3$ are extracted from the differential Coulomb-excitation cross section and compared to state-of-the-art theoretical calculations employing coupled cluster and three-body approaches. We find that the dipole continuum is dominated, even at high excitation energies well above the $4n$ decay threshold, by two-neutron emission, pointing to a $^6$He$+2n$ structure of the excited dipole mode. No indication was found for a $4n$ final-state correlation, while pronounced $nn$ and $^6$He-$n$ final-state correlations are apparent.
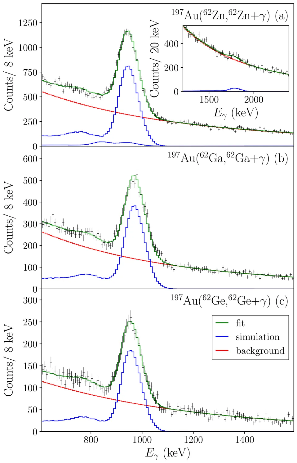
Isospin symmetry in the $A=62$ mass system was investigated through Coulomb excitation reactions at the RIKEN Radioactive Isotope Beam Factory. Beams of $^{62}$Zn, $^{62}$Ga, and $^{62}$Ge were studied using the BigRIPS-ZeroDegree-DALI2$^+$ setup under identical experimental conditions, allowing for cancellation of systematic uncertainties. Inelastic scattering cross sections measured with two different targets were used to extract nuclear deformation lengths and $E2$ matrix elements. The isospin symmetry of the $A=62$ system was rigorously tested by examining the linearity of the proton matrix elements within the triplet with high precision. The observed linear relationship between the reduced proton matrix elements for the three nuclei holds within experimental uncertainties, providing a stringent test of isospin symmetry. This experiment provides the most accurate test, to date, of isospin symmetry rules using transition matrix elements. These results were interpreted using large-scale shell-model calculations, offering valuable insights into isospin symmetry behavior in this region of the nuclear chart.
This work presents measurements of the transverse-momentum-dependent observable $v_{0}(p_\mathrm{T})$ as a novel probe of radial expansion dynamics in Pb$-$Pb collisions at $\sqrt{s_\mathrm{NN}} = 5.02$ TeV with the ALICE detector. Results are reported for inclusive charged hadrons, pions, kaons, and protons across centrality intervals, using a pseudorapidity gap to suppress short-range nonflow correlations. At low $p_\mathrm{T}$, a clear mass ordering is observed, consistent with hydrodynamic expectations. For $p_\mathrm{T} > 3$ GeV/$c$, protons exhibit larger $v_{0}(p_\mathrm{T})$ than pions and kaons, in line with quark recombination models. These results demonstrate the sensitivity of $v_{0}(p_\mathrm{T})$ to collective expansion and hadronization dynamics in the quark--gluon plasma.
Understanding the thermal structure of the outer crust of accreting neutron stars is important to interpret astronomical X-ray observations. Ground-state to ground-state $β$-decay transitions of neutron-rich nuclei comprising the crust enable Urca neutrino cooling processes that affect this thermal structure. Here we constrain the ground-state to ground-state transition strengths for the decays of $^{57}$Sc, $^{57}$Ti, and $^{59}$Ti based on experimental data. The data were obtained by combining total absorption $γ$-spectroscopy data from the SuN detection system with $β$-delayed neutron emission data from the NERO detection system at Michigan State University's National Superconducting Cyclotron Laboratory. We find $\log ft=$5.8$^{+0.3}_{-0.2}$ and $\log ft=$5.34$^{+0.08}_{-0.24}$ for the decays of $^{57}$Ti and $^{59}$Ti, respectively, and find no evidence for ground-state feeding in the decay of $^{57}$Sc. The results indicate weaker transitions than predicted by theory and indicated by previous measurements, resulting in reduced efficiency of neutrino cooling in accreted neutron star crusts in systems that exhibit X-ray superbursts.
