Neural computation, brain modeling, and cognitive science
Information flow is central to contemporary accounts of cognition, yet its physical basis in living neural matter remains poorly specified. Here, we develop a multiscale resource-theoretical framework motivated by the \textit{thermocoherent effect}, where heat flow is reciprocally coupled to a delocalized information flow carried by shared coherence and not reducible to local subsystem variables. Extending this line of work in light of recent results on correlation-enabled Mpemba-type thermal relaxation, we argue that the operational relevance of correlations depends less on their taxonomy than on their dynamical accessibility under the underlying interaction geometry. Relational structure encoded in the state of a single composite system -- including quantum entanglement, quantum discord, and classical correlations -- may therefore act as a usable physical resource that remains hidden from local subsystem descriptions. We propose that electrical, chemical, ionic, and thermal transport processes in neural matter may, under suitable microscopic conditions, generate or transduce partially hidden relational resources whose mutual coupling can progressively build larger-scale thermocoherent organization across spatial or spatiotemporal partitions in neural tissue. Ion-channel interfaces, hydrogen-bonded proton networks, aromatic $π$-electron architectures, and phosphate-rich motifs emerge as plausible substrate classes in which such resources may arise, become transiently accessible under environmental coupling, and leave coarse-grained signatures in neural dynamics. The resulting picture is neither a claim of macroscopic quantum cognition nor a reduction of cognition to abstract coding, but a falsifiable framework in which microscopic relational resources can bias transport, relaxation, signaling, and cross-scale neural coordination.
Connectome-constrained neural networks are often evaluated against sparse random controls and then interpreted as evidence that biological graph topology improves learning efficiency. We revisit that claim in a controlled flyvis-based study using a Drosophila connectome, a naive self-loop-matched random graph, and a degree-preserving rewired null. Under weak controls, in which both models were recovered from a connectome-trained checkpoint and the null matched only global graph counts, the connectome appeared substantially better in early loss, mean activity, and runtime. That picture changed under stricter controls. Training both graphs from a shared random initialization removed the early loss advantage, and replacing the naive null by a degree-preserving null removed the apparent activity advantage. A five-sample degree-preserving ensemble and a pre-training activity-scale diagnostic further strengthened this revised interpretation. We also report a descriptive mechanism analysis of the earlier weak-control comparison, but we treat it as behavioral characterization rather than proof of causal superiority. We show that previously reported topology advantages in connectome-constrained neural networks can arise from initialization and null-model confounds, and largely disappear under fair from-scratch initialization and degree-preserving controls.
Background music shapes attention, affect, and approach behavior in commercial environments, yet the neural plausibility of AI-generated music for such settings remains poorly characterized. We present an in-silico pilot study that combines Wubble, a generative music system, with TRIBE v2, a publicly released whole-brain encoding model, to estimate cortical response profiles for prompt-conditioned retail music. Five fully instrumental tracks were generated to span low-to-high arousal, sparse-to-dense arrangement, and neutral-to-positive valence prompts, then analyzed with audio-only TRIBE v2 inference on loudness-normalized waveforms. Analysis focused on fsaverage5 cortical predictions summarized over auditory, superior temporal, temporo-parietal, and inferior frontal HCP parcels. The fast bright major-pop condition produced the largest whole-cortex mean activation (0.0402), the strongest prefrontal ROI composite response (0.0704), and the highest parcel means in IFJa (0.1102), IFJp (0.0995), A5 (0.0188), and area 45 (0.0015). Pairwise spatial correlations ranged from 0.787 to 0.974, indicating that prompt variation modulated predicted cortical states rather than yielding a single undifferentiated response profile. Predicted cortical surface maps further revealed visually distinct spatial organization between low-arousal and high-arousal conditions. These results support a cautious claim of cortical neurological plausibility: prompt-conditioned AI music can systematically shift predicted auditory-temporal-prefrontal patterns relevant to salience and valuation. Although the study does not establish subcortical reward engagement or consumer behavior, it provides a reproducible framework for neural pre-screening and pre-optimization of commercial music generation against biologically informed cortical proxies.
