Laser physics, optical systems, and photonic devices
Point-gap topology under periodic boundary conditions and line-gap topology under open boundary conditions are generally inequivalent in non-Hermitian systems. We show that, in chiral non-Hermitian lattices, these two boundary-sensitive topological transitions become locked when the parameter sweep is confined to an exceptional-point (EP)-constrained manifold, such that the Bloch spectrum remains pinned to a zero-energy degeneracy throughout the evolution. In an extended non-Hermitian Su-Schrieffer-Heeger chain, this locking can be established analytically in a tractable limit, where the EP-constrained manifolds and the corresponding PBC and OBC transition boundaries are obtained in closed form, and it persists away from this limit when the generalized Brillouin zone is determined numerically. Outside the EP-constrained manifold, the two transitions generally decouple, even in the presence of isolated EPs or Hermitian degeneracies. We further show that the same mechanism survives in a four-band spinful extension with branch-resolved generalized Brillouin zones, including branch-imbalanced regimes. These results identify EP-constrained band evolution as a simple organizing principle for boundary-sensitive topology in chiral non-Hermitian systems and suggest a useful route for diagnosing non-Bloch topological transitions from periodic-boundary spectral evolution when such spectral information can be accessed in photonic, circuit, and cold-atom platforms.
Raman phonons arise from the inelastic scattering of light and represent quantized molecular motions that mediate a wide range of spectroscopic and nonlinear optical phenomena. In this work, we clarify the physical role of Raman phonons within a previously-developed time-domain framework based on the Raman-induced index modulation, and show that phonons correspond to the oscillatory component of the Raman-induced index modulation. The analysis further reveals a linear phonon-mediated interaction embedded within Raman scattering, in which optical fields couple through wave-vector matching with existing phonons. This mechanism underlies what has long been described as coherent Stokes and anti-Stokes scattering, as well as molecular modulation. Building on this insight, we introduce a phonon-controlled approach that enables efficient conversion into a selected Stokes order by tuning the wave-vector-matching relation between the driven phonons and the targeted Raman process. These results provide a clearer physical interpretation of Raman phonons and its corresponding Raman dynamics and offer new strategies for controlling Raman interactions.
We study two-dimensional periodic metamaterials in which idealised cylindrical inclusions are modelled by boundary conditions. In the scalar time-harmonic setting, the background field satisfies the Helmholtz equation, and high-contrast inclusion limits reduce to Dirichlet or Neumann conditions, with direct analogues in dielectric and acoustic media. By switching the condition assigned to selected inclusions, we break point-group symmetries of the primitive cell and thereby lift symmetry-induced degeneracies in the Floquet--Bloch spectrum of hexagonal and square lattices, opening valley-type band gaps with Berry curvature localised near opposite valleys. To analyse infinite and finite structures within a unified framework, we derive matched-asymptotic point-scatterer approximations for mixed Dirichlet--Neumann arrays. For doubly periodic systems, this yields a finite-dimensional generalised eigenvalue problem for the Floquet--Bloch spectrum; for finite arrays, it yields a generalised Foldy multiple-scattering system. In both hexagonal and square lattices, geometrically identical crystals can realise distinct valley-Hall phases solely through boundary-condition assignment while retaining an overlapping bulk gap. Spatially varying this assignment therefore creates and relocates internal interfaces without altering the underlying geometry, enabling the associated valley-Hall interfacial modes to be repositioned within the same crystal.
Colloidal perovskite nanocrystals (NCs) are a well-proven platform for growing anisotropic structures. Nanowires (NWs) exhibiting a quantum confinement phenomenon and microwires (MWs), which enable lasing, are of particular interest for optoelectronic devices. Synthesis of the latter is challenging. Herein, we report a straightforward access to high-quality CsPbBr3 MW lasers. We utilize a diphenyl ether (DPE) solvent for the hot-injection synthesis. DPE coordinates strongly to Pb2+ and allows to reduce an excess of oleic acid/oleylamine ligand pair well established for PbBr2 dissolution and inhibition of as-formed NCs regrowth. Therefore, a rapid injection of Cs-oleate into the PbBr2-containing solution yields lead-depleted Cs4PbBr6 NCs which slowly release perovskite precursors and produce CsPbBr3 counterparts. The latter transform into NWs through an oriented-attachment mechanism, which in turn evolve into laser MWs. To demonstrate spectrally tunable lasing in MWs we employ YCl3 for ion exchange in perovskite lattice. Resultant CsPb(Cl,Br)3 MWs show high-Q coherent emission in the 485-540 nm range. To highlight the potential of synthesized MWs for integrated optoelectronics, we assemble a device comprising a CsPb(Cl,Br)3 MW laser coupled to MoO3 lossless nanowaveguide, which delivers coherent light to a CsPbBr3 MW photodetector. The device exhibits a nonlinear optoelectronic response applicable for on-chip neuromorphic computing.