The NA61/SHINE spectrometer at the CERN Super Proton Synchrotron (SPS) scans particle production in collisions of nuclei with various sizes at a set of energies covering the SPS energy range towards various physics goals. This paper presents the first differential production measurements of deuterons at energies relevant for cosmic-ray studies, produced in inelastic p+p interactions at incident projectile momentum of 158 GeV/c ($\sqrt{s}$ = 17.3 GeV). The double-differential spectra are presented as functions of rapidity and transverse momentum and are compared to predictions of the thermal and coalescence models. These measurements are essential for improving our understanding of cosmic (anti)nuclei production, as detecting cosmic antinuclei can be a breakthrough approach to identifying dark matter. The primary source of cosmic antinuclei background is interactions between cosmic-ray protons and interstellar hydrogen gas. Gaining a deeper insight into the deuteron production mechanism in p+p interactions is an essential first step in modeling cosmic antinuclei production.
The first measurement of the elliptic flow coefficient of (anti)${}^3_Λ$H and the study of the $v_2$ of $^3\overline{\mathrm{He}}$ measured in Pb-Pb collisions at $\sqrt{s_{\rm NN}} = 5.36$ TeV with the ALICE detector are presented. Based on the large data sample of approximately five billion events collected in 2023 during the LHC Run 3 data taking, these measurements provide important insights into the production mechanism of (anti)(hyper)nuclei, as well as into the phase-space distributions of nucleons and hyperons produced in heavy-ion collisions. The results are discussed in the context of hydrodynamic and coalescence models, highlighting how the measurement of the elliptic flow of nuclei, such as helium and hypertriton, provides critical constraints on hadronization models.
This paper presents the first measurements of $Ξ$ and $Ω$ hyperon yields at the highest multiplicities reached in pp collisions at $\sqrt{s} = 13$ TeV. This measurement exploits the high-multiplicity pp collisions collected by ALICE with dedicated triggers. The selected collisions are characterised by about 30 charged particles per unit of rapidity, over four times more than in minimum-bias pp collisions at the same centre-of-mass energy, and about twice as many as in minimum-bias p-Pb or very peripheral Pb-Pb collisions at similar energies. The production yields and average transverse momenta of the hyperons agree with trends indicated by previous measurements in pp collisions at lower multiplicities. The difference in average transverse momenta between pp and p-Pb collisions, observed with the new high-multiplicity pp data, provides additional insight into the underlying particle production mechanisms in small systems. The results support a strong correlation between multi-strange hadron production and final-state multiplicity regardless of the collision system at the LHC energies, extending this observation to the highest multiplicity reached in pp collisions. The comparison with several state-of-the-art models (Pythia8.2 with the Monash 2013 tune, Pythia8.2 with Ropes, and EPOS4) suggests that the description of strange-hadron production is improved by recently introduced features such as interactions between overlapping strings in Pythia8.2 with Ropes and the collective expansion of high-density string regions in EPOS4.
The ALICE collaboration reports the azimuthal-anisotropy coefficient $v_2$ of prompt D$^0$, D$^+$, D$^+_{\rm s}$ mesons and the first measurement of $v_2$ of prompt $Λ_{\rm c}$ baryons in semicentral Pb$-$Pb collisions at a center-of-mass energy per nucleon pair of $\sqrt{s_{\rm NN}} = 5.36$ TeV. The D mesons and $Λ_{\rm c}$ baryons are reconstructed in their hadronic decays at midrapidity ($ |y|<0.8$) in the transverse-momentum interval $0.5< p_{\rm T} < 24$ GeV/$c$. Similar $v_2$ values are measured for D$^0$ and D$^+$, while a hint of a difference ($2.6σ$) emerges between D$^0$ and D$^+_{\rm s}$ mesons in the $1 < p_{\rm T} < 5 $ GeV/$c$ interval. A larger $v_2$ for $Λ_{\rm c}$ baryons with respect to D$^0$ mesons is observed with $3.7σ$ significance for $4 < p_{\rm T} < 12$ GeV/$c$, providing evidence for the partonic origin of charm-hadron $v_2$ and hadron formation via quark coalescence. This interpretation is further supported by comparisons with theoretical calculations of charm-quark transport in a hydrodynamically expanding medium.