Creative thinking is a fundamental aspect of human cognition, and divergent thinking-the capacity to generate novel and varied ideas-is widely regarded as its core generative engine. Large language models (LLMs) have recently demonstrated impressive performance on divergent thinking tests and prior work has shown that models with higher task performance tend to be more aligned to human brain activity. However, existing brain-LLM alignment studies have focused on passive, non-creative tasks. Here, we explore brain alignment during creative thinking using fMRI data from 170 participants performing the Alternate Uses Task (AUT). We extract representations from LLMs varying in size (270M-72B) and measure alignment to brain responses via Representational Similarity Analysis (RSA), targeting the creativity-related default mode and frontoparietal networks. We find that brain-LLM alignment scales with model size (default mode network only) and idea originality (both networks), with effects strongest early in the creative process. We further show that post-training objectives shape alignment in functionally selective ways: a creativity-optimized \texttt{Llama-3.1-8B-Instruct} preserves alignment with high-creativity neural responses while reducing alignment with low-creativity ones; a human behavior fine-tuned model elevates alignment with both; and a reasoning-trained variant shows the opposite pattern, suggesting chain-of-thought training steers representations away from creative neural geometry toward analytical processing. These results demonstrate that post-training objectives selectively reshape LLM representations relative to the neural geometry of human creative thought.
Speech production requires the rapid coordination of a complex hierarchy of linguistic units, transforming a semantic representation into a precise sequence of articulatory movements. To unravel the neural mechanisms underlying this feat, we leverage recordings from eight 3.2 x 3.2 mm 64-microelectrode arrays implanted in the motor cortex and inferior frontal gyrus of two patients tasked to produce twenty thousand sentences. We show that a hierarchy of linguistic features are robustly encoded in most of these small cortical patches. Contrary to our expectations, instead of a clear macroscopic organization between patches, we observe a multiplexing of phonetic, syllabic and lexical representations within each cortical patch. Critically, this coding scheme dynamically changes over time to allow successive phonemes, syllables and words to be simultaneously represented without interference. Overall, these results, reminiscent of position encoding in transformers, show how small cortical patches organize the unfolding of the speech hierarchy during language production.
Neural communication operates on both fast synaptic transmission and slower, diffusive extrasynaptic signaling, yet how these two modes jointly organize brain function remains unclear. Here, using the complete synaptic and neuropeptidergic connectomes of \emph{Caenorhabditis elegans}, we develop a unified multiplex framework linking anatomical wiring to functional communication. We infer structure-derived functional connectivity from the synaptic connectome using equilibrium principles from statistical physics, yielding a probabilistic map of information flow across all synaptic pathways, and compare this functional layer directly with the extrasynaptic connectome. This reveals a principled functional specialization across four communication regimes: (i) a topology-dependent layer that reinforces and stabilizes synaptic motor circuits, (ii) a topology-resilient modulatory layer supporting global regulation and behavioral state control, (iii) a purely extrasynaptic network sustaining survival and homeostasis, and (iv) a purely synaptic regime mediating rapid, low-latency sensorimotor processing. Together, these findings reveal that synaptic and extrasynaptic signaling form complementary architectures optimized for speed, modulation, robustness, and survival, and provide a general strategy for integrating structural and modulatory connectomes to understand how distinct communication modes cooperate to sustain coherent brain function.
