Knowledge representation, reasoning, planning, and multi-agent systems
2605.15975We tackle the challenge of building embodied AI agents that can reliably solve long-horizon planning problems. Imitation learning from demonstrations has shown itself to be effective in training robots to solve a diversity of complex tasks requiring fine motor control and manipulation over low-level (LL), continuous environments. Yet, it remains a difficult endeavour to generate long-horizon plans from imitation learning alone. In contrast, high-level (HL), symbolic abstractions facilitate efficient and interpretable long-horizon planning. We propose to combine the strengths of LL imitation learning for manipulation and control, and HL symbolic abstractions for long-horizon planning. We realise this idea via \emph{bilevel policies} of the form $(π^{\mathrm{hl}}, π^{\mathrm{ll}})$, consisting of a neural policy $π^{\mathrm{ll}}$ learned from LL demonstrations, and an HL symbolic policy $π^{\mathrm{hl}}$ that is constructed from symbolic abstractions of the LL demonstrations combined with inductive generalisation. We implement these ideas in the BISON system. Experiments on extended MetaWorld benchmarks demonstrate that BISON generalises to long horizons and problems with greater numbers of objects than those solved by VLA and end-to-end methods, and is more time and memory efficient in training and inference. Notably, when ignoring LL execution, BISON's HL policies can solve HL problems with 10,000 relevant objects in under a minute. Project page: https://dillonzchen.github.io/bison
Deep search capabilities have become an indispensable competency for frontier Large Language Model (LLM) agents, yet their development remains dominated by industrial giants. The typical industry recipe involves a highly resource-intensive pipeline spanning pre-training, continual pre-training (CPT), supervised fine-tuning (SFT), and reinforcement learning (RL). In this report, we show that when fueled with informative and high-difficulty trajectories, a simple SFT approach could be surprisingly powerful for training frontier search agents. By introducing three simple data synthesis modifications: scaling knowledge graph size for richer exploration, expanding the tool set size for broader functionality, and strict low-step filtering, we establish a stronger baseline. Trained on merely 10.6k data points, our OpenSeeker-v2 achieves state-of-the-art performance across 4 benchmarks (30B-sized agents with ReAct paradigm): 46.0% on BrowseComp, 58.1% on BrowseComp-ZH, 34.6% on Humanity's Last Exam, and 78.0% on xbench, surpassing even Tongyi DeepResearch trained with heavy CPT+SFT+RL pipeline, which achieves 43.4%, 46.7%, 32.9%, and 75.0%, respectively. Notably, OpenSeeker-v2 represents the first state-of-the-art search agent within its model scale and paradigm to be developed by a purely academic team using only SFT. We are excited to open-source the OpenSeeker-v2 model weights and share our simple yet effective findings to make frontier search agent research more accessible to the community.
Language models excel at diagnostic assessments on currated medical case-studies and vignettes, performing on par with, or better than, clinical professionals. However, existing studies focus on complex scenarios with rich context making it difficult to draw conclusions about how these systems perform for patients reporting symptoms in everyday life. We deployed SymptomAI, a set of conversational AI agents for end-to-end patient interviewing and differential diagnosis (DDx), via the Fitbit app in a study that randomized participants (N=13,917) to interact with five AI agents. This corpus captures diverse communication and a realistic distribution of illnesses from a real world population. A subset of 1,228 participants reported a clinician-provided diagnosis, and 517 of these were further evaluated by a panel of clinicians during over 250 hours of annotation. SymptomAI DDx were significantly more accurate (OR = 2.47, p < 0.001) than those from independent clinicians given the same dialogue in a blinded randomized comparison. Moreover, agentic strategies which conduct a dedicated symptom interview that elicit additional symptom information before providing a diagnosis, perform substantially better than baseline, user-guided conversations (p < 0.001). An auxiliary analysis on 1,509 conversations from a general US population panel validated that these results generalize beyond wearable device users. We used SymptomAI diagnoses as labels for all 13,917 participants to analyze over 500,000 days of wearable metrics across nearly 400 unique conditions. We identified strong associations between acute infections and physiological shifts (e.g., OR > 7 for influenza). While limited by self-reported ground truth, these results demonstrate the benefits of a dedicated and complete symptom interview compared to a user-guided symptom discussion, which is the default of most consumer LLMs.