States in the neutron-rich isotope 51 Ca were populated via the 50 Ca(d, p) transfer reaction in inverse kinematics at a beam energy of about 14 AMeV. The experiment was performed using a decelerated radioactive 50 Ca beam from the OEDO facility and the TiNA2 silicon array in combination with the SHARAQ magnetic spectrometer at RIBF/RIKEN. The energies of excited states in 51 Ca were reconstructed via missing mass spectroscopy, and angular distributions of protons were measured to extract differential cross sections. From a comparison with adiabatic distorted wave approximation (ADWA) calculations, spectroscopic factors were deduced for several states, including the ground state and excited states up to 4.2 MeV. These results are compared with shell-model calculations, as well as ab initio valence-space in-medium similarity renormalization group (VS-IMSRG) predictions. The data support the assignment of the 1/2- and 5/2- single-particle states and provide evidence for a candidate 9/2+ state with a structure consistent with neutron excitation into the 0g9/2 orbital. These findings contribute new constraints on the single-particle structure and shell evolution in neutron-rich calcium isotopes.
Isotopic measurements of presolar silicon carbide grains from dying stars have revealed a puzzling overabundance of $^{94}$Mo that stellar nucleosynthesis models have failed to reproduce for two decades. This discrepancy challenged our understanding of the slow neutron-capture process ($s$-process) that forges approximately half of the elements heavier than iron. The key uncertainty lies at $^{94}$Nb, a radiactive branching point where competition between neutron capture and beta decay governs the $^{94}$Mo production, yet the neutron-capture cross section had never been measured. Here we report the first experimental determination of the $^{94}$Nb(n,$γ$)$^{95}$Nb cross section important for Mo isotopic abundances. The measurement was enabled by a coordinated effort involving high-purity target preparation at Institute of Solid State and Materials Research (IFW) Dresden, radioactive sample production at the Institut Laue-Langevin (ILL) Grenoble, radiochemical characterization at Paul Scherrer Institute (PSI) Villigen, and the Time-of-Flight CERN n$\_$TOF facility using for the first time segmented total-energy detectors. Incorporation of the resulting Maxwellian-averaged cross section into fully coupled nucleosynthesis models of low-mass asymptotic giant branch (AGB) stars brings them into agreement with the presolar grain data. These results remove a major nuclear-physics input uncertainty at the $^{94}$Nb branching point and provide a firmer foundation for understanding the origin of $^{94}$Mo in the solar system.
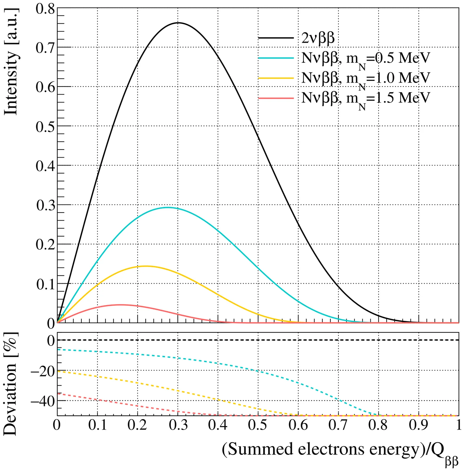
Sterile neutrinos are well-motivated extensions of the Standard Model, introduced to address fundamental questions such as the origin of neutrino masses and the nature of dark matter. Exploiting the precise data reconstruction achieved by the CUPID-0 experiment, we searched for spectral distortions in the double $β$-decay of $^{82}$Se compatible with the emission of a sterile neutrino. The analysis relies on the construction of a detailed background model down to 200 keV, enabling an accurate characterization of the main sources of contamination. Using a Zn$^{82}$Se exposure of 9.95 kg$\cdot$yr, we explored sterile neutrino mass hypotheses between 0.5 MeV and 1.5 MeV. No evidence for a signal was observed in any scenario; therefore, we derived 90% C.I. upper limits on the active-sterile mixing probability $\sin^2θ$, obtaining the most stringent bound, $\sin^2θ<8\times 10^{-3}$, for a sterile neutrino mass of 0.7 MeV.