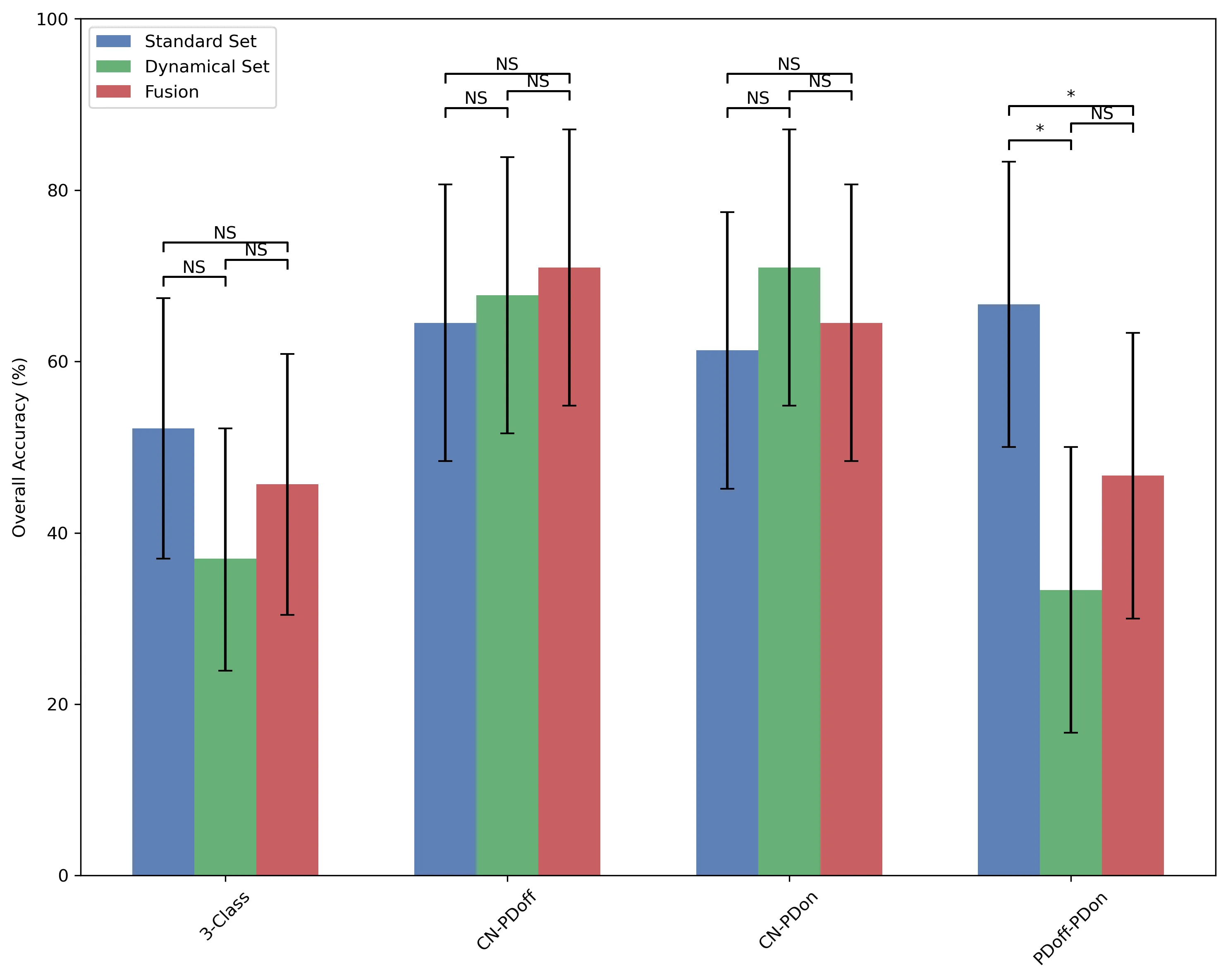
Parkinsons disease (PD) alters cortical neural dynamics, yet reliable non-invasive electrophysiological biomarkers remain elusive. This study examined whether interpretable EEG features capturing complementary aspects of neural dynamics can discriminate Parkinsonian neural states. A comprehensive set of interpretable features was extracted and grouped into Standard descriptors (spectral power, phase synchronization, time-domain statistics) and Dynamical descriptors (aperiodic activity, cross-frequency coupling, scale-free dynamics, neuronal avalanche statistics, and instantaneous frequency measures). A multi-head attention transformer classifier was trained using strict LOSO validation. Group-level comparisons were performed to identify electrophysiological differences associated with disease and medication state. Standard feature sets achieved strongest performance in discriminating medication states (PDoff vs PDon), whereas Dynamical performed competitively in contrasts between PD patients and healthy controls. Random feature ablation analyses indicated that Dynamical descriptors provide complementary information distributed across features while correlation analysis revealed low redundancy within both feature sets. Group-level comparisons revealed medication-sensitive reductions in delta power and voltage variance, modulation of neuronal avalanche statistics, persistent increases in theta phase synchronization in PD patients, and disease-related alterations in cross-frequency interactions. Traditional spectral and synchronization features primarily reflect medication-related neural modulation, whereas dynamical descriptors reveal broader alterations in cortical network organization associated with disease but also with medication. These findings support multivariate EEG representations as a promising framework for developing non-invasive biomarkers of PD.