Agentic data science (ADS) systems are rapidly improving their capability to autonomously analyze, fit, and interpret data, potentially moving towards a future where agents conduct the vast majority of data-science work. However, current ADS systems use statistical tools designed to be interpretable by humans, rather than interpretable by agents. To address this, we introduce Agentic-imodels, an agentic autoresearch loop that evolves data-science tools designed to be interpretable by agents. Specifically, it develops a library of scikit-learn-compatible regressors for tabular data that are optimized for both predictive performance and a novel LLM-based interpretability metric. The metric measures a suite of LLM-graded tests that probe whether a fitted model's string representation is "simulatable" by an LLM, i.e. whether the LLM can answer questions about the model's behavior by reading its string output alone. We find that the evolved models jointly improve predictive performance and agent-facing interpretability, generalizing to new datasets and new interpretability tests. Furthermore, these evolved models improve downstream end-to-end ADS, increasing performance for Copilot CLI, Claude Code, and Codex on the BLADE benchmark by up to 73%
Workspace learning requires AI agents to identify, reason over, exploit, and update explicit and implicit dependencies among heterogeneous files in a worker's workspace, enabling them to complete both routine and advanced tasks effectively. Despite its importance, existing relevant benchmarks largely evaluate agents on pre-specified or synthesized files with limited real-world dependencies, leaving workspace-level evaluation underexplored. To this end, we introduce Workspace-Bench, a benchmark for evaluating AI agents on Workspace Learning invOlving Large-Scale File Dependencies. We construct realistic workspaces with 5 worker profiles, 74 file types, 20,476 files (up to 20GB) and curate 388 tasks, each with its own file dependency graph, evaluated across 7,399 total rubrics that require cross-file retrieval, contextual reasoning, and adaptive decision-making. We further provide Workspace-Bench-Lite, a 100-task subset that preserves the benchmark distribution while reducing evaluation costs by about 70%. We evaluate 4 popular agent harnesses and 7 foundation models. Experimental results show that current agents remain far from reliable workspace learning, where the best reaches only 68.7%, substantially below the human result of 80.7%, and the average performance across agents is only 47.4%.
What if a browser agent could learn your work simply by watching you do it? We present cotomi Act, a browser-based computer-using agent that combines reliable multi-step task execution with persistent organizational knowledge learned from user behavior. For execution, an agent scaffold with adaptive lazy observation, verbal-diff-based history compression, coarse-grained actions, and test-time scaling via best-of-N action selection achieves 80.4% on the 179-task WebArena human-evaluation subset, exceeding the reported 78.2% human baseline. For organizational knowledge, a behavior-to-knowledge pipeline passively observes the user's browsing and progressively abstracts it into artifacts (task boards, wiki) exposed through a shared workspace editable by both user and agent. A controlled proxy evaluation confirms that task success improves as behavior-derived knowledge accumulates. In our live demonstration, attendees interact with the system in a real browser, issuing tasks and observing end-to-end autonomous execution and shared knowledge management.
Benchmarks within the OpenClaw ecosystem have thus far evaluated exclusively assistant-level tasks, leaving the academic-level capabilities of OpenClaw largely unexamined. We introduce AcademiClaw, a bilingual benchmark of 80 complex, long-horizon tasks sourced directly from university students' real academic workflows -- homework, research projects, competitions, and personal projects -- that they found current AI agents unable to solve effectively. Curated from 230 student-submitted candidates through rigorous expert review, the final task set spans 25+ professional domains, ranging from olympiad-level mathematics and linguistics problems to GPU-intensive reinforcement learning and full-stack system debugging, with 16 tasks requiring CUDA GPU execution. Each task executes in an isolated Docker sandbox and is scored on task completion by multi-dimensional rubrics combining six complementary techniques, with an independent five-category safety audit providing additional behavioral analysis. Experiments on six frontier models show that even the best achieves only a 55\% pass rate. Further analysis uncovers sharp capability boundaries across task domains, divergent behavioral strategies among models, and a disconnect between token consumption and output quality, providing fine-grained diagnostic signals beyond what aggregate metrics reveal. We hope that AcademiClaw and its open-sourced data and code can serve as a useful resource for the OpenClaw community, driving progress toward agents that are more capable and versatile across the full breadth of real-world academic demands. All data and code are available at https://github.com/GAIR-NLP/AcademiClaw.