The low-excitation states of atomic nuclei in the region around the $N = Z = 28$ shell closure are generally well described by the shell model. Most experimental observables in the iron isotopes $^{56}$Fe, $^{58}$Fe, and $^{60}$Fe ($Z = 26$; $N=30$, $32$, $34$) support a shell-model description. However, the lifetimes of the $4_1^+$ state in $^{58}$Fe in the literature result in a reduced transition strength that deviates markedly from shell-model predictions. There are three independent measurements, all in agreement and all based on the Doppler Shift Attenuation Method (DSAM) or Doppler-Broadened Line Shape method (DBLS). In this work, Coulomb-excitation measurements were performed on $^{56}$Fe and $^{58}$Fe beams to determine the ratios $B(E2; 4_1^+ \to 2_1^+)/B(E2; 2_1^+ \to 0_1^+)$. Thus, $B(E2; 4_1^+ \to 2_1^+)$ is determined relative to the known $B(E2; 2_1^+ \to 0_1^+)$ values. For $^{56}$Fe, $B(E2; 4_1^+ \to 2_1^+) = 23(4)$ W.u., agreeing with the adopted value. However, for $^{58}$Fe, the $B(E2; 4_1^+ \to 2_1^+)$ values obtained (for the various combinations of matrix element signs that could not be firmly established) are all significantly lower than the value derived from the previous lifetime measurements, and are in accord with shell-model calculations. The 1978 DSAM measurement of Bolotin et al., Nucl. Phys. A 311, 75 (1978), has been re-examined. The discrepancy between that measurement and the Coulomb-excitation measurement can be ascribed to the Lindhard-Scharff-Schiøtt (LSS) electronic stopping powers adopted for the DSAM analysis, which considerably overestimate contemporary values. Evidently, lifetime measurements from that era that are based on LSS stopping powers should be used with caution. The revised lifetime data, incorporating current stopping powers, are compared with shell-model calculations.
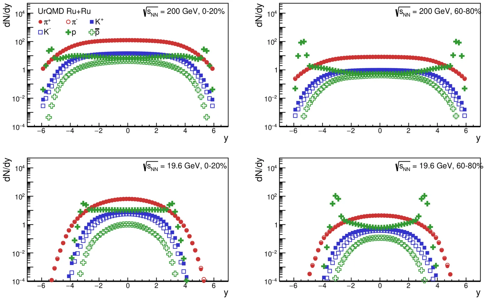
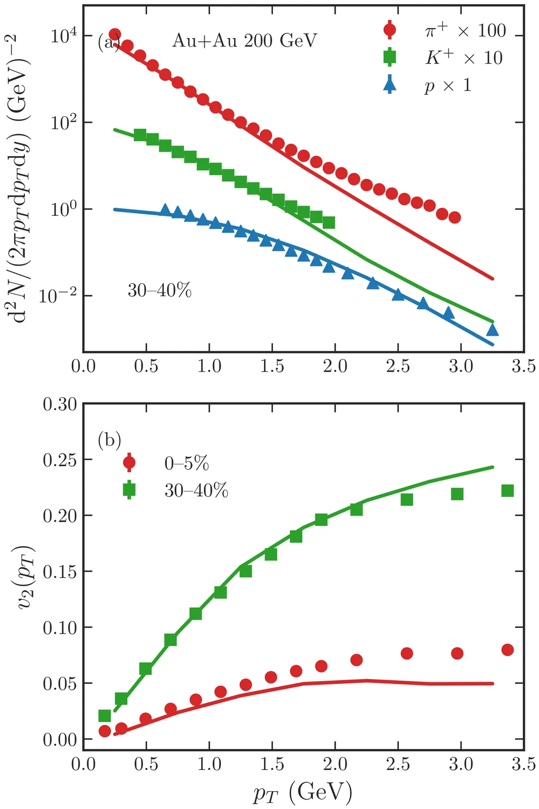