This work presents the Parallelized Hierarchical Connectome (PHC), a general framework that upgrades temporal-only State-Space Models (SSMs) into spatiotemporal recurrent networks. Conventional SSMs achieve high-speed sequence processing through parallel scans, yet are limited to temporal recurrence without lateral or feedback interactions within a single timestep. PHC maps the diagonal SSM core to a shared Neuron Layer and inter-neuronal communication to a shared Synapse Layer, where neurons are partitioned into hierarchical regions governed by the connectome topology. A Multi-Transmission Loop enables intra-slice spatial recurrence, allowing signals to propagate across the hierarchical connectome within each temporal window while preserving O(logT) parallelism. This framework enables integration of neuro-physical priors typically intractable for standard SSMs, including adaptive leaky integrate-and-fire dynamics, Dale's Law, short-term plasticity, and reward-modulated spike-timing-dependent plasticity. The framework is instantiated as PHCSSM, the first model to unify recurrent spiking neural network dynamics with diagonal SSM parallelism while enforcing all five biological constraints and learnable lateral connections within a fully parallelizable training pipeline. Empirical results on physiological benchmarks from the UEA multivariate time-series archive demonstrate that PHCSSM achieves performance competitive with state-of-the-art SSMs while reducing parameter complexity from Theta(D^2 L) for L-layer stacked architectures to Theta(D^2). These findings suggest that biologically grounded inductive biases offer a principled route to parameter-efficient sequence modeling, opening diagonal SSMs to spatiotemporal recurrence and enabling fully parallelizable recurrent spiking neural network training.
This study examines the evolution of Intelligent and Secure Smart Hospital Ecosystems using a Scoping Review with Bibliometric Analysis (ScoRBA) to map research patterns, identify gaps, and derive policy implications. Analyzing 891 journal articles from Scopus (2006-2025) through co-occurrence analysis, network visualization, overlay analysis, and the Enhanced Strategic Diagram (ESD), the study applies the PAGER framework to link Patterns, Advances, Gaps, Research directions, and Evidence-based policy implications. Findings reveal three interrelated clusters: AI-driven intelligent healthcare systems, decentralized privacy-preserving digital health ecosystems, and scalable cloud-edge infrastructures, showing a convergence toward integrated ecosystem architectures where intelligence, trust, and infrastructure reinforce each other. Despite progress in AI, blockchain, and cloud computing, gaps remain in interoperability, real-world implementation, governance, and cross-layer integration. Emerging themes such as explainable AI, federated learning, and privacy mechanisms highlight areas needing further research. Policy-relevant recommendations focus on coordinated governance, scalable infrastructure, and secure data ecosystems, particularly for developing country contexts. The study bridges bibliometric evidence with actionable policies, supporting informed decision-making in smart hospital development.