Applications for ultra-stable lasers outside controlled laboratory environments require compact and robust optical resonators with reduced sensitivity to temperature fluctuations. The low thermal expansion coefficient (CTE) and the high stiffness make cordierite-based ceramics, such as NEXCERA, attractive for vibration insensitive room-temperature resonators. We revisit the effective CTE of resonators with spacers and mirrors made of different materials and use finite element simulations to analyze the impact of a CTE mismatch in a cordierite-based resonator with mirrors made of ultra-low expansion (ULE) glass or fused silica (FS). This enabled us to determine the CTE of a cordierite spacer from the measured effective CTE of a resonator. We confirm a six-fold larger CTE slope of cordierite around the zero-crossing temperature than in ULE glass. The steep CTE slope, in combination with the large stiffness, makes cordierite-based resonators far less sensitive to CTE mismatch with FS mirrors, thereby eliminating the need for additional compensation rings. We further consider the so far neglected case, where the CTE of the spacer is larger than that of the mirror, and propose resonator designs in which the thermal length change of the spacer is fully or partially compensated by the deflection of the mirrors. This results in a cordierite-based resonator with ULE mirrors whose effective CTE can be close to zero over a temperature range of several tens of Kelvin. We are extending our concept to resonators based on crystalline materials with high stiffness and low isothermal length change, such as silicon, enabling compact and robust room-temperature resonators for terrestrial and space-born applications.
Machine vision, including object recognition and image reconstruction, is a central technology in many consumer devices and scientific instruments. The design of machine-vision systems has been revolutionized by the adoption of end-to-end optimization, in which the optical front end and the post-processing back end are jointly optimized. However, while machine vision currently works extremely well in moderate-light or bright-light situations -- where a camera may detect thousands of photons per pixel and billions of photons per frame -- it is far more challenging in very low-light situations. We introduce photon-aware neuromorphic sensing (PANS), an approach for end-to-end optimization in highly photon-starved scenarios. The training incorporates knowledge of the low photon budget and the stochastic nature of light detection when the average number of photons per pixel is near or less than 1. We report a proof-of-principle experimental demonstration in which we performed low-light image classification using PANS, achieving 73% (82%) accuracy on FashionMNIST with an average of only 4.9 (17) detected photons in total per inference, and 86% (97%) on MNIST with 8.6 (29) detected photons -- orders of magnitude more photon-efficient than conventional approaches. We also report simulation studies showing how PANS could be applied to other classification, event-detection, and image-reconstruction tasks. By taking into account the statistics of measurement results for non-classical states or alternative sensing hardware, PANS could in principle be adapted to enable high-accuracy results in quantum and other photon-starved setups.
Low-frequency magnetic fields carry vital information for neuroscience, navigation, and Earth science. However, they are generally weak, making it challenging to measure them with compact, room-temperature magnetometers. To overcome this challenge, we combine an on-chip optomechanical magnetometer with a high-permeability flux concentrator. Beyond boosting sensitivity and bandwidth, exploiting the concentrator's nonlinear response converts low-frequency magnetic fluctuations into higher-frequency signals where the sensor is intrinsically most responsive. This sidesteps the technical noise that has long constrained the application of optomechanical magnetometry at low frequencies. Our measurements show order-of-magnitude improvements in sensitivity and extend performance into the sub-hertz regime, achieving below 20 nT Hz$^{-1/2}$ down to 3 Hz and less than 100 nT Hz$^{-1/2}$ at 0.1 Hz. Because this approach requires no redesign of the underlying architecture, it can be readily applied across magnetometer technologies, opening the way to practical low-frequency sensing for applications from brain activity mapping to undersea navigation and biomedical diagnostics.
Optical skyrmions are structured vector fields with nontrivial polarization topology and subwavelength-scale features. One common approach to generating optical skyrmions is the superposition of a zeroth-order Bessel beam and a higher-order Bessel beam carrying orbital angular momentum, with each beam possessing an orthogonal circular polarization state. However, creating such complex beams typically requires bulky free-space optical setups; therefore, recent efforts have focused on compact optical skyrmion generators based on metasurfaces. Nevertheless, achieving the degrees of freedom required for simultaneous phase and polarization control remains challenging because of the limited design flexibility of conventional meta-atoms. Here, we address this challenge by employing an inverse-design approach and demonstrate a single-layer metasurface that generates high-fidelity optical skyrmions. We employ an adjoint-based topology-optimization method to design a silicon metasurface that converts an incident beam into an optical skyrmion without the need for additional optical components. The optimized metasurface generates an optical skyrmion with skyrmion number $(N_\mathrm{sk}) = 0.970$. This work demonstrates that inverse design can be a promising route to compact skyrmion generators, and our approach provides a basis for near-field particle manipulation and the generation of independent topological bits in dense photonic integration.