Large language models (LLMs) have shown promise as interactive agents that solve tasks through extended sequences of environment interactions. While prior work has primarily focused on system-level optimizations or algorithmic improvements, the role of task horizon length in shaping training dynamics remains poorly understood. In this work, we present a systematic empirical study that examines horizon length through controlled task constructions. Specifically, we construct controlled tasks in which agents face identical decision rules and reasoning structures, but differ only in the length of action sequences required for successful completion. Our results reveal that increasing horizon length alone constitutes a training bottleneck, inducing severe training instability driven by exploration difficulties and credit assignment challenges. We demonstrate that horizon reduction is a key principle to address this limitation, stabilizing training and achieving better performance in long-horizon tasks. Moreover, we find that horizon reduction is related to stronger generalization across horizon lengths: models trained under reduced horizons generalize more effectively to longer-horizon variants at inference time, a phenomenon we refer to as horizon generalization.
Recent advances in agentic harness with orchestration frameworks that coordinate multiple agents with memory, skills, and tool use have achieved remarkable success in complex reasoning tasks. However, the underlying mechanism that truly drives performance remains obscured behind intricate system designs. In this paper, we propose HeavySkill, a perspective that views heavy thinking not only as a minimal execution unit in orchestration harness but also as an inner skill internalized within the model's parameters that drives the orchestrator to solve complex tasks. We identify this skill as a two-stage pipeline, i.e., parallel reasoning then summarization, which can operate beneath any agentic harness. We present a systematic empirical study of HeavySkill across diverse domains. Our results show that this inner skill consistently outperforms traditional Best-of-N (BoN) strategies; notably, stronger LLMs can even approach Pass@N performance. Crucially, we demonstrate that the depth and width of heavy thinking, as a learnable skill, can be further scaled via reinforcement learning, offering a promising path toward self-evolving LLMs that internalize complex reasoning without relying on brittle orchestration layers.
Recent progress in multi-turn reinforcement learning (RL) has significantly improved reasoning LLMs' performances on complex interactive tasks. Despite advances in stabilization techniques such as fine-grained credit assignment and trajectory filtering, instability remains pervasive and often leads to training collapse. We argue that this instability stems from inefficient exploration in multi-turn settings, where policies continue to generate low-information actions that neither reduce uncertainty nor advance task progress. To address this issue, we propose Token- and Turn-level Policy Optimization (T$^2$PO), an uncertainty-aware framework that explicitly controls exploration at fine-grained levels. At the token level, T$^2$PO monitors uncertainty dynamics and triggers a thinking intervention once the marginal uncertainty change falls below a threshold. At the turn level, T$^2$PO identifies interactions with negligible exploration progress and dynamically resamples such turns to avoid wasted rollouts. We evaluate T$^2$PO in diverse environments, including WebShop, ALFWorld, and Search QA, demonstrating substantial gains in training stability and performance improvements with better exploration efficiency. Code is available at: https://github.com/WillDreamer/T2PO.