Brain connectomics is still largely dominated by pairwise-based models, such as graphs, which cannot represent circulatory or higher-order functional interactions. In this paper, we propose a multimodal framework based on Topological Signal Processing (TSP) that models the brain as a higher-order topological domain and treats functional interactions as discrete vector fields. We integrate diffusion MRI and resting-state fMRI to learn subject-specific brain cell complexes, where statistically validated structural connectivity defines a sparse scaffold and phase-coupling functional edge signals drive the inference of higher-order interactions (HOIs). Using Hodge-theoretic tools, spectral filtering, and sparse signal representations, our framework disentangles brain connectivity into divergence (source-sink organization), gradient (potential-driven coordination), and curl (circulatory HOIs), enabling the characterization of temporal dynamics through the lens of discrete vector calculus. Across 100 healthy young adults from Human Connectome Project, node-based HOIs are highly individualized, yet robust mesoscale structure emerges under functional-system aggregation. We identify a distributed default mode network-centered gradient backbone and limbic-centered rotational flows; divergence polarization and curl profiles defining circulation regimes with insightful occupancy and dwell-time statistics. These topological signatures yield significant brain-behavior associations, revealing a relevant higher-order organization intrinsic to edge-based models. By making divergence, circulation, and recurrent mesoscale coordination directly measurable, this work enables a principled and interpretable topological phenotyping of brain function.
Causal inference in brain networks has traditionally relied on regression-based models such as Granger causality, structural equation modeling, and dynamic causal modeling. While effective for identifying directed associations, these methods remain descriptive and acyclic, leaving open the fundamental question of intervention: what would the causal organization become if a pathway were disrupted or externally modulated? We introduce a unified framework for counterfactual causal analysis that models both pathological disruptions and therapeutic interventions as an energy-perturbation problem on network flows. Grounded in Hodge theory, directed communication is decomposed into dissipative and persistent (harmonic) components, enabling systematic analysis of how causal organization reconfigures under hypothetical perturbations. This formulation provides a principled foundation for quantifying network resilience, compensation, and control in complex brain systems.
In many systems, communication proceeds by broadcasting rather than single source-target routing, but network structures that maximize signal lifetime are not well understood. Degree correlations are known to influence robustness and spreading, yet their effect on signal persistence has remained unclear. Here we introduce Copy-Spread-Annihilate dynamics, a minimal synchronous broadcasting model with annihilation. We show that signal lifetimes vary non-monotonically with assortativity and are maximized near neutral assortativity, where hub-driven amplification is strong but annihilation via short cycles is still limited. Applying this framework to the mouse connectome suggests assortativity as a structural control parameter for broadcast signal persistence in brain-like and other complex networks.
Understanding how the brain processes linguistic constructions is a central challenge in cognitive neuroscience and linguistics. Recent computational studies show that artificial neural language models spontaneously develop differentiated representations of Argument Structure Constructions (ASCs), generating predictions about when and how construction-level information emerges during processing. The present study tests these predictions in human neural activity using electroencephalography (EEG). Ten native English speakers listened to 200 synthetically generated sentences across four construction types (transitive, ditransitive, caused-motion, resultative) while neural responses were recorded. Analyses using time-frequency methods, feature extraction, and machine learning classification revealed construction-specific neural signatures emerging primarily at sentence-final positions, where argument structure becomes fully disambiguated, and most prominently in the alpha band. Pairwise classification showed reliable differentiation, especially between ditransitive and resultative constructions, while other pairs overlapped. Crucially, the temporal emergence and similarity structure of these effects mirror patterns in recurrent and transformer-based language models, where constructional representations arise during integrative processing stages. These findings support the view that linguistic constructions are neurally encoded as distinct form-meaning mappings, in line with Construction Grammar, and suggest convergence between biological and artificial systems on similar representational solutions. More broadly, this convergence is consistent with the idea that learning systems discover stable regions within an underlying representational landscape - recently termed a Platonic representational space - that constrains the emergence of efficient linguistic abstractions.