Visible photonic integrated circuits underpin applications ranging from AR/VR to quantum control, yet lack a high-resolution, nondestructive diagnostic comparable to the optical frequency-domain reflectometry used in infrared silicon photonics. Here we adapt spectral-domain optical coherence tomography to measure guided-mode back-reflections in visible PICs. Broadband visible light injected into a circuit generates back-reflections that interfere with a depth-referencing local oscillator, and the resulting spectral fringes are recorded on a spectrometer. We validate the approach by resolving multiple round-trip echoes in a waveguide-coupled ring resonator using only single-port access. We then extend it to circuits integrated with diamond quantum micro-chiplets, clearly resolving input and output facets as well as PIC--QMC transition regions. The system achieves shot-noise-limited sensitivity, 50 dB dynamic range, 8 um axial resolution in silicon nitride, and a 2 mm imaging depth at 6 dB roll-off. SD-OCT therefore provides a practical, high-resolution diagnostic for visible PICs that uses a broadband probe source and requires only single-port optical access, enabling rapid characterization of propagation loss, backscattering, and dispersion.
We present a widefield two-dimensional electronic spectroscopy microscope (2DESM) that integrates multidimensional coherent spectroscopy with optical imaging, enabling femtosecond temporal and micrometer spatial resolution. The broadband coverage (1.4-1.8 eV) allows the direct acquisition of spatially resolved two-dimensional electronic spectroscopy (2DES) maps of relevant near infrared excitations without the need for spatial scanning. By capturing both spectral and spatial domains simultaneously, 2DESM overcomes limitations of pump-probe microscopy and scanning 2DES, providing access to decoherence dynamics, inhomogeneous broadening, and coherent coupling in heterogeneous systems. As a proof-of-concept we performed 2DESM measurements on bilayer WSe2 encapsulated in hBN, revealing distinct spatial variations in excitonic dynamics. These results validate the ability of 2DESM to link local environments with ultrafast coherent processes and establish 2DESM as a versatile platform for probing quantum coherence, many-body interactions, and non-local energy transfer in two-dimensional materials, heterostructures, and micrometer-scale optoelectronic devices.
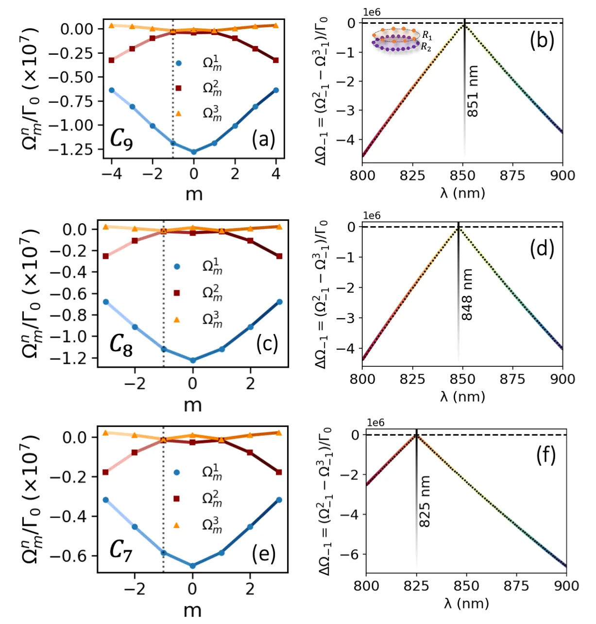
Using a closed quantum optical coupled-dipole model, we investigate why sub-sevenfold symmetries are likely absent in the stacked-ring scaffolds of light-harvesting 2 (LH2) complexes in purple photosynthetic bacteria.
Integrated opto-electronic devices have the potential to revolutionize information processing, with substantial increase in computing speed, seamless information transfer and reduction of energy consumption. A key missing unit for the successful implementation of compact functional devices are nanometer scale modular and tunable light sources. Monotonically grown semiconducting nanowire lasers (NWLs) fill this gap. However, NWLs operation improvement and optimization require the characterization of their near-field and its dynamics at the nanometer scale, which is hindered due to the light diffraction limit. Here we show how synchronous electron near-field and photon far-field time-resolved spectroscopies surpass this limitation and map a NWLs near-field with nanometer and sub-picoseconds temporal resolution. We quantitatively measured the evolution of the absolute number of stimulated photons $N_0(t)$ in the NWL cavity, measuring that up to 4x10$^5$ are present simultaneously in the cavity. We mapped the lasing cavity mode's near-field, showing that both whispering gallery and Fabry-Perot modes can participate in the lasing. Our results demonstrate how the near-field of a NWL under operation evolves in the sub-picoseconds and the nanometer scales. We anticipate that a direct observation of the near-field will help to elucidate the influence of materials heterogeneities (defects, chemical changes, contaminants, interface roughness, strain) in NWL operation.