In this article we will review recent measurements of directed flow $v_1$ and elliptic flow $v_2$ in Au+Au collisions from the STAR Beam Energy Scan (BES) program. We systematically analyze the $v_1$ distributions for identified hadrons ($π^\pm$, $K^\pm$, $p/\bar{p}$) and $Λ$ hyperon as functions of rapidity ($y$), with particular focus on the mid-central collisions. The energy dependence of the $v_1$ slope is extracted across the BES range ($\sqrt{s_{NN}}$ = 3 -- 200 GeV). The atomic mass number ($A$) dependence of light and hyper nuclei $v_1$ to test the validity of the coalescence production mechanism. The constituent quark number (NCQ) scaling is systematically investigated based on $v_2$ measurements of identified particles and strange hadrons. We find that the NCQ scaling approximately holds in Au+Au collisions when $\sqrt{s_{NN}} \geq$ 4.5 GeV, but completely breaks down at $\sqrt{s_{NN}}$ = 3.0 and 3.2 GeV. The gradual restoration of NCQ scaling from 3.2 to 4.5 GeV suggests a possible transition in the dominant degrees of freedom from hadrons to partons. The physics of collectivity, equation of the system and relevance to the QCD phase diagram will be discussed within the framework of both hydrodynamic and hadronic transport model calculations.
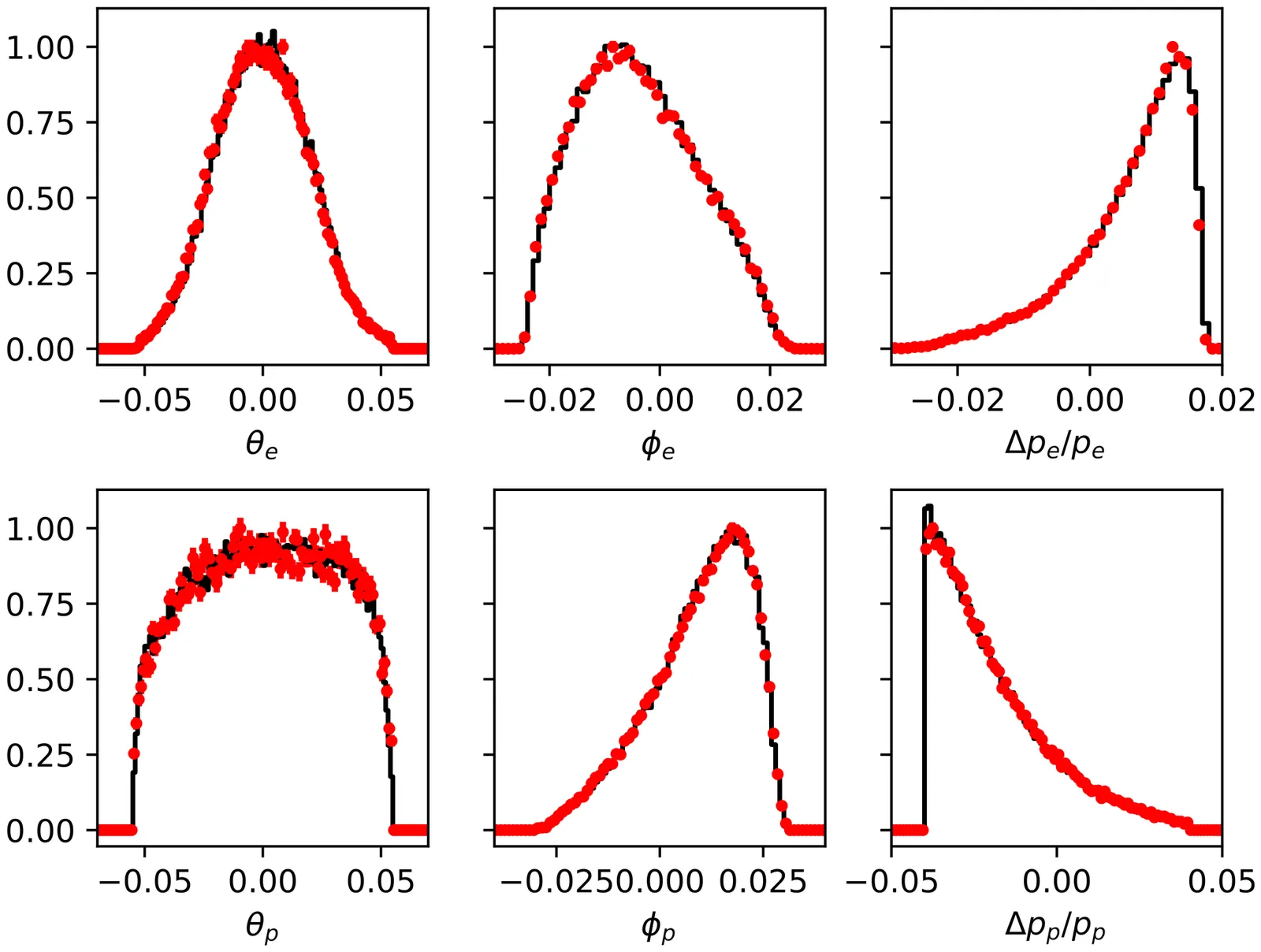
The d(e,e'p) cross section was measured at momentum transfers $Q^2 = $ 0.8, 2.1 and 3.5 $(GeV/c)^2$ covering a wide range of proton kinematics at each $Q^2$ setting that made it possible to study this reaction as a function of missing momentum as well as a function of the neutron laboratory recoil angle $θ_{nq}$. Missing momentum distributions were determined for fixed values of $θ_{nq}$ up to missing momenta of 0.65 $GeV/c$. For the two larger momentum transfer settings, the characteristics of the experimental momentum distributions confirm the theoretical prediction that final state interactions (FSI) contribute maximally around a $θ_{nq} \sim 70^\circ$, while for $θ_{nq} < 45^\circ$ FSI are significantly reduced. The data at reduced FSI settings were best reproduced by calculations using the CD-Bonn potential wave functions.