Reservoirs, typically implemented as recurrent neural networks with fixed random connection weights, can be combined with a simple trained readout layer to perform a wide range of computational tasks. However, increasing the magnitude of reservoir connection weights to exploit nonlinear dynamics can cause the network to develop strong spontaneous activity that drives neurons into saturation, dramatically degrading performance. In this work, we investigate two distinct countermeasures against such runaway excitation. The first approach introduces a subtle non-homogeneous structure into the matrix of connection weigths $w_{ij}$, without altering the overall probability distribution $p(w)$. We identify several favorable structuring principles, such as creating a small subset of neurons with weaker-than-average input connections. Even if the rest of the reservoir falls into runaway saturating behavior, this weakly coupled subset remains in a mildly nonlinear regime whose dynamics can still be exploited by the readout layer. The second approach implements a form of automatic gain control, in which a dedicated control unit dynamically regulates the reservoir's average global activation toward an optimal setpoint. Although the control unit modulates the excitability of the reservoir only via a global gain factor, this mechanism substantially enlarges the dynamical regime favorable for computation and renders performance largely independent of the underlying connection statistics.
Parkinson's disease (PD) affects over ten million people worldwide. Although temporal interference (TI) and deep brain stimulation (DBS) are promising therapies, inter-individual variability limits empirical treatment selection, increasing non-negligible surgical risk and cost. Previous explorations either resort to limited statistical biomarkers that are insufficient to characterize variability, or employ AI-driven methods which is prone to overfitting and opacity. We bridge this gap with a pretraining-finetuning framework to predict outcomes directly from resting-state fMRI. Critically, a generative virtual brain foundation model, pretrained on a collective dataset (2707 subjects, 5621 sessions) to capture universal disorder patterns, was finetuned on PD cohorts receiving TI (n=51) or DBS (n=55) to yield individualized virtual brains with high fidelity to empirical functional connectivity (r=0.935). By constructing counterfactual estimations between pathological and healthy neural states within these personalized models, we predicted clinical responses (TI: AUPR=0.853; DBS: AUPR=0.915), substantially outperforming baselines. External and prospective validations (n=14, n=11) highlight the feasibility of clinical translation. Moreover, our framework provides state-dependent regional patterns linked to response, offering hypothesis-generating mechanistic insights.
The dynamics of simple two-alternative forced-choice (2AFC) decisions are well-modeled by a class of random walk models (e.g. Laming, 1968; Ratcliff, 1978; Usher & McClelland, 2001; Bogacz et al., 2006). However, in real-life, even simple decisions involve dynamically changing influence of additional information. In this work, we describe a computational theory of decision making from multiple sources of information, grounded in Bayesian inference and consistent with a simple neural network. This Contextual Diffusion Decision Model (CDDM) is a formal generalization of the Diffusion Decision Model (DDM), a popular existing model of fixed-context decision making (Ratcliff, 1978), and shares with it both a mechanistic and a probabilistic motivation. Just as the DDM is a model for a variety of simple two-alternative forced-choice (2AFC) decision making tasks, we demonstrate that the CDDM supports a variety of simple context-dependent tasks of longstanding interest in psychology, including the Flanker (Eriksen & Eriksen, 1974), AX-CPT (Servan-Schreiber et al., 1996), Stop-Signal (Logan & Cowan, 1984), Cueing (Posner, 1980), and Prospective Memory paradigms (Einstein & McDaniel, 2005). Further, we use the CDDM to perform a number of normative rational analyses exploring optimal response and memory allocation policies. Finally, we show how the use of a consistent model across tasks allows us to recover consistent qualitative data patterns in multiple tasks, using the same model parameters.