Structured quantum light is crucial for high-dimensional quantum information processing, yet its direct generation from quantum emitters remains challenging due to their intrinsic locality and omnidirectional radiation. Metasurfaces have been adopted for quantum-light wavefront shaping, typically in cascaded or stacked configurations that suffer from low efficiency and limited resolution. Here, we demonstrate a semiconductor metasource that directly embodies single quantum dots in a nonlocal GaAs metasurface. Spontaneous emission from quantum dot is efficiently funneled into an extended quasi-bound-state-in-the-continuum mode while sustaining strong mode-emitter overlap. A lateral core-barrier heterostructure tunes mode volume and spatial distribution to balance Purcell enhancement and holographic resolution. Using spatially modulated geometric phase, our compact metasource enables deterministic generation of diverse single-photon radiation patterns, including orbital-angular-momentum beams and holographic images. Our work brings versatile single-photon wavefront control into the nanoscale cavity quantum electrodynamics regime, offering a scalable route toward integrated sources of structured quantum light.
Active frequency comb generation and waveform control are central challenges in the terahertz (THz) domain. In THz quantum cascade lasers (QCLs), these functions have typically been achieved through active bias modulation, which alters the operating point of the device and imposes severe limitations on its flexibility. To address these challenges, we propose an approach based on the direct modulation of the QCL bandstructure using GHz-frequency standing bulk acoustic waves (BAWs), promising direct and localized control of the optical gain and chromatic dispersion. To this end, we fabricated a bulk acoustic transducer on top of a THz QCL in order to excite GHz standing BAWs within its active region. We demonstrate that radio-frequency driving of the transducer leads to the tunable generation of standing BAWs in 5-12 GHz frequency range with wavelengths commensurate to the QCL period length. The effect of the BAW on the QCL bandstructure is revealed by measuring photoluminescence (PL) of the active region, where the BAW strain leads to a considerable modulation of the PL energy up to a few meV around its non-modulated value. We also develop a model and perform bandstructure simulations to predict the effect of the BAW on the QCL subband structure and gain. These results mark the first demonstration of dynamic bandstructure modulation in a THz QCL using GHz acoustic strain, introducing a fundamentally new paradigm that establishes a powerful synergy between QCLs and BAWs towards coherent control and frequency comb engineering in the THz domain.
Photonic systems provide a highly tunable platform for emulating quantum Hall physics. This tunability enables probing of the interplay between strong disorder and robust topological transport that remains difficult to access in solid-state systems. Here we realize a photonic version of the Harper-Hofstadter and Aubry-André models using a one-dimensional multilayer photonic crystal (Bragg stack) with a synthetic dimension encoded in its geometry. By modulating the layer thicknesses, we observe the Hofstadter butterfly and its chiral edge states from a family of one-dimensional multilayer structures, consistent with the Thouless pump picture. Exploiting the quasiperiodicity in this model, we show that increasing quasiperiodic modulation induces a wavelength-selective localization transition: specific Chern bands become fully localized along one dimension, while chiral edge states persist and continue to wind across the gap. We confirm this behavior through numerical simulations and experiments, and eigenmode analysis reveals that edge transport in this regime proceeds via a sequence of Landau-Zener transitions between localized states. These results demonstrate a crossover from adiabatic Thouless pumping under weak quasiperiodic modulation to a Landau-Zener-mediated topological pump at strong modulation, realized in a a compact and easily tunable photonic system.
Magnetic resonance imaging (MRI) can see deep inside the body without ionizing radiation, but image quality depends strongly on how well the radio-frequency field is controlled. Passive resonant pads and metasurfaces can help, yet they often lose their tuning when they are placed next to water-rich tissue or tissue-like materials. Here we show a simple way to bring such a device back into tune. We built a bilayer metasurface made of two aluminum wire arrays. One layer can rotate relative to the other, and the gap between the two layers can also be adjusted. Bench measurements show that adding a controlled water load shifts the resonance to lower frequency by about \SIrange{4.2}{11.4}{\mega\hertz}. Rotating the layers shifts it back by about \SIrange{13.2}{14.9}{\mega\hertz}, which is much stronger than changing the gap alone. One loaded setting lands essentially at the proton frequency used in \SI{3}{\tesla} MRI. In a proof-of-concept scan on a clinical \SI{3}{\tesla} system, the metasurface made internal features in a structured pineapple phantom easier to see than in a substrate-only control. These results show that a passive MRI metasurface can be tuned after fabrication and retuned under load using geometry alone, opening a practical route to simple adjustable RF accessories for MRI.