Personalized mobile agents that infer user preferences and calibrate proactive assistance hold great promise as everyday digital assistants, yet existing benchmarks fail to capture what this requires. Prior work evaluates preference recovery from static histories or intent prediction from fixed contexts. Neither tests whether an agent can elicit missing preferences through interaction, nor whether it can decide when to intervene, seek consent, or remain silent in a live GUI environment. We introduce KnowU-Bench, an online benchmark for personalized mobile agents built on a reproducible Android emulation environment, covering 42 general GUI tasks, 86 personalized tasks, and 64 proactive tasks. Unlike prior work that treats user preferences as static context, KnowU-Bench hides the user profile from the agent and exposes only behavioral logs, forcing genuine preference inference rather than context lookup. To support multi-turn preference elicitation, it instantiates an LLM-driven user simulator grounded in structured profiles, enabling realistic clarification dialogues and proactive consent handling. Beyond personalization, KnowU-Bench provides comprehensive evaluation of the complete proactive decision chain, including grounded GUI execution, consent negotiation, and post-rejection restraint, evaluated through a hybrid protocol combining rule-based verification with LLM-as-a-Judge scoring. Our experiments reveal a striking degradation: agents that excel at explicit task execution fall below 50% under vague instructions requiring user preference inference or intervention calibration, even for frontier models like Claude Sonnet 4.6. The core bottlenecks are not GUI navigation but preference acquisition and intervention calibration, exposing a fundamental gap between competent interface operation and trustworthy personal assistance.
Large language model (LLM) agents such as OpenClaw rely on reusable skills to perform complex tasks, yet these skills remain largely static after deployment. As a result, similar workflows, tool usage patterns, and failure modes are repeatedly rediscovered across users, preventing the system from improving with experience. While interactions from different users provide complementary signals about when a skill works or fails, existing systems lack a mechanism to convert such heterogeneous experiences into reliable skill updates. To address these issues, we present SkillClaw, a framework for collective skill evolution in multi-user agent ecosystems, which treats cross-user and over-time interactions as the primary signal for improving skills. SkillClaw continuously aggregates trajectories generated during use and processes them with an autonomous evolver, which identifies recurring behavioral patterns and translates them into updates to the skill set by refining existing skills or extending them with new capabilities. The resulting skills are maintained in a shared repository and synchronized across users, allowing improvements discovered in one context to propagate system-wide while requiring no additional effort from users. By integrating multi-user experience into ongoing skill updates, SkillClaw enables cross-user knowledge transfer and cumulative capability improvement, and experiments on WildClawBench show that limited interaction and feedback, it significantly improves the performance of Qwen3-Max in real-world agent scenarios.
Reinforcement learning (RL) has become an effective approach for advancing the reasoning capabilities of large language models (LLMs) through the strategic integration of external search engines. However, current RL-based search agents often rely on a process of stochastic exploration guided by carefully crafted outcome rewards, leading to inefficient reasoning trajectories and unstable training. To address these issues, we propose a novel framework, Hierarchical Experience (HiExp), to enhance the performance and training stability of search agents. Specifically, we extract empirical knowledge through contrastive analysis and a multi-level clustering mechanism, transforming raw reasoning trajectories into hierarchical experience knowledge. By leveraging experience-aligned training, we effectively regularize stochastic exploration, evolving it into a strategic and experience-driven search process. Extensive evaluations on multiple complex agentic search and mathematical reasoning benchmarks demonstrate that our approach not only achieves substantial performance gains but also exhibits strong cross-task and cross-algorithm generalization.
Proprietary AI systems have recently demonstrated impressive capabilities on complex proof-based problems, with gold-level performance reported at the 2025 International Mathematical Olympiad (IMO). However, the training pipelines behind these systems remain largely undisclosed, and their reliance on large "internal" models and scaffolds makes them expensive to run, difficult to reproduce, and hard to study or improve upon. This raises a central question: can small, open models also be trained to achieve competitive reasoning performance on difficult Olympiad-level math? In this paper, we answer this question by building QED-Nano, a 4B model post-trained for Olympiad-level proofs. Our training recipe has three stages: (1) supervised fine-tuning to imbue good proof-writing styles by distilling from DeepSeek-Math-V2, (2) reinforcement learning (RL) with rubric-based rewards, and (3) expanding RL with a reasoning cache, which decomposes long proofs into iterative summarize-and-refine cycles and enables stronger test-time reasoning. QED-Nano surpasses the proof-generation performance of much larger open models, including Nomos-1 and GPT-OSS-120B, and approaches the performance of proprietary models like Gemini 3 Pro, at a fraction of the inference cost. To support further research on open mathematical reasoning, we release the full QED-Nano pipeline, including the QED-Nano and QED-Nano-SFT models, the FineProofs-SFT and FineProofs-RL datasets, and the training and evaluation code.