People infer rich social information from others' actions. These inferences are often constrained by the physical world: what agents can do, what obstacles permit, and how the physical actions of agents causally change an environment and other agents' mental states and behavior. We propose that such rich social perception is more than visual pattern matching, but rather a reasoning process grounded in an integration of intuitive psychology with intuitive physics. To test this hypothesis, we introduced PHASE (PHysically grounded Abstract Social Events), a large dataset of procedurally generated animations, depicting physically simulated two-agent interactions on a 2D surface. Each animation follows the style of the Heider and Simmel movie, with systematic variation in environment geometry, object dynamics, agent capacities, goals, and relationships (friendly/adversarial/neutral). We then present a computational model, SIMPLE, a physics-grounded Bayesian inverse planning model that integrates planning, probabilistic planning, and physics simulation to infer agents' goals and relations from their trajectories. Our experimental results showed that SIMPLE achieved high accuracy and agreement with human judgments across diverse scenarios, while feedforward baseline models -- including strong vision-language models -- and physics-agnostic inverse planning failed to achieve human-level performance and did not align with human judgments. These results suggest that our model provides a computational account for how people understand physically grounded social scenes by inverting a generative model of physics and agents.
Quantitative estimation of information flow in early vision with psychophysically realistic networks is still an open issue. This is because, up to date, the necessary elements (general and plausible network, accurate noise, and reliable information measures) have not been put together. As a result, previous works made different approximations that limit the generality of their results. This work combines the following elements for the first time: (1) General and plausible recurrent net: a cascade of linear+nonlinear psychophysically tuned layers [IEEE TIP.06, J.Neurophysiol.19, J.Math.Neurosci.20, Neurocomp.24], augmented to consider top-down feedback following [Nat.Neurosci.21,Neurips.22]. (2) Accurate noise in every layer, which is tuned to reproduce psychometric functions both in contrast detection and discrimination following [J.Vision 25]. (3) Reliable information measures that have been checked with analytical results, both in general [IEEE PAMI 24], and in similar visual neuroscience contexts [Neurocomp.24], and hence can be applied in this (more general) case where analytical results are difficult to obtain. The joint use of these elements allows a reliable study of information flow depending on different connectivity schemes (different nonlinearities and interactions), different noise sources, and different stimuli. Results show the benefits of feedback in two ways: (1) the information loss in the data processing inequality along the pathway is reduced by the V1 -- > LGN recurrence for values of feedback that give stable steady state solutions, and (2) the stability of the net is assessed though standard Poincaré analysis and we find an optimal value for the feedback in terms of the accuracy of the reconstructed signal from the cortical representation.
Connectivity structure shapes neural computation, but inferring this structure from population recordings is degenerate: multiple connectivity structures can generate identical dynamics. Recent work uses low-rank recurrent neural networks (lrRNNs) to infer low-dimensional latent dynamics and connectivity structure from observed activity, enabling a mechanistic interpretation of the dynamics. However, standard approaches for training lrRNNs can recover spurious structures irrelevant to the underlying dynamics. We first characterize the identifiability of connectivity structures in lrRNNs and determine conditions under which a unique solution exists. Then, to find such solutions, we develop an inference framework based on maximum entropy and continuous normalizing flows (CNFs), trained via flow matching. Instead of estimating a single connectivity matrix, our method learns the maximally unbiased distribution over connection weights consistent with observed dynamics. This approach captures complex yet necessary distributions such as heavy-tailed connectivity found in empirical data. We validate our method on synthetic datasets with connectivity structures that generate multistable attractors, limit cycles, and ring attractors, and demonstrate its applicability in recordings from rat frontal cortex during decision-making. Our framework shifts circuit inference from recovering connectivity to identifying which connectivity structures are computationally required, and which are artifacts of underconstrained inference.
This work analyzes the RAID dataset to evaluate human responses to affine image distortions, including rotation, translation, scaling, and Gaussian noise. Using Mean Squared Error (MSE), the study establishes human detection thresholds for these distortions, enabling comparison across types. Statistical analysis with ANOVA and Tukey Kramer tests reveals that observers are significantly more sensitive to Gaussian noise, which consistently produced the lowest detection thresholds. Fourier analysis further shows that high-frequency components act as a visual mask for Gaussian noise, demonstrating a strong correlation between high frequency energy and detection thresholds. Additionally, spectral orientation influences the perception of rotation. Finally, the study employs the PixelCNN model to show that image probability significantly correlates with detection thresholds for most distortions, suggesting that statistical likelihood affects human visual tolerance.