Trapped ions are one of the most advanced platforms for quantum technologies, with applications ranging from quantum computing to precision timekeeping. A crucial step towards more compact and scalable systems involves integrating photonic integrated circuits (PICs) into surface ion traps to enable on-chip light delivery and optical addressing of individual ions. Currently, most implementations rely solely on transverse-electric (TE) mode grating couplers, where the emitted light is polarized in the plane of the chip. In this work, we design, fabricate and characterize silicon nitride (Si\(_3\)N\(_4\)) PIC components, including incoupling structures, splitters, and grating couplers that support both TE and transverse-magnetic (TM) modes with comparable optical losses. We benchmark the PIC at 760\,nm, which is a typical wavelength for Yb$^{+}$-applications. The fabricated grating couplers enable the outcoupling of collimated free-space beams for both polarizations, exhibiting distinct emission angles. This dual-polarization capability gives more flexibility in polarization control and expands the accessible optical design space for trapped-ion quantum technologies.
Nanoscale control of optical dispersion is essential for applications ranging from miniaturized spectrometers to color printing, all of which demand broadband spectral tunability. However, the Kramers-Kronig relations impose a fundamental trade-off between dispersion and loss, strictly limiting the design ability of single-material devices across the deep ultraviolet (DUV) to near-infrared (NIR) regimes. Consequently, the fabrication of miniaturized dispersion devices heavily relies on costly nanofabrication or heterogeneous integration. Here we overcome these limitations by shifting the light-matter interaction from solid structure into air-filled voids. We introduce a fabrication strategy termed "Mie-lithography", in which laser printed seed nanocavities excite Mie resonances in air and the resulting localized field enhancement drives the self-assembly of three-dimensionally tunable void-type optical resonators. Because the resonant modes are primarily confined within air voids, this architecture effectively circumvents material-imposed dispersion-loss constraints, allowing on-demand customization of the broadband spectral response. This approach enables single-step, high-throughput (>= 10^6 pixels/s) printing of dispersion units with a resolution of 63,500 DPI. As a proof of concept, we demonstrate a DUV-NIR nano spectrometer integrated in a single material covering an unprecedented range from 200 nm to 800 nm. Our approach can be extended into a platform for ultra-broadband nano devices fabrication and design, opening avenues for high-pixel-density displays and miniaturized spectrometers.
Femtosecond laser micromachining (FLM) fabricated waveguides inherently form elliptical cores due to differences in focal spot size and the Rayleigh range of the microscope objective. Consequently, it is essential to study their propagation characteristics, which differ from those of conventional circular-core waveguides. In this work, we present the results of a parametric optimization of these waveguides to identify fabrication parameters that lead to minimal loss. A propagation loss characterization study revealed that, for a laser wavelength of 1030 nm, a pulse width of $\sim$300 fs, a pulse energy of 600 nJ, a scan speed of 2 mm/s, and a repetition rate of 100 kHz, a transparent and micro-bubble-free waveguide with a propagation loss of $\sim$0.4 dB/cm was formed. The modal analysis further demonstrated that the V-number depends on the core aspect ratio. The waveguide modes were compared with computationally generated modes, revealing a correlation that aligns well with existing literature.
High power end pumped solid state lasers often operate in regimes where pump induced heating creates a strong refractive index gradient (thermal lensing) that governs resonator stability and mode quality. When the pump is absorbed according to the Beer Lambert law, the thermal load, and hence the GRIN strength, vary along the crystal length, so the standard ABCD matrix of a constant-gradient GRIN element is no longer directly applicable. Here, we derive a closed-form ABCD transmission matrix for a thermally loaded laser crystal pumped by atop-hat beam while explicitly accounting for axial absorption. Starting from the steady-state heat equation, we obtain the temperature field and the associated thermo-optic index profile. We then solve the paraxial eikonal ray equation analytically and express the transfer-matrix elements in terms of Bessel and Neumann functions. The resulting matrix is validated against the conventional slab product method and shown to recover the uniform-medium and constant gradient GRIN limits. Finally, we illustrate its utility by model ing Bessel Gaussian beam propagation through the axially varying thermally induced GRIN medium.