Although Federated Learning (FL) promises privacy and distributed collaboration, its effectiveness in real-world scenarios is often hampered by the stochastic heterogeneity of clients and unpredictable system dynamics. Existing static optimization approaches fail to adapt to these fluctuations, resulting in resource underutilization and systemic bias. In this work, we propose a paradigm shift towards Agentic-FL, a framework where Language Model-based Agents (LMagents) assume autonomous orchestration roles. Unlike rigid protocols, we demonstrate how server-side agents can mitigate selection bias through contextual reasoning, while client-side agents act as local guardians, dynamically managing privacy budgets and adapting model complexity to hardware constraints. More than just resolving technical inefficiencies, this integration signals the evolution of FL towards decentralized ecosystems, where collaboration is negotiated autonomously, paving the way for future markets of incentive-based models and algorithmic justice. We discuss the reliability (hallucinations) and security challenges of this approach, outlining a roadmap for resilient multi-agent systems in federated environments.
This work addresses challenges in evaluating adaptive artificial intelligence (AI) models for medical devices, where iterative updates to both models and evaluation datasets complicate performance assessment. We introduce a novel approach with three complementary measurements: learning (model improvement on current data), potential (dataset-driven performance shifts), and retention (knowledge preservation across modification steps), to disentangle performance changes caused by model adaptations versus dynamic environments. Case studies using simulated population shifts demonstrate the approach's utility: gradual transitions enable stable learning and retention, while rapid shifts reveal trade-offs between plasticity and stability. These measurements provide practical insights for regulatory science, enabling rigorous assessment of the safety and effectiveness of adaptive AI systems over sequential modifications.
Ensuring that artificial intelligence (AI) systems satisfy formal safety and policy constraints is a central challenge in safety-critical domains. While limitations of verification are often attributed to combinatorial complexity and model expressiveness, we show that they arise from intrinsic information-theoretic limits. We formalize policy compliance as a verification problem over encoded system behaviors and analyze it using Kolmogorov complexity. We prove an incompleteness result: for any fixed sound computably enumerable verifier, there exists a threshold beyond which true policy-compliant instances cannot be certified once their complexity exceeds that threshold. Consequently, no finite formal verifier can certify all policy-compliant instances of arbitrarily high complexity. This reveals a fundamental limitation of AI safety verification independent of computational resources, and motivates proof-carrying approaches that provide instance-level correctness guarantees.
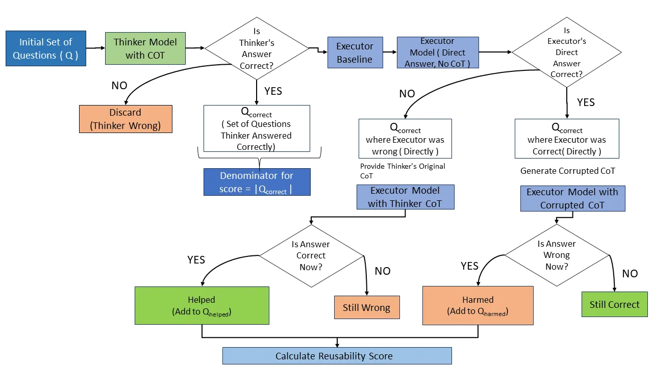
Large Language Model (LLM) agents require persistent memory to maintain personalization, factual continuity, and long-horizon reasoning, yet standard context-window and retrieval-augmented generation (RAG) pipelines degrade over multi-session interactions. We present MemMachine, an open-source memory system that integrates short-term, long-term episodic, and profile memory within a ground-truth-preserving architecture that stores entire conversational episodes and reduces lossy LLM-based extraction. MemMachine uses contextualized retrieval that expands nucleus matches with surrounding context, improving recall when relevant evidence spans multiple dialogue turns. Across benchmarks, MemMachine achieves strong accuracy-efficiency tradeoffs: on LoCoMo it reaches 0.9169 using gpt4.1-mini; on LongMemEvalS (ICLR 2025), a six-dimension ablation yields 93.0 percent accuracy, with retrieval-stage optimizations -- retrieval depth tuning (+4.2 percent), context formatting (+2.0 percent), search prompt design (+1.8 percent), and query bias correction (+1.4 percent) -- outperforming ingestion-stage gains such as sentence chunking (+0.8 percent). GPT-5-mini exceeds GPT-5 by 2.6 percent when paired with optimized prompts, making it the most cost-efficient setup. Compared to Mem0, MemMachine uses roughly 80 percent fewer input tokens under matched conditions. A companion Retrieval Agent adaptively routes queries among direct retrieval, parallel decomposition, or iterative chain-of-query strategies, achieving 93.2 percent on HotpotQA-hard and 92.6 percent on WikiMultiHop under randomized-noise conditions. These results show that preserving episodic ground truth while layering adaptive retrieval yields robust, efficient long-term memory for personalized LLM agents.