Experimental setups commonly used to study fission properties of nuclei in the exotic neutron-deficient 180Hg region are based on the time-of-flight technique for the fission-product identification. The nuclei of interest are created via fusion reactions at excitation energies of several tens of MeV and identified with limited mass resolution. The deduced final fission-fragment mass distributions are in general structureless, which makes the identification of fission modes, along with their properties, ambiguous and author-dependent. The standard functional-analysis technique applied to the simulated limited-resolution fusion-fission data appears to provide consistent results on the number and parameters of fission modes, even in cases of strong symmetric-mode dominance, i.e. for Gaussian-like fission-fragment mass distribution shapes. The method is shown to work also on data sets with limited statistics (real experimental data with integral of a few tens of thousands of events).
The longitudinal invariance of jet-induced peaks in two-particle correlation functions from relativistic lead-lead collisions is experimentally explored. The data were collected at a center-of-mass energy per nucleon pair of 5.02 TeV in 2018 using the CMS detector. The dataset corresponds to an integrated luminosity of 0.607 nb$^{-1}$. Long- and short-range correlations are studied through two-dimensional distributions of the separations in pseudorapidity and azimuth between particles in an event. Jets manifest as a well-defined peak at small angular separations, and the shape of this peak provides insight into jet medium interactions. This Letter examines the evolution of the jet peak shape, focusing on the dependence of its width and longitudinal asymmetry on the transverse momentum, collision centrality, and pseudorapidity of the associated charged particles. The jet-peak distributions of lower transverse momentum particles broaden in both pseudorapidity and azimuth with increasing collision overlap, with the broadening in pseudorapidity being more pronounced. The longitudinal asymmetry of the peaks is also found to increase as the average pseudorapidity increases. These results are compared to proton-proton collision data that were obtained at the same nucleon-nucleon collision center-of-mass energy with an integrated luminosity of 252 nb$^{-1}$.