AI agents, autonomous digital actors, need agent-native protocols; existing methods include GUI automation and MCP-based skills, with defects of high token consumption, fragmented interaction, inadequate security, due to lacking a unified top-level framework and key components, each independent module flawed. To address these issues, we present ANX, an open, extensible, verifiable agent-native protocol and top-level framework integrating CLI, Skill, MCP, resolving pain points via protocol innovation, architectural optimization and tool supplementation. Its four core innovations: 1) Agent-native design (ANX Config, Markup, CLI) with high information density, flexibility and strong adaptability to reduce tokens and eliminate inconsistencies; 2) Human-agent interaction combining Skill's flexibility for dual rendering as agent-executable instructions and human-readable UI; 3) MCP-supported on-demand lightweight apps without pre-registration; 4) ANX Markup-enabled machine-executable SOPs eliminating ambiguity for reliable long-horizon tasks and multi-agent collaboration. As the first in a series, we focus on ANX's design, present its 3EX decoupled architecture with ANXHub and preliminary feasibility analysis and experimental validation. ANX ensures native security: LLM-bypassed UI-to-Core communication keeps sensitive data out of agent context; human-only confirmation prevents automated misuse. Form-filling experiments with Qwen3.5-plus/GPT-4o show ANX reduces tokens by 47.3% (Qwen3.5-plus) and 55.6% (GPT-4o) vs MCP-based skills, 57.1% (Qwen3.5-plus) and 66.3% (GPT-4o) vs GUI automation, and shortens execution time by 58.1% and 57.7% vs MCP-based skills.
The accelerating adoption of large language models, retrieval-augmented generation pipelines, and multi-agent AI workflows has created a structural governance crisis. Organizations cannot govern what they cannot see, and existing compliance methodologies built for deterministic web applications provide no mechanism for discovering or continuously validating AI systems that emerge across engineering teams without formal oversight. The result is a widening trust gap between what regulators demand as proof of AI governance maturity and what organizations can demonstrate. This paper proposes AI Trust OS, a governance architecture for continuous, autonomous AI observability and zero-trust compliance. AI Trust OS reconceptualizes compliance as an always-on, telemetry-driven operating layer in which AI systems are discovered through observability signals, control assertions are collected by automated probes, and trust artifacts are synthesized continuously. The framework rests on four principles: proactive discovery, telemetry evidence over manual attestation, continuous posture over point-in-time audit, and architecture-backed proof over policy-document trust. The framework operates through a zero-trust telemetry boundary in which ephemeral read-only probes validate structural metadata without ingressing source code or payload-level PII. An AI Observability Extractor Agent scans LangSmith and Datadog LLM telemetry, automatically registering undocumented AI systems and shifting governance from organizational self-report to empirical machine observation. Evaluated across ISO 42001, the EU AI Act, SOC 2, GDPR, and HIPAA, the paper argues that telemetry-first AI governance represents a categorical architectural shift in how enterprise trust is produced and demonstrated.